Diversity Oriented Syntheses of Conventional Heterocycles by Smart Multi Component Reactions (MCRs) of the Last Decade
Abstract
:1. Introduction
1.1. Times and Progress

| Reaction-conditions | Madelung Synth. (1) | Modified Madelung (2) | Saegusa Synth. (3) |
|---|---|---|---|
| Publ. year | 1912 | 1981 | 1977 |
| Base | KOtBu | BuLi | LDA |
| Temp [°C] | 360 | −20 to +25 | −78 |
| Time [h] | n.a. | 16 | 0.5 |
| Yield [%] | 60 | 90 | 100 |
1.2. Nomenclature
2. High Diversity in Heterocycle Syntheses with MCRs
2.1. Aziridine 3, U-5F4CR, 2-Alkoxyketone + Carboxylic acid + Amine + Isocyanide [27]

2.2. Azetidinone 4, U-4F3CR, β-amino Acid + Aldehyde + Isocyanide [30]

2.3. Azetidine 6, 3CR, Azabicyclo[1.1.0]butane + 2,3-Dicyanofumarat + Alcohol [32]

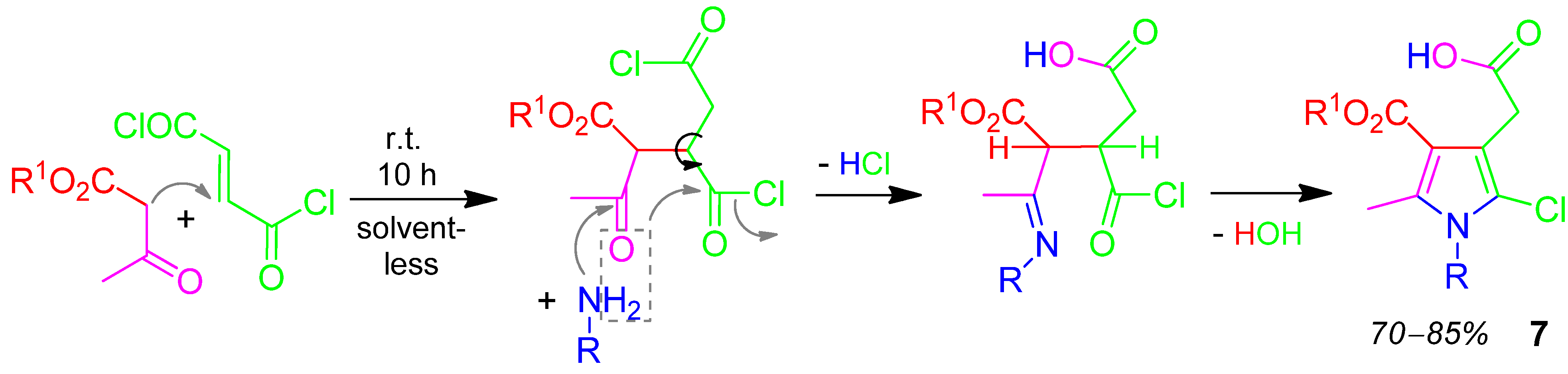
2.4. Pyrrole 7, H-4F3CR, 2-Ketoester + Amine + Fumaric Dichloride [33]

2.5. Pyrrole 9, H-3CR, Acetylenedicarboxylate + Diacetyl + Ammonium Acetate [35]

2.6. Pyrrolidine 11, I-4CR, Aldehyde + Malodinitrile + Isocyanide + Phenanthridine [36]

2.7. Amino-furan 13, I-3CR, Acetylenedicarboxylate + Acid + Isocyanide [44]

2.8. Indole 15, 3CR, Haloarylketone + Sulfoniumylide + Amine [47]

2.9. Pyrazole 17, I-3CR, Acetylenedicarboxylate + Isocyanide + Semicarbazide [51]

2.10. Pyrazoline 19, 3CR / PCC, Cyclopropylketone + Amine + Aldehyde / + Hydrazine [53]

2.11. Imidazole 21, U-5F4CR / PCC, Acid + Amine + 2-Ketoaldehyde + Isocyanide / + NH3 [54]

2.12. Imidazolium Salt 25, I-3CR, N-methyldihydropyridin + 2 x Isocyanide + Iodine [60]

2.13. Oxazolidinone 27, 3CR, Aldehyde + Amine + Alkyne + CO2 [62]

2.14. Thiazole 30, Domino U-4CR / PCC, Thioacid + Amine + Isocyanide + Aldehyde [64]

2.15. Oxazino-1,2,3-triazole 33, Domino P-5F3CR / PCC [3 + 2], Propiolic Acid + Isocyanide + Azido-aldehyde [66]

2.16. 1,2,4-Triazolidine 35, 3CR, Azodidicarboxylate + Imine + Alkyl Diazoacetate [72]

2.17. Tetrazole 37, 3CR, Formic Acid Orthoester + Amine + Azide [74]

2.18. Tetrazolyl Isoindoline 40, Domino U-5F4CR / PCC, 2 x Cyclization Reaction, Methyl Formyl-benzoate + HN3 + Amine + Isocyanide [75]

2.19. Pyridine 45, Domino U-5F4CR / PCC, 2-Ketoacid + Amine + Aldehyde + Isocyanide [77]

2.20. Pyran 47, Domino I-3F3CR/PCC, Acetylenedicarboxylate + Hydroxynaphthoquinone + Isocyanide [84]

2.21. Isoquinoline 50, 5F4CR, Alkynylbenzaldehyde + Primary Amine + Formaldehyde + Secondary Amine [85]

2.22. Pyridopyrimidine 52, I-4F3CR, 2-Aminopyridine + Acetylenedicarboxylate + Isocyanide [86]

2.23. Piperazine 55, U-4F3C, Ketocarboxylic Acid + Amine + Isocyanide [89]

2.24. Tetrazinane 57, 3CR, Aldehyde + Urea + Ammonia [92]

2.25. Oxadiazepine 59, U-6F4CR / PCC Staudinger-aza-Wittig reaction, Azidocarboxylic Acid + Aldehyde + Isocyanide + Aminoketone [93]

2.26. Oxadiazepine 62, Domino Aza-Wittig / I-3CR, Acetylenedicarboxylate + 1,3-Diketone + Isocyano-azaphosphorane [94]

3. Strategies in Designing Novel MCRs
3.1. Thermodynamic Effects
3.1.1. Isocyanate 63 Elimination [95]

3.1.2. Ketene 68 Elimination [96]

3.2. Isocyanide-Based MCRs (I-MCRs)

3.3. Isocyanide Generation


3.4. Domino Reactions
3.5. Post-Condensation-Cyclizations (PCCs)
3.6. Macrocyclization
4. New Methods in Performing Conditions to Modern Requirements
4.1. Water as Solvent
4.2. Ionic Liquids as Solvent
4.3. Solvent-Less Syntheses
4.4. Alternative Forms of Energy: Microwave, Infrared, Ultrasound Irradiation
5. Conclusions

References and Notes
- Zhu, J.; Bienayme, H. (Eds.) Multicomponent Reactions; Wiley-VCH: Weinheim, Germany, 2005.
- Eckert, H. From multicomponent-reactions (MCRs) towards multi-function-component-reactions (MFCRs). Heterocycles 2007, 73, 149–158. [Google Scholar] [CrossRef]
- Katritzky, A.R.; Ramsden, C.A.; Scriven, E.F.V.; Taylor, R.J.K. (Eds.) Comprehensive Heterocyclic Chemistry III; Elsevier: New York, NY, USA, 2008.
- Pozharskii, A.F.; Soldatenkov, A.T.; Katritzky, A.R. Heterocycles in Life and Society, 2nd ed; Wiley & Sons: New York, NY, USA, 2011. [Google Scholar]
- Hemming, K. Heterocyclic chemistry. Annu. Rep. Prog. Chem. B 2011, 107, 118–137. [Google Scholar] [CrossRef]
- Ugi, I. (Ed.) Isonitrile Chemistry; Academic Press: New York, NY, USA, 1971.
- Orru, R.V.A.; Ruijter, E. (Eds.) Synthesis of Heterocycles via Multicomponent Reactions I; Topics in Heterocyclic Chemistry; Springer Verlag: New York, NY, USA, 2010; Volume 23.
- Orru, R.V.A.; Ruijter, E. (Eds.) Synthesis of Heterocycles via Multicomponent Reactions II; Topics in Heterocyclic Chemistry; Springer Verlag: New York, NY, USA, 2010; Volume 25.
- Madelung, W. ber eine neue Darstellungsweise für substituierte Indole. Ber. Dtsch. Chem. Ges. 1912, 45, 1128. [Google Scholar] [CrossRef]
- Houlihan, W.J.; Parrino, V.A.; Uike, Y. Lithiation of N-(2-alkylphenyl)-alkanamides and related compounds. A modified Madelung indole synthesis. J. Org. Chem. 1981, 46, 4511–4515. [Google Scholar] [CrossRef]
- Ito, Y.; Kobayashi, K.; Saegusa, T. An efficient synthesis of indole. J. Am. Chem. Soc. 1977, 99, 3532–3534. [Google Scholar] [CrossRef]
- Burke, M.D.; Schreiber, S.L. A planning strategy for diversity-oriented synthesis. Angew. Chem. Int. Ed. Engl. 2004, 43, 47–58. [Google Scholar]
- Sunderhaus, J.D.; Martin, S.F. Applications of multicomponent reactions to the synthesis of diverse heterocyclic scaffolds. Chem. Eur. J. 2009, 15, 1300–1308. [Google Scholar] [CrossRef]
- Li, M.; Gong, F.-M.; Wen, L.-R.; Li, Z.-R. Expeditious construction of spiro-pyrrolidines by an autocatalytic one-pot, five-component, 1,3-dipolar cycloaddition of in situ generated azo-methine ylides and olefinic dipolarophiles. Eur. J. Org. Chem. 2011, 2011, 3482–3490. [Google Scholar]
- Doemling, A.; Herdtweck, E.; Ugi, I. The seven-component reaction. Acta Chem. Scand. 1998, 52, 107–113. [Google Scholar] [CrossRef]
- Elders, N.; van der Born, D.; Hendrickx, L.J.D.; Timmer, B.J.J.; Krause, A.; Janssen, E.; de Kanter, F.J.J.; Ruijter, E.; Orru, R.V.A. The efficient one-pot reaction of up to eight compo-nents by the union of multicomponent reactions. Angew. Chem. Int. Ed.Engl. 2009, 48, 5856–5859. [Google Scholar]
- D’Souza, D.M.; Mueller, T.J.J. Multi-component syntheses of heterocycles by transiton-metal catalysis. Chem. Soc. Rev. 2007, 36, 1095–1108. [Google Scholar] [CrossRef]
- Weber, L. Multi-component reactions and evolutionary chemistry. Drug Discov. Today 2002, 7, 143–147. [Google Scholar]
- Toure, B.B.; Hall, D.G. Natural product synthesis using multicomponent reaction strategies. Chem. Rev. 2009, 109, 4439–4486. [Google Scholar] [CrossRef]
- Ganem, B. Strategies for innovation in multicomponent reaction design. Acc. Chem. Res. 2009, 42, 463–472. [Google Scholar] [CrossRef]
- Syamala, M. Recent progress in three-component reactions. An update. Org. Prep. Proced. Int. 2009, 4, 1–68. [Google Scholar] [CrossRef]
- Kalinski, C.; Umkehrer, M.; Weber, L.; Kolb, J.; Burdack, C.; Ross, G. On the industrial applications of MCRs: Molecular diversity in drug discovery and generic drug synthesis. Mol. Divers. 2010, 14, 513–522. [Google Scholar] [CrossRef]
- Biggs-Houck, J.E.; Younai, A.; Shaw, J.T. Recent advances in multicomponent reactions for diversity-oriented synthesis. Curr. Opin. Chem. Biol. 2010, 14, 371–382. [Google Scholar] [CrossRef]
- Jiang, B.; Rajale, T.; Wever, W.; Tu, S.-J.; Li, G. Multicomponent reactions for the synthesis of heterocycles. Chem. Asian J. 2010, 5, 2318–2335. [Google Scholar] [CrossRef]
- Ruijter, E.; Scheffelaar, R.; Orru, R.V.A. Multicomponent reaction design in the quest for molecular complexity and diversity. Angew. Chem. Int. Ed. Engl. 2011, 50, 6234–6246. [Google Scholar] [CrossRef]
- Yu, J.; Shit, F.; Gong, L.-Z. Bronsted-acid-catalyzed asymmetric multicomponent reactions for the facile synthesis of highly enantioenriched structurally diverse nitrogenous heterocycles. Acc. Chem. Res. 2011, 44, 1156–1171. [Google Scholar] [CrossRef]
- Banfi, L.; Bossio, A.; Guanti, G.; Paravidino, M.; Riva, R. A new highly convergent entry to densely functionalized aziridines based on the Ugi reaction. QSAR Comb. Sci. 2006, 5–6, 457–460. [Google Scholar]
- Concellon, J.M.; Rodriguez-Solla, H. Synthesis and synthetic applications of α-amino ketones derived from natural α-amino acids. Curr. Org. Chem. 2008, 12, 524–543. [Google Scholar] [CrossRef]
- Krokotos, C.G.; McGarrigle, E.M.; Aggerwal, V.K.; Varinder, K. Sulfur ylide mediated three-component aziridination and epoxidation reactions using vinyl sulfonium salts. Synlett 2008, 2008, 2191–2195. [Google Scholar] [CrossRef]
- Veinberg, G.; Diskovskaya, K.; Vorona, M.; Turkovskis, I.; Kanepe, I.; Lukevics, I. Synthesis of cytotoxic derivatives of 2-oxo-1-acetidinylacetamid. Chem. Heterocycl. Compd. 2005, 41, 93–97. [Google Scholar] [CrossRef]
- Eckert, H.; Ugi, I. The role of isocyanides in the synthesis of β-lactam antibiotics and related compounds. In Studies in Natural Products Chemistry; Elsevier: New York, NY, USA, 1993; pp. 113–143. [Google Scholar]
- Mloston, G.; Celeda, M.; Linden, A.; Heimgartner, H. Two- and three-component reactions leading to new enamines derived from 2,3-dicyanobut-2-enoates. Helv. Chim. Acta 2009, 92, 1520–1537. [Google Scholar] [CrossRef]
- Alizadeh, A.; Babaki, M.; Zoreh, N. Solvent-free synthesis of penta-substituted pyrroles: one-pot reaction of amine, alkyl acetoacetate, and fumaryl chlorid. Tetrahedron 2009, 65, 1704–1707. [Google Scholar] [CrossRef]
- Attanasi, O.A.; Favi, G.; Mantellini, F.; Moscatelli, G.; Santeusanio, S. Synthesis of functionalized pyrroles via catalyst- and solvent-free sequential three-component enamine-azoene annulations. J. Org. Chem. 2011, 76, 2860–2866. [Google Scholar] [CrossRef]
- Kassaee, M.Z.; Masrouri, M.; Partiovi, T. One-pot four-component synthesis of tetra-substituted pyrroles. Helv. Chim. Acta 2008, 91, 227–231. [Google Scholar] [CrossRef]
- Marandi, G.; Maghsoodlou, M.T.; Hazeri, N.; Habibi-Khorassani, S.M.; Torbati, N.A.; Charati, F.R.; Skelton, B.W.; Makha, M. Synthesis of cyano-2,3-dihydropyrrolo[1,2-f]phenanthridine derivatives via a domino-Knoevenagel-cyclization. Mol. Divers. 2011, 15, 197–201. [Google Scholar] [CrossRef]
- Crovetto, L.; Rios, R. Three component, highly diastereoselective metal free synthesis of 2,3,4,5 tetrasubstituted pyrrolidines. Synlett 2008, 2008, 1840–1844. [Google Scholar]
- Xu, H.-W.; Li, G.-Y.; Wong, M.-K.; Che, C.-M. Asymmetric synthesis of multi-functionalized pyrrolines by a ruthenium porphyrin-catalyzed three-component coupling reaction. Org. Lett. 2005, 7, 5349–5352. [Google Scholar] [CrossRef]
- Balme, B. Pyrrole syntheses by multicomponent coupling reactions. Angew. Chem. Int. Ed. Engl. 2004, 43, 6238–6241. [Google Scholar] [CrossRef]
- Smith, N.D.; Huang, D.; Cosford, N.D.P. One-step synthesis of 3-aryl- and 3,4-diaryl-(1H)-pyrroles using tosylmethyl isocyanide (TOSMIC). Org. Lett. 2002, 4, 3537–3539. [Google Scholar] [CrossRef]
- Lin, X.; Mao, Z.; Dai, X.; Lu, P.; Wang, Y. A straightforward one-pot multicomponent synthesis of polysubstituted pyrroles. Chem. Commun. 2011, 47, 6620–6622. [Google Scholar] [CrossRef]
- Hong, D.; Zhu, Y.; Li, Y.; Lin, X.; Lu, P.; Wang, Y. Three-component synthesis of poly-substituted pyrroles from α-diazoketones, nitroalkenes, and amine. Org. Lett. 2011, 13, 4668–4671. [Google Scholar] [CrossRef]
- Estevez, V.; Villacampa, M.; Menendez, J.J. Multicomponent reactions for the synthesis of pyrroles. Chem. Soc. Rev. 2010, 39, 4402–4421. [Google Scholar] [CrossRef]
- Alizadeh, A.; Rostamnia, S.; Zhu, L.G. Competition of the R3P/DAAD and RNC/DAAD zwitterions in their production and reaction with aromatic carboxylic acids: A novel binucleo-philic system for three-component synthesis of 2-aminofurans. Synthesis 2008, 2008, 1788–1792. [Google Scholar] [CrossRef]
- Li, H.; Li, J.; Yan, B.; Li, Y. New domino approach for the synthesis of 2,3-disubstituted benzo[b]furans via copper-catalyzed multi-component coupling reactions followed by cyclization. Tetrahedron Lett. 2009, 50, 2353–2357. [Google Scholar] [CrossRef]
- Pan, H.-R.; Li, Y.-J.; Yan, C.-X.; Xing, J.; Cheng, Y. Multicomponent reaction of imidazo[1,5-a]pyridine carbenes with aldehydes and dimethyl acetylenedicarboxylate or allenoates: A straightforward approach to fully substituted furans. J. Org. Chem. 2010, 75, 6644–6652. [Google Scholar] [CrossRef]
- Schirok, H. Microwave-assisted synthesis of N-sec- and N-tert-alkylated indoles. Synthesis 2008, 2008, 1404–1414. [Google Scholar] [CrossRef]
- Simoneau, C.A.; Ganem, B. Multiple component Fischer indole reactions. Tetrahedron 2005, 61, 11374–11379. [Google Scholar] [CrossRef]
- Leogane, O.; Lebel, H. One-pot multicomponent synthesis of indoles from 2-iodobenzoic acid. Angew. Chem. Int. Ed. Engl. 2008, 47, 350–352. [Google Scholar] [CrossRef]
- Kalinski, C.; Umkehrer, M.; Schmidt, J.; Ross, G.; Kolb, J.; Burdack, C.; Hiller, W.; Hoffmann, S.D. A novel one-pot synthesis of highly diverse indole scaffolds by the Ugi/Heck reaction. Tetrahedron Lett. 2006, 47, 4683–4686. [Google Scholar] [CrossRef]
- Adib, M.; Mohammadi, B.; Bijanzadeh, H.R. A novel one-pot, three-component synthesis of dialkyl 5-(alkylamino)-1-aryl-1H-pyrazole-3,4-dicarboxylates. Synlett 2008, 2008, 3180–3182. [Google Scholar] [CrossRef]
- Zou, Y.; Wu, H.; Hu, Y.; Liu, H.; Zhao, X.; Ji, H.; Shi, D. A novel and environment-friendly method for preparing dihydropyrano[2,3-c]pyrazoles in water under ultrasound irradiation. Ultrason. Sonochem. 2011, 18, 708–712. [Google Scholar] [CrossRef]
- Bertozzi, F.; Gundersen, B.V.; Gustavsson, M.; Olson, R. A combinatorial scaffold approach based upon a multicomponent reaction. Org. Lett. 2003, 5, 1551–1554. [Google Scholar] [CrossRef]
- Sung, K.; Wu, S.H.; Chen, P.I. Facile two-pot syntheses of novel alternating benzene/imidazole systems. Tetrahedron 2002, 58, 5599–5602. [Google Scholar] [CrossRef]
- Heravi, M.M.; Derikwand, F.; Haghighi, M. Highly efficient, four component, one-pot synthesis of tetrasubstituted imidazoles using a catalytic amount of FeCl3x6H2. Monatsh. Chem. Chem. Mon. 2008, 139, 31–33. [Google Scholar]
- Han, Y.; Xie, Y.-X.; Zhao, L.-B.; Fan, M.-J.; Liang, Y.-M. Synthesis of highly substituted 2-imidazolines through a three-component coupling reaction. Synthesis 2008, 2008, 87–93. [Google Scholar] [CrossRef]
- Sisko, J.; Kanick, A.J.; Mellinger, M.; Filan, J.F.; Allen, A.; Olsen, M.A. An investigation of imidazole and oxazole syntheses using aryl-substituted TosMIC reagents. J. Org. Chem. 2000, 65, 1516–1524. [Google Scholar] [CrossRef]
- Hasaninejad, A.; Zare, A.; Shekouhy, M.; Rad, J.A. Catalyst-free one-pot four component synthesis of polysubstituted imidazoles in neutral ionic liquid 1-butyl-3-methylimidazolium bromide. J. Comb. Chem. 2010, 12, 844–849. [Google Scholar] [CrossRef]
- Tavakoli-Hoseini, N.; Davoodnia, A. Carbon-based solid acid as an efficient and reusable catalyst for one-pot synthesis of tetrasubstituted imidazoles under solvent-free conditions. Chinese J. Chem. 2011, 29, 203–206. [Google Scholar] [CrossRef]
- Masdeu, C.; Gomez, E.; Williams, N.A.O.; Lavilla, R. Double insertion of isocyanides into dihydropyridines: Direct access to substituted benzimidazolium salts. Angew. Chem. Int. Ed. Engl. 2007, 46, 3043–3046. [Google Scholar] [CrossRef]
- Arevalo, M.J.; Kielland, N.; Masdeu, C.; Miguel, M.; Isambert, N.; Lavilla, R. Multicomponent access to functionalized mesoionic structures based on TFAA activation of isocyanides: Novel domino reactions. Eur. J. Org. Chem. 2009, 617–625. [Google Scholar]
- Yoo, W.-J.; Li, C.-J. Copper-catalyzed four-component coupling between aldehydes, amines, alkynes, and carbon dioxi. Adv. Synth. Catal. 2008, 350, 1503–1506. [Google Scholar] [CrossRef]
- Lalli, C.; Bouma, M.J.; Bonne, D.; Masson, G.; Zhu, J. Exploiting the divergent reactivity of a-isocyanoacetate: Multicomponent synthesis of 5-alkoxyoxazoles and related heterocycles. Chem. Eur. J. 2011, 17, 880–889. [Google Scholar] [CrossRef]
- Kolb, J.; Beck, B.; Almstetter, M.; Heck, S.; Herdtweck, E.; Doemling, A. New MCRs: The first 4-component reaction leading to 2,4-disubstituted thiazoles. Mol. Divers. 2003, 6, 297–313. [Google Scholar]
- Umkehrer, M.; Kolb, J.; Burdack, C.; Hiller, W. 2,4,5-Trisubstituted thiazole building blocks by a novel multi-component reaction. Synlett 2005, 2005, 79–82. [Google Scholar]
- de Moliner, F.; Crosignani, S.; Galatini, A.; Riva, R.; Basso, A. Novel application of α-azido aldehydes in multicomponent reactions: Synthesis of triazolo-fused dihydrooxazinones via a passerini reaction-dipolar cycloaddition strategy. ACS Comb. Sci. 2011, 13, 453–457. [Google Scholar] [CrossRef]
- Akritopoulou-Zanze, I.; Gracias, V.; Djuric, S.W. A versatile synthesis of fused triazolo derivatives by sequential Ugi/alkyne-azide cycloaddition reactions. Tetrahedron Lett. 2004, 45, 8439–8441. [Google Scholar] [CrossRef]
- Liu, M.; Reiser, O. A copper(I) isonitrile complex as a heterogeneous catalyst for azide-alkyne cycloaddition in water. Org. Lett. 2011, 13, 1102–1105. [Google Scholar] [CrossRef]
- Whiting, M.; Muldroon, J.; Silverman, S.M.; Lindstrom, W.; Olson, A.J.; Kolb, H.C.; Finn, M.G.; Sharpless, K.B.; Elder, J.H.; Fokin, V.V. Inhibitors of HIV-1 protease by using in situ click chemistry. Angew. Chem. Int. Ed. Engl. 2006, 45, 1435–1439. [Google Scholar]
- Lutz, J.F.; Zarafshani, Z. Efficient construction of therapeutics, bioconjugates, biomaterials, and bioactive surfaces using azide-alkyne “click” chemist. Adv. Drug Deliv. Rev. 2008, 60, 958–970. [Google Scholar] [CrossRef]
- Gil, M.V.; Arevalo, M.J.; Lopez, O. Click chemistry: What’s in a name? Triazol synthesis and beyond. Synthesis 2007, 2007, 1589–1620. [Google Scholar] [CrossRef]
- Wang, M.-Z.; Xu, H.-W.; Liu, Y.; Wong, M.-K. Stereoselective synthesis of multi-functionalized 1,2,4-triazolidines by a ruthenium porphyrin-catalyzed three-component coupling reaction. Adv. Synth. Catal. 2006, 348, 2391–2396. [Google Scholar] [CrossRef]
- Castanedo, G.M.; Seng, P.S.; Blaquiere, N.; Trapp, S.; Staben, S.T. Rapid synthesis of 1,3,5-substituted 1,2,4-triazoles from carboxylic acids, amidines, and hydrazine. J. Org. Chem. 2011, 76, 1177–1179. [Google Scholar] [CrossRef]
- Kundu, D.; Majee, A.; Hajra, A. Indium triflate-catalyzed one-pot synthesis of 1-substituted-1H-1,2,3,4-tetrazoles under solvent-free conditions. Tetrahedron Lett. 2009, 50, 2668–2670. [Google Scholar] [CrossRef]
- Marcos, C.M.; Marcaccini, S.; Menchi, G.; Pepino, R.; Torroba, T. Studies on isocyanides: Synthesis of tetrazolyl-isoindolinones via tandem Ugi four-component condensation / intra-molecular amidation. Tetrahedron Lett. 2008, 49, 149–152. [Google Scholar] [CrossRef]
- Kaim, L.; Grimaud, L.; Patil, P. Three-component strategy toward 5-membered heterocycles from isocyanide dibromides. Org. Lett. 2011, 13, 1261–1263. [Google Scholar] [CrossRef]
- Bossio, R.; Marcos, C.F.; Marcaccini, S.; Pepino, R. A novel synthetic route to 1,6-dihydro-6-oxopyridine-2-carboxylic acid derivatives. Heterocycles 1997, 45, 1589–1592. [Google Scholar] [CrossRef]
- Tu, S.-J.; Zhang, X.H.; Han, Z.-G.; Cao, X.D.; Wu, S.-S.; Yan, S.; Hao, W.-J.; Zhang, G.; Ma, N. Synthesis of isoxazolo[5,4-b]pyridines by microwave-assisted multi-component reactions in water. J. Comb. Chem. 2009, 11, 428–432. [Google Scholar] [CrossRef]
- Kumar, A.; Sharma, S. A grinding-induced catalyst- and solvent-free synthesis of highly functionalized 1,4-dihydropyridines via a domino multicomponent reaction. Green Chem. 2011, 13, 2017–2020. [Google Scholar] [CrossRef]
- Balamurugan, K.; Perumal, S.; Menendez, J.C. New four-component reactions in water: A convergent approach to the metal-free synthesis of spiro[indoline/acenaphthylene-3,40-pyrazolo[3,4-b]pyridine derivatives. Tetrahedron 2011, 67, 3201–3208. [Google Scholar] [CrossRef]
- Shi, D.-Q.; Yang, F.; Nib, S.N. A facile synthesis of furo[3,4-e]pyrazolo[3,4-b]pyridine-5(7H)-one derivatives via three-component reaction in ionic liquid without any catalyst. J. Heterocycl. Chem. 2009, 46, 469–476. [Google Scholar] [CrossRef]
- Zhang, X.; Li, D.; Fan, X.; Wang, X.; Li, X.; Qu, G.; Wang, J. Ionic liquid-promoted multi-component reaction: novel and efficient preparation of pyrazolo[3,4-b]pyridinone, pyrazolo[3,4-b]-quinolinone and their hybrids with pyrimidine nucleoside. Mol. Divers. 2010, 14, 159–167. [Google Scholar] [CrossRef]
- Zare, L.; Mahmoodi, O.; Yahyazadeh, A.; Mamaghani, M. Convenient ultrasound-promoted regioselective synthesis of fused 6-amino-3-methyl-4-aryl-1H-pyrazolo[3,4-b]pyridine-5-carbonitrile. Synth. Commun. 2011, 41, 2323–2330. [Google Scholar] [CrossRef]
- Shaabani, A.; Ghadari, R.; Beheshdi, S.; Sarvary, A.; Rezayan, A.H. Synthesis of highly functionalized bis(4H-chromene) and 4H-benzo[g]chromene derivatives via an isocyanide-based pseudo-five-component Reaction. J. Org. Chem. 2009, 74, 4372–4374. [Google Scholar] [CrossRef]
- Ohta, Y.; Oishi, S.; Fujii, N.; Ohno, H. Facile synthesis of 3-(aminomethyl)isoquinolines by copper-catalysed domino four-component coupling and cyclisation. Chem. Comm. 2008, 835–837. [Google Scholar]
- Adib, M.; Sayahi, M.-H.; Nosrati, M.; Zhu, L.-G. A novel, one-pot, three-component synthesis of 4H-pyrido[1,2-a]pyrimidines. Tetrahedron Lett. 2007, 48, 4195–4198. [Google Scholar] [CrossRef]
- Bararjanian, M.; Balalaie, S.; Rominer, F.; Barouti, S. A novel and efficient one-pot synthesis of 2-aminopyrimidinones and their self-assembly. Helv. Chim. Acta 2010, 93, 777–784. [Google Scholar] [CrossRef]
- Shen, S.; Zhang, H.; Yang, W.; Yu, C.; Yao, C. One-pot combinatorial synthesis of benzo[4,5]-imidazo-[1,2-a]thiopyrano[3,4-d]pyrimidin-4(3H)-one derivatives. Chin. J. Chem. 2011, 29, 1727–1731. [Google Scholar] [CrossRef]
- AIlyin, A.P.; Trifilenkov, A.S.; Kurashvili, I.D.; Krasavin, M.; Ivachtchenko, A.V. One-step construction of peptidomimetic 5-carbamoyl-4-sulfonyl-2-piperazinones. J. Comb. Chem. 2005, 7, 360–363. [Google Scholar] [CrossRef]
- Werner, S.; Nielsen, S.D.; Wipf, P.; Turner, D.M.; Chambers, P.G.; Geib, S.J.; Curran, D.P.; Zhang, W. Fluorous parallel synthesis of a piperazinedione-fused tricyclic compoundl library. J. Comb. Chem. 2009, 11, 452–459. [Google Scholar] [CrossRef]
- Domling, A.; Huang, Y. Piperazine scaffolds via isocyanide-based multicomponent reactions. Synthesis 2010, 2010, 2859–2883. [Google Scholar] [CrossRef]
- Kanagarajan, V.; Sureshkumar, P.; Thanusu, J.; Gopalakrishnan, M. Environmentally safe one-pot solvent-free synthesis of 6-aryl-1,2,4,5-tetrazinane-3 thiones(ones) catalyzed by NaHSO4-SiO2. Russ. J. Org. Chem. 2009, 45, 1707–1713. [Google Scholar]
- Lezinska, P.; Corres, N.; Moreno, D.; Garcia-Valverde, M.; Marcaccini, S.; Torroba, T. Synthesis of pseudopeptidic (S)-6-amino-5-oxo-1,4-diazepines and (S)-3-benzyl-2-oxo-1,4-benzodiazepines by an Ugi 4CC Staudinger/aza-Wittig sequence. Tetrahedron 2010, 66, 6783–6788. [Google Scholar] [CrossRef]
- Souldozi, A.; Bouslimani, N.; Welter, R. The reaction of (N-isocyanimino)triphenylphos-phorane with dialkyl acetylenedicarboxylates in the presence of 1,3-diphenyl-1,3-propanedione: A novel three-component reaction for the stereoselective synthesis of dialkyl (Z)-2-(5,7-diphenyl-1,3,4-oxadiazepin-2-yl)-2-butenedioates. Tetrahedron Lett. 2007, 48, 2617–2620. [Google Scholar] [CrossRef]
- Cyr, D.C.; Martin, N.; Arndtsen, B.A. Direct synthesis of pyrroles from Imines, alkynes, and acid chlorides: An isocyanide-mediated reaction. Org. Lett. 2007, 9, 449–452. [Google Scholar] [CrossRef]
- Sharma, U.; Shahadat, A.; Boruah, R.C. A facile synthesis of annelated pyridines from β-formyl enamides under microwave irradiation. Tetrahedron Lett. 2000, 41, 3493–3495. [Google Scholar] [CrossRef]
- Wang, Q.; Song, X.; Yan, C. Application of malononitrile in multicomponent reactions. Huaxue Jinzhan 2009, 21, 997–1007. [Google Scholar]
- Bonne, D.; Coquerel, Y.; Constantieux, T.; Rodriguez, J. 1,3-Dicarbonyl compounds in stereo-selective domino and multicomponent reactions. Tetrahedron: Asymmetry 2010, 21, 1085–1109. [Google Scholar]
- Duque, M.; Allais, C.; Isambert, N.; Constantieux, T.; Rodriguez, J. β-Diketo building blocks for MCRs-based syntheses of heterocycles. Top. Heterocycl. Chem. 2010, 23, 227–277. [Google Scholar] [CrossRef]
- Matache, M.; Dobrota, C.; Bogdan, N.D.; Funeriu, D.P. Recent developments in the reactivity of the Biginelli compounds. Curr. Org. Synth. 2011, 8, 356–373. [Google Scholar] [CrossRef]
- Sun, J.; Wu, Q.; Xia, E.-Y.; Yan, C.G. Molecular diversity of three-component reactions of aromatic aldehydes, arylamines, and acetylenedicarboxylate. Eur. J. Org. Chem. 2011, 2011, 2981–2986. [Google Scholar] [CrossRef]
- Choudhury, L.H.; Parvin, T. Recent advances in the chemistry of imine-based multicomponent reactions (MCRs). Tetrahedron 2011, 67, 8213–8228. [Google Scholar] [CrossRef]
- El Kaim, L.; Grimaud, L. Beyond the Ugi reaction: Less conventional interactions between isocyanides and iminium species. Tetrahedron 2009, 65, 2153–2171. [Google Scholar] [CrossRef]
- Ivachtchenko, A.V.; Ivanenkov, Y.A.; Kysil, V.M.; Krasavin, M.Y.; Ilyin, A.P. Multi-component reactions of isocyanides in the synthesis of heterocycles. Russ. Chem. Rev. 2010, 79, 787–817. [Google Scholar] [CrossRef]
- Elders, N.; Ruijter, E.; Nenajdenko, V.G.; Orru, R.V.A. α-Acidic isocyanides in multicomponent chemistry. Top. Heterocycl. Chem. 2010, 23, 129–159. [Google Scholar] [CrossRef]
- Sadjadi, S.; Heravi, M.M. Recent application of isocyanides in synthesis of heterocycles. Tetrahedron 2011, 67, 2707–2752. [Google Scholar] [CrossRef]
- Heravi, M.M.; Moghimi, S. Catalytic multicomponent reactions based on isocyanides. J. Iran. Chem. Soc. 2011, 8, 306–373. [Google Scholar] [CrossRef]
- de Moliner, F.; Banfi, L.; Riva, R.; Basso, A. Beyond Ugi and Passerini reactions. Multi-component approaches based on isocyanides and alkynes as an efficient tool for diversity oriented synthesis. Comb. Chem. High Throughput Screen. 2011, 14, 782–810. [Google Scholar]
- Shaabani, A.; Maleki, A.; Rezayan, A.H.; Sarvary, A. Recent progress of isocyanide-based multicomponent reactions in Iran. Mol. Divers. 2011, 15, 41–68. [Google Scholar] [CrossRef]
- Cotarca, L.; Eckert, H. Phosgenations—A Handbook; Wiley-VCH: Weinheim, Germany, 2004; pp. 395–431. [Google Scholar]
- Eckert, H.; Auerweck, J. Solvent-free and safe process for the quantitative production of phosgene from triphosgene by deactivated imino-based catalysts. Org. Process Res. Dev. 2010, 14, 1501–1505. [Google Scholar] [CrossRef]
- Eckert, H. Phosgenation reactions with phosgene from triphosgene. Chim. OGGI 2011, 29, 40–46. [Google Scholar]
- Pirrung, M.C.; Ghorai, S.; Ibarra-Rivera, T.R. Multicomponent reactions of convertible isonitriles. J. Org. Chem. 2009, 74, 4110–4117. [Google Scholar] [CrossRef]
- Masson, G.; Neuville, L.; Bughin, C.; Fayol, A.; Zhu, J. Multicomponent syntheses of macrocycles. Top. Heterocycl. Chem. 2010, 25, 1–24. [Google Scholar] [CrossRef]
- Wessjohann, L.A.; Rivera, D.G.; Vercillo, O.E. Multiple multicomponent macrocyclisations (MiBs): A strategic development toward macrocycle diversity. Chem. Rev. 2009, 109, 796–814. [Google Scholar] [CrossRef]
- Kumaravel, K.; Vasuki, G. Multicomponent reactions in water. Curr. Org. Chem. 2009, 13, 1820–1841. [Google Scholar] [CrossRef]
- Isambert, N.; Duque, M.; del Mar, S.; Plaquevent, J.-C.; Genisson, Y.; Rodriguez, J.; Constantieux, T. Multicomponent reactions and ionic liquids: A perfect synergy for eco-compatible heterocyclic synthesis. Chem. Soc. Rev. 2011, 40, 1347–1357. [Google Scholar] [CrossRef]
- Hugel, H.M. Microwave multicomponent synthesis. Molecules 2009, 14, 4936–4972. [Google Scholar] [CrossRef]
- Jiang, B.; Shi, F.; Tu, S.-J. Microwave-assisted multicomponent reactions in the heterocyclic chemistry. Curr. Org. Chem. 2010, 14, 357–378. [Google Scholar] [CrossRef]
- Kruithof, A.; Ruijter, E.; Orru, R.V.A. Microwave-assisted multicomponent synthesis of heterocycles. Curr. Org. Chem. 2011, 15, 204–236. [Google Scholar] [CrossRef]
- Kadam, A.; Zhang, Z.; Zhang, W. Microwave-assisted fluorous multicomponent reactions. A combinatorial chemistry approach for green organic synthesis. Curr. Org. Synth. 2011, 8, 295–309. [Google Scholar] [CrossRef]
- Miranda, R.; Noguez, O.; Velasco, B.; Arroyo, G.; Penieres, G.; Martinez, J.O.; Delgado, F. Infrared irradiation: An alternative for reaction activation and its contribution to green chemistry. Educ. Quim. 2009, 20, 421–425. [Google Scholar]
© 2012 by the authors; licensee MDPI, Basel, Switzerland. This article is an open-access article distributed under the terms and conditions of the Creative Commons Attribution license (http://creativecommons.org/licenses/by/3.0/).
Share and Cite
Eckert, H. Diversity Oriented Syntheses of Conventional Heterocycles by Smart Multi Component Reactions (MCRs) of the Last Decade. Molecules 2012, 17, 1074-1102. https://doi.org/10.3390/molecules17011074
Eckert H. Diversity Oriented Syntheses of Conventional Heterocycles by Smart Multi Component Reactions (MCRs) of the Last Decade. Molecules. 2012; 17(1):1074-1102. https://doi.org/10.3390/molecules17011074
Chicago/Turabian StyleEckert, Heiner. 2012. "Diversity Oriented Syntheses of Conventional Heterocycles by Smart Multi Component Reactions (MCRs) of the Last Decade" Molecules 17, no. 1: 1074-1102. https://doi.org/10.3390/molecules17011074
APA StyleEckert, H. (2012). Diversity Oriented Syntheses of Conventional Heterocycles by Smart Multi Component Reactions (MCRs) of the Last Decade. Molecules, 17(1), 1074-1102. https://doi.org/10.3390/molecules17011074
