Platycoside O, a New Triterpenoid Saponin from the Roots of Platycodon grandiflorum
Abstract
:1. Introduction
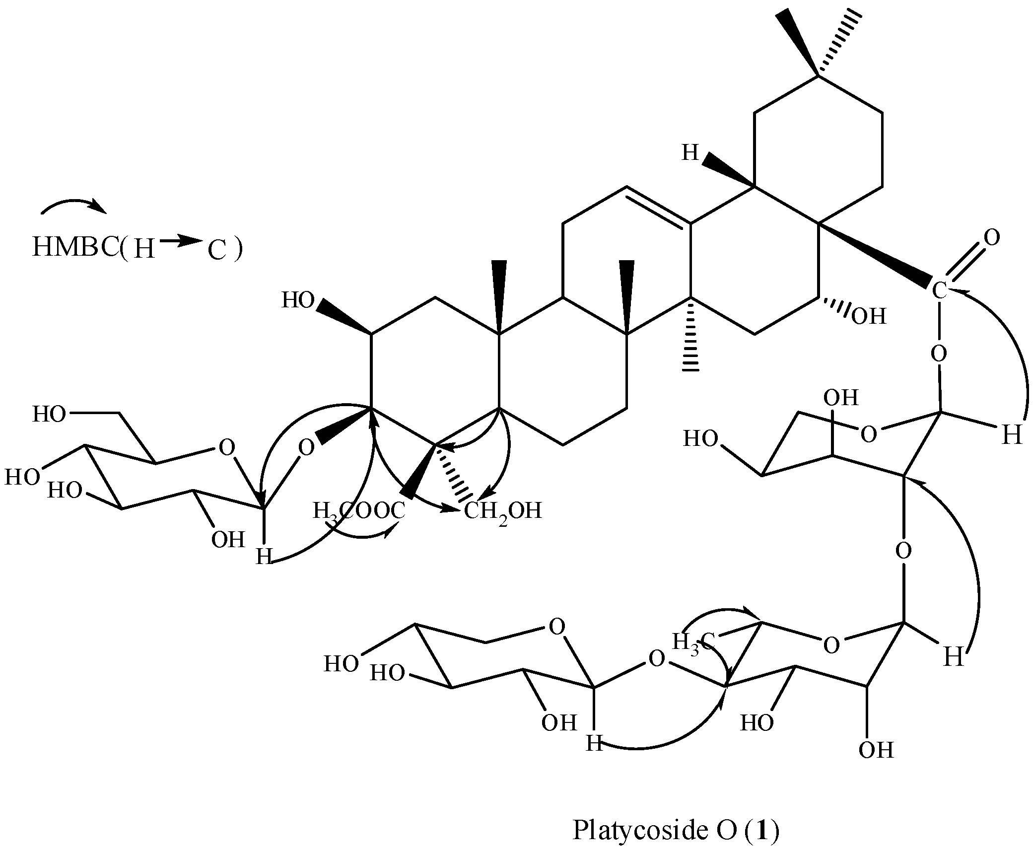
2. Results and Discussion

| No | C | H | No | C | H | ||
|---|---|---|---|---|---|---|---|
| 1 | 45.1 | 1.45 (1H, o), | 3–O–Glu | ||||
| 2.03–2.12 (1H, m) | 1 | 106.4 | 5.27 (1H, d, J = 8.0 Hz) | ||||
| 2 | 70.2 | 4.77 (1H, br s) | 2 | 74.9 | 3.99 (1H, t, J = 9.0 Hz) | ||
| 3 | 85.1 | 4.58 (1H, br s) | 3 | 78.6 | 4.05 (1H, t, J = 7.5, 9.0 Hz) | ||
| 4 | 48.2 | 4 | 73.0 | 4.37–4.42 (1H, m) | |||
| 5 | 47.8 | 1.90–1.94 (1H, m) | 5 | 77.0 | 4.46–4.49 (1H, m) | ||
| 6 | 19.1 | 1.92–1.94 (1H, m); | 6 | 63.2 | 4.83 (1H, br d, J = 11.0 Hz) | ||
| 1.30–1.35 (1H, m) | 3.95 (1H, dd, J = 4.5, 11.0 Hz) | ||||||
| 7 | 33.7 | 1.65–1.76(1H, m); | |||||
| 1.48 (1H, d–like, J = 11.5 Hz) | C–28–Ara | ||||||
| 8 | 40.3 | 1 | 93.6 | 6.47 (1H, d, J = 2.5 Hz) | |||
| 9 | 47.8 | 1.90–1.94 (1H, m) | 2 | 75.2 | 4.53–4.58 (1H, m) | ||
| 10 | 37.2 | 3 | 70.1 | 4.50–4.54 (1H, m) | |||
| 11 | 24.2 | 2.08 (1H, d–like, J = 17.0 Hz); | 4 | 66.2 | 4.37–4.45 (1H, m) | ||
| 2.14 (1H, d–like, J = 17.5 Hz) | 5 | 63.2 | 4.53–4.56 (1H, m) | ||||
| 12 | 123.1 | 5.63 (1H, t–like) | 4.26 (1H, br d, J = 13.5 Hz) | ||||
| 13 | 144.4 | ||||||
| 14 | 42.3 | Rha | |||||
| 15 | 36.1 | 2.31 (1H, d–like, J = 12.0 Hz) | 1 | 101.2 | 5.78 (1H, br s) | ||
| 1.81 (1H, dd, J = 3.0, 15.0 Hz) | 2 | 72.0 | 4.57 (1H, br d, J = 3.0 Hz) | ||||
| 16 | 74 | 5.25 (1H, d–like, J = 3.6 Hz) | 3 | 72.7 | 4.61 (1H, dd, J = 3.0, 8.5 Hz) | ||
| 17 | 49.6 | 4 | 83.6 | 4.39 (1H, t, J = 9.5 Hz) | |||
| 18 | 41.4 | 3.57 (1H, dd, J = 4.0, 14.0 Hz) | 5 | 68.6 | 4.42 (1H, dq, J = 5.5, 9.5 Hz) | ||
| 19 | 47.1 | 2.75 (1H, t–like, J = 13.0, 14.0 Hz) | 6 | 18.4 | 1.74 (3H, d, J = 5.5 Hz) | ||
| 1.35 (1H, dd, J = 4.0, 13.0 Hz) | |||||||
| 20 | 30.9 | Xyl | |||||
| 21 | 36 | 2.40 (1H, dt, J = 5.0, 12.0 Hz) | 1 | 106.8 | 5.18(1H, d, J = 8.0 Hz) | ||
| 1.29 (1H, d–like, J = 11.5 Hz) | 2 | 76.0 | 4.03–4.08 (1H, m) | ||||
| 22 | 32.1 | 2.25–2.35 (1H, m); | 3 | 77.8 | 4.18 (1H, t, J = 8.5 Hz) | ||
| 2.20 (1H, dd, J = 5.5, 12.5 Hz) | 4 | 71.0 | 4.07–4.24 (1H, m) | ||||
| 23 | 63.7 | 5.02 (1H, o),4.09 (1H, m) | 5 | 67.4 | 4.15–4.25 (1H, m)3.50 (1H, t–like, J = 11.0 Hz) | ||
| 24 | 170.5 | ||||||
| 25 | 17.8 | 1.55 (3H, s) | |||||
| 26 | 17.6 | 1.14 (3H, s) | |||||
| 27 | 27.2 | 1.76 (3H, s) | |||||
| 28 | 175.9 | ||||||
| 29 | 33.3 | 0.99 (3H, s) | |||||
| 30 | 24.8 | 1.14 (3H, s) | |||||
| –OCH3 | 52.1 | 3.69 (3H, s) | |||||

3. Experimental
3.1. General
3.2. Plant Material
3.3. Extraction and Isolation
3.4. Characterization of Platycoside O (1)
3.5. Acid Hydrolysis of 1
4. Conclusions
Acknowledgments
References
- World Health Organization, Radix Platycodi. In WHO Monographs on Selected Medicinal Plants; World Health Organization: Geneva, Switzerland, 1999; Volume 1, pp. 213–220.
- Ahn, K.S.; Noh, E.J.; Zhao, H.L.; Jung, S.H.; Kang, S.S.; Kim, Y.S. Inhibition of inducible nitric oxide synthase and cyclooxygenase II by Platycodon grandiflorum saponins via suppression of nuclear factor-kappaB activation in RAW 264.7 cells. Life Sci. 2005, 76, 2315–2328. [Google Scholar] [CrossRef]
- Hong, S.; Yong, Y.; Kang, K.; Shin, S.Y.; Lee, Y.H.; Lim, Y. NF-kappa B Activation by compounds found in Platycodon grandiflorum extract. J. Microbiol. Biotechnol. 2009, 19, 556–559. [Google Scholar]
- Lee, K.J.; Choi, J.H.; Kim, H.G.; Han, E.H.; Hwang, Y.P.; Lee, Y.C.; Chung, Y.C.; Jeong, H.G. Protective effect of saponins derived from the roots of Platycodon grandiflorum against carbon tetrachloride induced hepatotoxicity in mice. Food Chem. Toxicol. 2008, 46, 1778–1785. [Google Scholar] [CrossRef]
- Khanal, T.; Choi, J.H.; Hwang, Y.P.; Chung, Y.C.; Jeong, H.G. Saponins isolated from the root of Platycodon grandiflorum protect against acute ethanol-induced hepatotoxicity in mice. Food Chem. Toxicol. 2009, 47, 530–535. [Google Scholar] [CrossRef]
- Fu, X.J.; Liu, H.B.; Wang, P.; Guan, H.S. A study on the antioxidant activity and tissues selective inhibition of lipid peroxidation by saponins from the roots of Platycodon grandiflorum. Am. J. Chin. Med. 2009, 37, 967–975. [Google Scholar] [CrossRef]
- Kim, M.O.; Moon, D.O.; Choi, Y.H.; Shin, D.Y.; Kang, H.S.; Choi, B.T.; Lee, J.D.; Li, W.; Kim, G.Y. Platycodin D induces apoptosis and decreases telomerase activity in human leukemia cells. Cancer Lett. 2008, 261, 98–107. [Google Scholar] [CrossRef]
- Lee, K.J.; Hwang, S.J.; Choi, J.H.; Jeong, H.G. Saponins derived from the roots of Platycodon grandiflorum inhibit HT-1080 cell invasion and MMPs activities: Regulation of NF-kappaB activation via ROS signal pathway. Cancer Lett. 2008, 268, 233–243. [Google Scholar] [CrossRef]
- Xie, Y.; Sun, H.X.; Li, D. Platycodin D is a potent adjuvant of specific cellular and humoral immune responses against recombinant hepatitis B antigen. Vaccine 2009, 27, 757–764. [Google Scholar] [CrossRef]
- Xie, Y.; He, S.W.; Sun, H.X.; Li, D. Platycodin D2 improves specific cellular and humoral responses to hepatitis B surface antigen in mice. Chem. Biodivers. 2010, 7, 178–185. [Google Scholar] [CrossRef]
- Kim, Y.S.; Kim, J.S.; Choi, S.U.; Kim, J.S.; Lee, H.S.; Roh, S.H.; Jeong, Y.C.; Kim, Y.K.; Ryu, S.Y. Isolation of a new saponin and cytotoxic effect of saponins from the root of Platycodon grandiflorum on human tumor cell lines. Planta Med. 2005, 71, 566–568. [Google Scholar]
- He, Z.; Qiao, C.; Han, Q.; Wang, Y.; Ye, W.; Xu, H. New triterpenoid saponins from the roots of Platycodon grandiflorum. Tetrahedron 2005, 61, 2211–2215. [Google Scholar] [CrossRef]
- Fu, W.W.; Dou, D.Q.; Shimizu, N.; Takeda, T.; Pei, Y.H.; Chen, Y.J. Studies on the chemical constituents from the roots of Platycodon grandiflorum. J. Nat. Med. 2006, 60, 68–72. [Google Scholar] [CrossRef]
- Fu, W.W.; Shimizu, N.; Dou, D.Q.; Takeda, T.; Fu, R.; Pei, Y.H.; Chen, Y.J. Five new triterpenoid saponins from the roots of Platycodon grandiflorum. Chem. Pharm. Bull. 2006, 54, 557–560. [Google Scholar]
- Fu, W.W.; Shimizu, N.; Takeda, T.; Dou, D.Q.; Chen, B.H.; Pei, Y.H.; Chen, Y.J. New A-ring lactone triterpenoid saponins from the roots of Platycodon grandiflorum. Chem. Pharm. Bull. 2006, 54, 1285–1287. [Google Scholar]
- Fu, W.W.; Dou, D.Q.; Zhao, C.J.; Shimizu, N.; Pei, Y.P.; Pei, Y.H.; Chen, Y.J.; Takeda, T. Triterpenoid saponins from Platycodon grandiflorum. J. Asian Nat. Prod. Res. 2007, 9, 35–40. [Google Scholar]
- Zhang, L.; Liu, Z.H.; Tian, J.K. Cytotoxic triterpenoid saponins from the roots of Platycodon grandiflorum. Molecules 2007, 12, 832–841. [Google Scholar]
- Li, W.; Xiang, L.; Zhang, J.; Zheng, Y.N.; Han, L.K.; Saoto, M. A new triterpenoid saponin from the roots of Platycodon grandiflorum. Chin.Chem. Lett. 2007, 18, 306–308. [Google Scholar] [CrossRef]
- Choi, Y.H.; Yoo, D.S.; Choi, C.W.; Cha, M.R.; Kim, Y.S.; Lee, H.S.; Lee, K.R.; Ryu, S.Y. Platyconic acid A, a genuine triterpenoid saponin from the roots of Platycodon grandiflorum. Molecules 2008, 13, 2871–2879. [Google Scholar]
- Li, W.; Zhang, W.; Xiang, L.; Wang, Z.; Zheng, Y.N.; Wang, Y.P.; Zhang, J.; Chen, L. Platycoside N: A new oleanane-type triterpenoid saponin from the roots of Platycodon grandiflorum. Molecules 2010, 15, 8702–8708. [Google Scholar] [CrossRef]
- Choi, Y.H.; Yoo, D.S.; Cha, M.R.; Choi, C.W.; Kim, Y.S.; Choi, S.U.; Lee, K.R.; Ryu, S.Y. Antiproliferative effects of saponins from the roots of Platycodon grandiflorum on cultured human tumor cells. J. Nat. Prod. 2010, 73, 1863–1867. [Google Scholar] [CrossRef]
- Ishii, H.; Tori, K.; Tozyo, T.; Yoshimura, Y. Saponins from Roots of Platycodon grandiflorurn. Part 2. Isolation and Structure of New Triterpene Glycosides. J. Chem. Soc. Perkin Trans. 1 1984, 661–668. [Google Scholar]
- Sample Availability: Samples of the compounds 1-5 are available from the authors.
© 2011 by the authors; licensee MDPI, Basel, Switzerland. This article is an open access article distributed under the terms and conditions of the Creative Commons Attribution license ( http://creativecommons.org/licenses/by/3.0/).
Share and Cite
Fu, W.-W.; Fu, J.-N.; Zhang, W.-M.; Sun, L.-X.; Pei, Y.-H.; Liu, P. Platycoside O, a New Triterpenoid Saponin from the Roots of Platycodon grandiflorum . Molecules 2011, 16, 4371-4378. https://doi.org/10.3390/molecules16064371
Fu W-W, Fu J-N, Zhang W-M, Sun L-X, Pei Y-H, Liu P. Platycoside O, a New Triterpenoid Saponin from the Roots of Platycodon grandiflorum . Molecules. 2011; 16(6):4371-4378. https://doi.org/10.3390/molecules16064371
Chicago/Turabian StyleFu, Wen-Wei, Jin-Nan Fu, Wen-Meng Zhang, Li-Xin Sun, Yue-Hu Pei, and Ping Liu. 2011. "Platycoside O, a New Triterpenoid Saponin from the Roots of Platycodon grandiflorum " Molecules 16, no. 6: 4371-4378. https://doi.org/10.3390/molecules16064371
APA StyleFu, W.-W., Fu, J.-N., Zhang, W.-M., Sun, L.-X., Pei, Y.-H., & Liu, P. (2011). Platycoside O, a New Triterpenoid Saponin from the Roots of Platycodon grandiflorum . Molecules, 16(6), 4371-4378. https://doi.org/10.3390/molecules16064371
