Next Article in Journal / Special Issue
Cytotoxic Metabolites from the Soil-Derived Fungus Exophiala Pisciphila
Previous Article in Journal
The Effect of Tannins on Mediterranean Ruminant Ingestive Behavior: The Role of the Oral Cavity
Previous Article in Special Issue
Lignans and Other Constituents from Aerial Parts of Haplophyllum Villosum
 
 
Font Type:
Arial Georgia Verdana
Font Size:
Aa Aa Aa
Line Spacing:
Column Width:
Background:
Article

Antifeedant Triterpenoids from the Seeds and Bark of Lansium domesticum cv Kokossan (Meliaceae)

1
Department of Chemistry, Faculty of Mathematics and Natural Sciences, Padjadjaran University, Jatinangor 45363, Indonesia
2
Department of Chemistry, Faculty of Science, University of Malaya, Kuala Lumpur 50603, Malaysia
*
Author to whom correspondence should be addressed.
Molecules 2011, 16(4), 2785-2795; https://doi.org/10.3390/molecules16042785
Submission received: 31 December 2010 / Revised: 28 February 2011 / Accepted: 2 March 2011 / Published: 29 March 2011
(This article belongs to the Collection Bioactive Compounds)

Abstract

:
Two tetranortriterpenoids, kokosanolide A (1) and C (2) were isolated from the seeds and three onoceranoid-type triterpenoids: kokosanolide B (3), 8,14-secogammacera-7,14-diene-3,21-dione (4) and a 1.5:0.5 mixture of 8,14-secogammacera-7,14(27)-diene-3,21-dione (5) and compound 4 were isolated from the bark of kokossan (Lansium domesticum). Complete 1H- and 13C-NMR data of the triterpenoids 1-5 are reported. The triterpenoids’ structures were elucidated primarily by means of high field 1D- and 2D-NMR, IR and HRMS spectral data. Triterpenoids 1-5 exhibited moderate to strong antifeedant activity against the fourth instar larvae of Epilachna vigintioctopunctata.

1. Introduction

Lansium domesticum cv Kokossan (family Meliaceae) is a higher tree, commonly called “kokosan’’ in Indonesia and widely distributed in Southeast Asian countries [1]. This plant has been reported to produce fruits and contain a bitter seed substance with antifeedant activity [2]. Previous phytochemical studies on L. domesticum reported the presence of tetranortriterpenoids [3,4,5], triterpenoid glycosides [6], onoceranoid-type triterpenoids [1] and onocerandiendione-type triterpenoids [5].
During the course of our continuing search for novel antifeedant compounds from tropical Meliaceae plants, the methanol extract of L. domesticum showed strong antifeedant activity against the fourth instar larvae of Epilachna vigintioctopunctata. Herein, we report the 1H and 13C NMR data and structural elucidation for these compounds 15 isolated from seed and bark extracts of the plant. The structures of compounds 1, 3 and 5 were established previously by X-ray diffraction [7,8,9].
Figure 1. Structure of compounds 1–5.
Figure 1. Structure of compounds 1–5.
Molecules 16 02785 g001

2. Results and Discussion

Liquid-liquid partitioning of the MeOH extract of the seed of L. domesticum cv Kokossan into n-hexane, EtOAc and aqueous MeOH fractions gave the n-hexane fraction (4 g) as the most active one, with 100% antifeedant activity at 1% concentration. Purification of the n-hexane fraction using silica gel 60 open column chromatography led to the isolation of compounds 1 and 2. In addition, the MeOH extract of the bark of L. domesticum was partitioned between n-hexane and ethyl acetate to give the ethyl acetate fraction. A crude ethyl acetate fraction was subjected to vacuum column chromatography on silica gel 60 and further purified by silica gel column chromatography to yield compounds 35.
Kokosanolide A (1) was obtained as a white needle-like crystals, m.p. 178–180 °C, from n-hexane-EtOAc. Its molecular formula was established to be C27H32O9 by LC-ESI-MS data (m/z 500.8093, [M+H]+), which combined with the 1H- and 13C-NMR spectral data (Table 1), thus indicated 12 degrees of unsaturation. The UV spectrum showed an absorption maximum at 282 nm (ε 4,600), indicating the presence of an α-β-unsaturated ketone. The IR spectrum showed bands which were ascribable to hydroxyl (νmax 3,427 cm−1), a ketone (νmax 1,753 cm−1), unsaturated ketone (νmax 1,709 cm1), isolated double bond (νmax 1,631 cm−1) and gem-dimethyl (νmax 1,449 and 1,389 cm−1) functionalities. The 1H-NMR spectrum showed the presence of three singlets (δ 0.98, 1.07 and 1.37) from tertiary methyl groups and one doublet at δ 1.13 (J = 8 Hz) from a secondary methyl group which in turn was correlated to H-10 (δ 3.33, 1H, q, J = 8 Hz). A singlet appeared in the downfield region (δ 3.67) that was ascribed to the C-27 methoxy protons. A detailed analysis of 1H-NMR spectrum showed characteristic signals of a tetranortriterpenoid skeleton with a β-substituted furan at δ 7.46, 7.40 and 6.43 and the presence of an olefinic signal of an α,β-unsaturated ketone at δ 6.28 (1H, s) [3,4]. The 13C-NMR, together with APT spectra, revealed 27 carbon signals, including characteristic signals due to a furan ring [δ 143.5 (d), 141.9 (d), 120.5 (s) and 110.8 (d)], a ketone (δ 208.5), two ester groups (δ 172.4 and 165.4), one oxygenated carbon (δ 108.4) and α,β-unsaturated ketone (δ 168.6 and 116.7), thus suggesting that 1 possesed a hexacyclic structure with a furan moiety. The 1H-1H COSY spectrum of 1 showed proton correlations of H5/H6, H9/H8/H22, H9/H11/H12, H5/H10/H19, and H24/H25, supporting the presence of tetranortriterpenoid structure with a furan ring [3,4,5]. The connectivity of these partial structures were established from the HMBC spectral data (Figure 2).
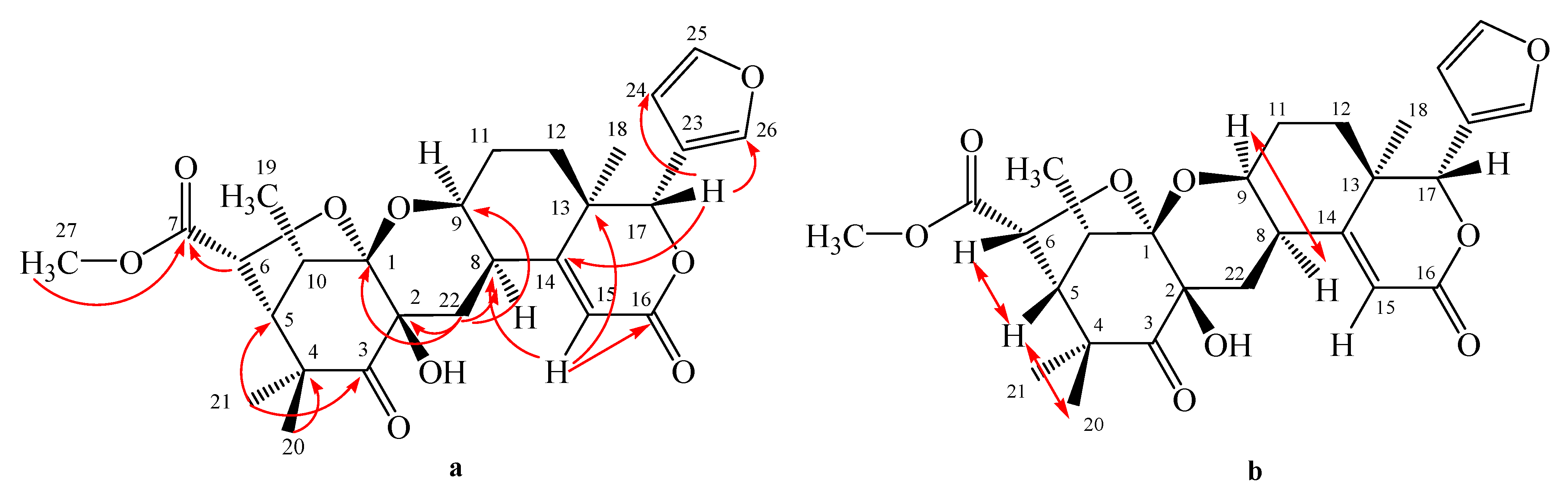
Figure 2. Selected HMBC (H→C) (a) and NOESY (↔) (b) correlations of kokosanolide A.
Figure 2. Selected HMBC (H→C) (a) and NOESY (↔) (b) correlations of kokosanolide A.
Molecules 16 02785 g002
The oxygenated H-17 (δ 5.17) revealed correlations to C-23 (δ 120.5), C-24 (δ 110.8) and C-26 (δ 141.9), indicating that the furan ring was located at C-17. The signals correlating H-15 (δ 6.28) with C-8 (δ 34.6), C-13(δ 39.6), and C-16 (δ 165.4), suggested the presence of an α,β-unsaturated δ-lactone ring system. The positioning of the pyran ring was established by the correlation signals of H-22 (δH 2.46 and 2.77) with C-1 (δ 108.4), C-2 (δ 76.1), C-9 (δ 69.5), C-8 (δ 34.6) and C-14 (δ 168.6).
Table 1. NMR spectral data for compounds 1 and 2. a
Table 1. NMR spectral data for compounds 1 and 2. a
12
Position13C NMR 1H NMR HMBC13C NMR 1H NMR
δC (mult., ppm)δH (integral, mult., J Hz)(1H to 13C)δC (mult., ppm)δH (integral, mult., J Hz)
1108.4 (s)-- 106.9 (s)-
2 76.1 (s)-- 76.1 (s)-
3208.6 (s)-- 20.9 (t) 1.71 (1H, d, 6.2)
2.18 (1H, m)
4 48.4 (s)-- 47.8 (s)-
5 56.4 (d) 2.27 (1H, dd, 4, 7)1, 3, 4, 10 55.9 (d) 2.12 (1H, dd, 3.7, 6)
6 77.4 (d) 4.81 (1H, d, 4)4, 5, 7 76.7 (d) 4.82 (1H, d, 4)
7172.4 (s)-- 171.9 (s)-
8 34.6 (d) 2,64 (1H, dd, 5.3, 6.5)14 34.4 (d) 2.31 (1H, m)
969.5 (d) 4.39 (1H, m)14 67.8 (d) 4.13 (1H, m)
1037.3 (d) 3.33 (1H, q, 8)2, 4, 5, 19 36.5 (d) 3.29 (1H, m)
1125.3 (t) 1.79 (1H, m)8, 12, 13 26.8 (t) 1.76 (1H, m)
1.91 (1H, m)- 1.90 (1H, m)
1227.8 (t) 1.26 (1H, m)9, 11, 13, 17 29.4 (t) 1.23 (1H, m)
1.74 (1H, m)- 1.72 (1H, m)
13 39.6 (s)-- 38.4 (s)-
14168.6 (s)-- 167.4 (s)-
15116.7 (d) 6.28 (1H, s)8, 13, 16 117.4 (d) 6.43 (1H, s)
16165.4 (s)-- 165.4 (s)-
17 81.5 (d) 5.17 (1H, s)14, 23, 24, 26 81.7 (d) 5.14 (1H, s)
18 18.2 (q) 1.07 (3H, s)12, 13, 14, 17 19.6 (q) 1.26 (3H, s)
19 12.2 (q) 1.13 (3H, d, 8)1, 5, 10 11.7 (q) 1.17 (3H, d, 7.8)
20 23.7 (q) 0.98 (3H, s)3, 4, 5, 21 23.3 (q) 0.98 (3H, s)
21 30.1 (q) 1.37 (3H, s)3, 4, 5, 20 30.9 (q) 1.37 (3H, s)
22 25.4 (t) 2.46 (1H, dd, 7.5, 5.3)1, 2, 3, 8, 9, 14 25.7 (t) 2.41 (1H, m)
2.77 (1H, dd, 7.5, 4.7)-- 2.70 (1H, m)
23120.5 (s)-- 119.7 (s)-
24110.8 (d) 6.43 (1H, d, 4.4)23, 25, 26 110.2 (d) 6.45 (1H, s)
25143.5 (d) 7.40 (1H, d, 4.4)23, 24, 26 142.8 (d) 7.40 (1H, s)
26141.9 (d) 7.47 (1H, s)23, 24, 25 141.4 (d) 7.47 (1H, s)
27-OCH3 52.6 (q) 3.67 (3H, s)- 52.2 (q) 3.68 (3H, s)
a Taken in CDCl3 at 500 MHz for 1H and at 125 MHz for 13C.
Other correlations of methyl signal at δ 0.98 and 1.37 to C-3 (δ 208.6), C-4 (48.4) and C-5 (δH 56.4), suggesting that gem-dimethyl was located at C-4. The carbomethoxyl signal (δ 3.67) and the signal of H-6 (δ 4.81) were correlated to an ester carbonyl (δ 172.4), suggesting that an ester group was located at C-6. The relative configuration of 1 was elucidated by NOESY correlations as shown in Figure 2. NOESY correlation of H-8/H-9 suggesting that pyran ring should be β−orientation. Correlations between H-6/H-5/H-20 indicated that methyl group and tetrahydrofuran ring should be α-orientation. Thus, the gross structure of tetranortriterpenoid 1 was elucidated as a hexacyclic ring system. The structure and relative stereochemistry were further elucidated by using single-crystal X-ray diffraction analysis [7]. An ORTEP drawing of 1 is shown in Figure 3. Consequently, the structure of tetranortriterpenoid 1 was established to be a tetranortriterpenoid and was named kokosanolide A.
Figure 3. ORTEP drawing for kokosanolide A reproduced from Mayanti et al. [7].
Figure 3. ORTEP drawing for kokosanolide A reproduced from Mayanti et al. [7].
Molecules 16 02785 g003
Kokosanolide C (2) was obtained as colorless needle-like crystals from n-hexane-EtOAc and decomposed during the measurement of its melting point. The UV spectrum showed an absorption maximum at 275 nm (ε 4,500), indicating the presence of an α-β-unsaturated ketone. The IR spectrum showed bands which were ascribable to hydroxyl (νmax 3,563 cm−1), a ester carbonyl (νmax 1,758 cm−1) and unsaturated ketone (νmax 1,704 cm1). The 1H- and 13C-NMR (Table 1) spectra of 2 were quite similar to those of 1, except for the absence of the ketone signal at δ 208.5 and appearance of a geminal proton signal at [δH 2.18 (1H, m), 1.71 (1H, m); δC 20.9]. In the HMBC spectrum of 2, long range correlations were observed between the signals at δ 1.72 and 2.18 and the carbon signals at δ 76.1 (C-2), 47.8 (C-4) and 55.9 (C-5), suggesting that compound 2 was a 3-deoxo derivative of compound 1 and it was thus named kokosanolide C.
Kokosanolide B (3) was obtained as cubic crystals, m.p. 148–150 °C, from n-hexane-EtOAc. The molecular formula of 3 was determined to be C30H48O3 by LC- ESI-MS data (m/z 456.6892, [M+H]+), and combined with the 1H- and 13C-NMR spectral data (Table 2), thus required seven degrees of unsaturation. IR absorption bands at 3,749, 1,705, 1,384 and 1,261 cm−1 suggested the presence of hydroxyl, carbonyl, and gem-dimethyl functionalities, respectively. Analysis of 1H- and 13C-NMR data, DEPT and the HMQC spectra of 3 revealed the presence of thirty signals: three sp2 and five sp3 quaternary carbons, one sp2 and four sp3 methines, nine sp3 methylenes, and eight methyl groups. Among them, one sp2 methine (δC 121.7; δH (1H, 5.41, m) was ascribed to the isolated double bond, while two carbonyl carbons (δ 216.9 and 217.1 ppm) and one sp3 carbon (δ 74.0) were assigned to those bearing an oxygen atom (C-3, C-21 and C-14, respectively), suggesting that compound 3 was an onoceranoid-type triterpenoid [5]. The positions of the ketones, hydroxyl and isolated double bond were further determined by the COSY and HMBC experiments (Figure 4), H-7 (δ 5.41) showed correlations to C-6 (δ 28.9), C-9 (δ 55.5) and C-8 (δ 135.3), suggesting that an isolated double bond is located at C-7 and C-8. The methylene signals at C-2 (δ 2.23) revealed correlations to carbonyl signal at δ 216.9, whereas H-5 (δ 1.57) was correlated to C-4 (δ 47.6) and C-3 (δ 216.9), indicating that one of the carbonyl moeity and gem-dimethyl are placed at C-3 and C-4, respectively. Furthermore, the methylene signals at C-20 (δ 2.26) showed correlations to the carbonyl signal at δ 217.1, whereas the methine signal at C-17 (δ 1.42) showed correlations to C-22 (δ 47.6 ) and C-21 (δ 217.1), thus suggesting the other carbonyl group and gem-dimethyls were located at C-21 and C-22, respectively. An oxygenated tertiary carbon signal was revealed to be C-14 by the correlation between methine signal at C-13 (δC 1.12 ) to oxygenated carbon at δC 74.0 ppm and correlation between methylene signals at C-15 (δC 1.46 ) to oxygenated carbon at δC 74.0 ppm. Thus, the structure of onoceranoid-type triterpenoid 3 was determined as 8,14-secogammacera-14-hydroxy-7-ene-3,21-dione and was named kokosanolide B. The structure and relative stereochemistry were also elucidated by using single-crystal X-ray diffraction analysis [8]. An ORTEP drawing of 3 is shown in Figure 5.
Figure 4. Selected HMBC (H→ C) and COSY ( ▬) correlations for kokosanolide B.
Figure 4. Selected HMBC (H→ C) and COSY ( ▬) correlations for kokosanolide B.
Molecules 16 02785 g004
Figure 5. ORTEP drawing for kokosanolide B reproduced from Supratman et al. [8].
Figure 5. ORTEP drawing for kokosanolide B reproduced from Supratman et al. [8].
Molecules 16 02785 g005
Table 2. NMR spectral data for compound 3 and 4. a
Table 2. NMR spectral data for compound 3 and 4. a
34
Position13C NMR 1H NMR HMBC13C NMR 1H NMR
δC (mult., ppm)δH (integral, mult., J Hz)(1H to 13C)δC (mult., ppm)δH (integral, mult., J Hz)
1 38.5 (t)1.91 (1H, m); 2.08 (1H, m)2, 3, 10 38.5 (t)1.46 (1H, m); 2.09 (1H, m)
2 34.8 (t)2.23 (1H, m); 2.41 (1H, m)3 34.8 (t)2.24 (1H, m); 2.70 (1H, m)
3 216.9 (s)-- 216.9 (s)-
4 47.6 (s)-- 47.6 (s)-
5 51.6 (d)1.57 (1H, m)9, 10, 24 51.6 (d)1.59 (1H, dd, 5, 7)
6 28.9 (t)1.12 (1H, m); 2.56 (1H, m)7, 10 30.1 (t)1.33 (1H, dd, 7, 10); 1.24 (1H, dd, 5, 10)
7 121.7 (d)5.41 (1H, m)8 122.1 (d)5.43 (1H, m)
8 135.3 (s)-- 135.3 (s)-
9 55.5 (d)1.59 (1H, m)26 55.6 (d)1.65 (1H, m)
10 36.6 (s)-- 36.7 (s)-
11 21.5 (t)1.61 (1H, m); 2.41 (1H, m)9 24.2 (t)1.93 (1H, m); 2.40 (1H, m)
12 21.5 (t)1.62 (1H, m); 1.76 (1H, m)9 24.2 (t)1.93 (1H, m); 2.40 (1H, m)
13 61.8 (d)1.12 (1H, m)17 55.6 (d)1.65 (1H, m)
14 74.0 (s)-- 135.3 (s)-
15 44.2 (t)1.46 (1H, m); 2.23 (1H, m)14, 17 122.1 (d)5.43 (1H, m)
16 31.4 (t)1.51 (1H, m); 1.84 (1H, m)17 30.1 (t)1.33 (1H, dd, 7, 10); 1.24 (1H, dd, 5, 10)
17 55.2 (d)1.42 (1H, m)18, 22 51.6 (d)1.59 (1H, dd, 5, 7)
18 36.6 (s)-- 36.7 (s)-
19 38.4 (t)1.78 (1H, m); 2.10 (1H, m)21 38.5 (t)1.46 (1H, m); 2.09 (1H, m)
20 34.1 (t)2.26 (1H, m); 2.73 (1H, m)19, 21 34.8 (t)2.24 (1H, m); 2.70 (1H, m)
21 217.1 (s)-- 216.9 (s)-
22 47.6 (s)-- 47.6 (s)-
23 25.1 (q)1.04 (3H, s)5, 24 25.1 (q)1.04 (3H, s)
24 22.3 (q)1.08 (3H, s)23 22.3 (q)1.09 (3H, s)
25 13.4 (q)0.96 (3H, s)5, 9, 10 13.5 (q)0.97 (3H, s)
26 22.3 (q)1.77 (3H, s)9 22.5 (q)1.72 (3H, s)
27 24.2 (q)1.21 (3H, s)13, 14, 15 22.5 (q)1.72 (3H, s)
28 15.1 (q)0.93 (3H, s)13, 17 13.5 (q)0.97 (3H, s)
29 21.4 (q)1.02 (3H, s)17, 22, 30 25.1 (q)1.04 (3H, s)
30 26.5 (q)1.09 (3H, s)17, 29 22.3 (q)1.09 (3H, s)
a Taken in CDCl3 at 500 MHz for 1H and at 125 MHz for 13C.
8,14-Secogammacera-7,14-diene-3,2-dione (4) was obtained as a white needle-like crystals, m.p. 143–144 °C, from n-hexane-EtOAc. The molecular formula of 4 was determined to be C30H46O2 by LC-ESI-MS data (m/z 438.3745, [M+H]+), which together with 1H- and 13C-NMR spectral data (Table 2), requires eight degrees of unsaturation. Compound 4 showed no absorption maxima in the UV spectrum indicating the absence of a conjugated double bond. The IR spectrum showed bands which were ascribed to a ketone (νmax 1,708 cm−1), isolated double bond (νmax 1,662 cm−1) and gem-dimethyl (νmax 1,430 and 1,360 cm−1). The 13C-NMR spectrum of 4 showed 15 signals, similar to those of kokosanolide B, suggesting that 4 has a symmetrical structure. The essential differences between the NMR spectra of 4 and kokosanolide B consisted of the absence of a hydroxyl group and appearance of a double bond [δ 5.43 (1H, m), δH 122.1 and 135.3] and fifteen carbon signals, suggesting that 4 was a dehydroxy derivative of kokosanolide B. In order to determine the connectivity of the partial structure due to a newly double bond, HMBC experiments were carried out. The signal of olefinic proton H-15 (δ 5.43) was correlated to C-14 (δ 135.3), C-13 (δ 55.6) and C-16 (δ 30.1), indicating that a new double bond was located at C-14 and C-15, suggesting that 4 has two similar unit structure. Consequently, compound 4 was identified as a 8,14-secogammacera-7,14-diene-3,21-dione [5].
Compound (5) was identified as 8,14-secogammacera-7,14(27)-diene-3,21-dione. It was isolated together with compound 4 with a ratio of 1.5:0.5. The 1H and 13C-NMR spectra of 5 were similar to those of 4, except for the appearance of methylene protons and an sp2 carbon at C-27 [δH 5.12 (1H, J = 10.5 Hz), 5.45 (1H, J = 10.5 Hz), δC 122.1], indicating that 5 is an isomer of 4. The structure was elucidated by using a single-crystal X-ray diffraction analysis [9] and the ORTEP drawing for 5 is shown in Figure 6 below.
Compounds 15 were evaluated for antifeedant activity against the fourth instar larvae of Epilachna vigintioctopunctata at a concentration of 1%. The antifeedant activities of compounds 15 are shown in Table 3. Among those compounds, kokosanolide C (2), lacking the ketone group, showed less antifeedant potency, whereas 8,14-secogammacera-14-hydroxy-7-ene-3,21-dione (3) having the hydroxyl group showed the strongest activity, thus, suggested that an oxygenated fuctional group was an important structural component for antifeedant activity.
Figure 6. ORTEP drawing for 5 reproduced from Tjokronegero et al. [9].
Figure 6. ORTEP drawing for 5 reproduced from Tjokronegero et al. [9].
Molecules 16 02785 g006
Table 3. Antifeedant activity of compounds 15.
Table 3. Antifeedant activity of compounds 15.
CompoundActivity (%)
Kokosanolide A (1)78
Kokosanolide C (2)0
Kokosanolide B (3)99
8,14-Secogammacera-7,14-diene-3,21-dione (4)85
8,14-Secogammacera-7,14(27)-diene-3,21-dione(5) 56

3. Experimental

3.1. General

Melting points were measured on an Electrothermal melting point apparatus and are uncorrected. Optical rotations were recorded on a Perkin-Elmer 341 polarimeter. The UV spectra were obtained on a UV Ultraspec 3000 Pro spectrophotometer. The IR spectra were recorded on a Perkin-Elmer 1760X FT-IR in KBr. The mass spectra were recorded with a Mariner Biospectrometry-Finnigan instrument. 1H- and 13C-NMR spectra were obtained with a JEOL JNM A-500 spectrometer using TMS as internal standard. All ORTEP diagrams were obtained from previous reports. Chromatographic separations were carried out on silica gel 60 (Merck). TLC plates were precoated with silica GF254 (Merck, 0.25 mm) and detection was achieved by spraying with 10% H2SO4 in ethanol, followed by heating.

3.2. Plant material

The bark and seed of L. domesticum cv Kokossan were collected in Cililin District, Bandung, West Java Province, Indonesia in March 2006. The plant was identified by the staff of the Laboratory of Plant Taxonomy, Department of Biology, Padjadjaran University, Indonesia. A voucher specimen (No. 10184) was deposited at the herbarium of the Padjadjaran University.

3.3. Antifeedant bioassay

Compounds 15 at a concentration of 1% were subjected to select antifeedant assays on Solanum nigrum leaves against 4th instars larvae of Epilachna vigintioctopunctata. Antifeedant activity (%AF) was determined by using the equation %AF = (1 – treatment consumption/control consumption) × 100 [11]. The antifeedant activities of 15 at 1% concentration are presented in Table 3.

3.4. Extraction and isolation

Dried seeds of L. domesticum cv kokossan (2 kg) were extracted exhaustively with methanol 12 L at room temperature for 3 days. The resulting methanol extract (84 g) was partitioned between n-hexane (2.5 L) and 10% aqueous methanol (2.5 L) to give an n-hexane soluble fraction (4 g) after removal of the solvent. The n-hexane extract was subjected to column chromatography on silica gel 60 using a n-hexane and dichloromethane (8:2). The fraction eluted with n-hexane-dichloromethane (6:4) was further separated by column chromatography on silica gel (n-hexane-ethyl acetate 7:3) to give 1 (150 mg) and 2 (26 mg).
The dried bark of L. domesticum cv kokossan (3 kg) was extracted exhaustively with methanol 15 L at room temperature for 3 days. The methanol extract (250 g) was partitioned with n-hexane (3 L) and ethyl acetate (3 L) to give an n-hexane soluble fraction (70 g) and an ethyl acetate soluble fraction (40 g). The ethyl acetate fraction was subjected to vacuum column chromatography on silica gel 60 by using a step gradient of n-hexane/ethyl acetate. The fraction eluted with n-hexane:ethyl acetate (80:20) was further separated by column chromatography on silica gel using n-hexane:ethyl acetate (95:5) to yield an active fraction (1.5 g). The active fraction was further chromatographed on silica gel using n-hexane/acetone (90:10) to give 3 (10 mg), 4 (50 mg) and 5 (24 mg).
Kokosanolide A (1). White needle-like crystals; [α]20D + 85° (c 0.5, CHCl3); UV (λmax in EtOH) 282 nm (ε 4,600); IR (KBr) νmax 3,427, 1,753, 1,709, 1,631, 1,449 and 1,389 cm−1. 1H-NMR (CDCl3, 500 MHz), see Table 1; 13C-NMR (CDCl3, 125 MHz), see Table 1; LC-ESI-MS data (m/z 500.8093, [M+H]+).
Kokosanolide C (2). Colorless needle-like crystals; [α]20D + 96° (c 0.5, CHCl3); UV (λmax in EtOH) 275 nm (ε 4,500); IR (KBr) νmax 3,563 cm−1, 1,758 cm−1, 17,04 cm−1. 1H-NMR (CDCl3, 500 MHz), see Table 1; 13C-NMR (CDCl3, 125 MHz), see Table 1.
Kokosanolide B (3). cubic crystals; [α]20D – 18.5° (c 01.0, MeOH); IR (KBr) νmax 3,749, 1,705, 1,384 and 1,261 cm−1. 1H-NMR (CDCl3, 500 MHz), see Table 2; 13C-NMR (CDCl3, 125 MHz), see Table 2. LC-ESI-MS data (m/z 456.6892, [M+H]+).
8,14-Secogammacera-7,14-diene-3,21-dione (4). Needle-like crystals; [α]20D − 8° (c 0.5, MeOH); IR (KBr) νmax 1,708, 1,662, 1,430, 1,360 cm−1. 1H-NMR (CDCl3, 500 MHz), see Table 2; 13C-NMR (CDCl3, 125 MHz), see Table 2. LC-ESI-MS data (m/z 438.3745, [M+H]+).
8,14-Secogammacera-7,14(27)-diene-3,21-dione (5). Needle-like crystals; IR (KBr) νmax 1,667, 1,454 and 1,384 cm−1. 1H-NMR (CDCl3, 500 MHz), δH (ppm), 0.95 (3H, s), 0.97 (3H, s), 1.04 (3H, s), 1.08 (3H, s), 1.09 (3H, s), 1.10 (3H, s), 1.20 (1H, m), 1.22 (3H, s), 1.24 (1H, dd, J = 5, 10 Hz), 1.33 (1H, dd, J = 7, 10 Hz), 1.40 (1H, m), 1.46 (1H, m), 1.50 (1H, m), 1.59 (1H, dd, J = 5, 7 Hz), 1.63 (1H, m), 1.65 (1H, m), 1.72 (3H, s), 1.79 (1H, m), 1.83 (1H, m), 1.93 (1H, m), 2.04 (1H, m), 2.09 (1H, m), 2.15 (1H, m), 2.24 (1H, m), 2.35 (1H, m), 2.40 (1H, m), 2.45 (1H, m), 2.70 (1H, m), 5.12 (1H, J = 10.5 Hz), 5.43 (1H, m), 5.45 (1H, J = 10.5 Hz); 13C-NMR (CDCl3, 125 MHz), δC (ppm); 13.5, 22.3, 22.5, 24.2, 25.1, 30.1, 34.8, 34.9, 36.7, 38.5, 47.6. 51.2, 51.6, 55.6, 122.1, 135.3, 216.9, 217.0.

4. Conclusions

The methanolic extract from the dried seed and bark of Lansium domesticum cv kokossan yield two tetranortriterpenoids – kokosanolide A and C – and one onoceranoid-type triterpenoid, kokosanolide B, along with two onoceranoid-type triterpenoids; 8,14-secogammacera-7,14-diene-3,21-dione and a mixture of 8,14-secogammacera-7,14(27)-diene-3,21-dione and 8,14-secogammacera-7,14-diene-3,21-dione (1.5:0.5). The results of this study provide a basis for futher phytochemical studies on the Lansium plants. This study also suggests that the Lansium plants contain potent antifeedant compounds for further application.

Acknowledgments

We are grateful to the Directorate General of Higher Education, Ministry of National Education, Indonesia and I-MHERE project of Padjadjaran University for financial support. We thank Mr. Ahmad Darmawan and Mrs. Sofa Fajriah in the Research Center for Chemistry, Indonesian Science Institute, for NMR and LC-ESI-MS measurements. We are grateful to Ng Seik Weng at Department of Chemistry, Faculty of Science, University of Malaya, Kuala Lumpur, Malaysia for X-ray measurement.

References

  1. Omar, S.; Marcotte, M.; Fields, P.; Sanchez, P.E.; Poveda, L.; Matta, R.; Jimenez, A.; Durst, T.; Zhang, J.; Kinnon, M.; Leaman, D.; Arnason, J.T.; Philogene, J.R. Antifeedant activities of triterpenoids isolated from tropical Rutales. J. Stored Prod. Res. 2007, 43, 92–96. [Google Scholar] [CrossRef]
  2. Champagne, D.E.; Koul, O.; Isman, M.B.; Scudder, G.G.E.; Towers, G.H.N. Biological Activity of Limonoids from the Rutales. Phytochemistry 1992, 31, 377–394. [Google Scholar]
  3. Saewan, N.; Sutherland, J.D.; Chantrapromma, K. Antimalarial tetranorterpenoids from the seeds of Lansium domesticum Corr. Phytochemistry 2006, 67, 2288–2293. [Google Scholar] [CrossRef]
  4. Nishizawa, M.; Nademoto, Y.; Sastrapradja, S.; Shiro, M.; Hayashi, Y. New tetranortriterpenoid from the seeds of Lansium domesticum. Phytochemistry 1988, 27, 237–239. [Google Scholar]
  5. Nishizawa, M.; Nademoto, Y.; Sastrapradja, S.; Shiro, M.; Hayashi, Y. Structure of Dukonolides, Bitter Principles of Lansium domesticum. J. Org. Chem. 1985, 50, 5487–5490. [Google Scholar] [CrossRef]
  6. Nishizawa, M.; Nishide, H.; Hayashi, Y. the structure of lansioside A: A novel triterpenes glycoside with amino-sugar from Lansium domesticum. Tetrahedron Lett. 1982, 23, 1349–1350. [Google Scholar] [CrossRef]
  7. Mayanti, T.; Supratman, U.; Mukhtar, M.R.; Awang, K.; Ng, S.W. Kokosanolide from the seed of Lansium domesticum Corr. Acta Cryst. 2009, E65, o750. [Google Scholar]
  8. Supratman, U.; Mayanti, T.; Awang, K.; Mukhtar, M.R.; Ng, S.W. 14-Hydroxy-8,14-secogammacera-7-ene-3,21-dione from the bark of Lansium domesticum Corr. Acta Cryst. 2010, E66, o1621. [Google Scholar]
  9. Tjokronegoro, R.; Mayanti, T.; Supratman, U.; Mukhtar, M.R.; Ng, S.W. 8,14-Secogammacera-7,14(27)-diene-3,21-dione-8,14-secogammacera-7,14-diene-3,21-dione (1.5/0.5) from the bark of Lansium domesticum Corr. Acta Cryst. 2009, E65, o1448. [Google Scholar]
  10. Tanaka, T.; Ishibashi, M.; Fujimoto, H.; Okuyama, E.; Koyana, T.; Kowithayakorn, T.; Hayashi, M.; Komiyama, K. New onoceranoid triterpene constituents from Lansium domesticum. J. Nat. Prod. 2002, 65, 1709–1711. [Google Scholar] [CrossRef]
  11. Schwinger, M.; Ehhammer, B.; Kraus, W. Methodology of theEpilachna VarivestisBioassay of Antifeedants Demonstarted with Some Compounds fromAzadirachta indica and Melia azedarach. In Proceedings of 3rd International Neem Conference, Nairobi, Kenya, 10 July 1986.
  • Sample Availability: Samples of the compounds 1–5 are available from the authors.

Share and Cite

MDPI and ACS Style

Mayanti, T.; Tjokronegoro, R.; Supratman, U.; Mukhtar, M.R.; Awang, K.; Hadi, A.H.A. Antifeedant Triterpenoids from the Seeds and Bark of Lansium domesticum cv Kokossan (Meliaceae). Molecules 2011, 16, 2785-2795. https://doi.org/10.3390/molecules16042785

AMA Style

Mayanti T, Tjokronegoro R, Supratman U, Mukhtar MR, Awang K, Hadi AHA. Antifeedant Triterpenoids from the Seeds and Bark of Lansium domesticum cv Kokossan (Meliaceae). Molecules. 2011; 16(4):2785-2795. https://doi.org/10.3390/molecules16042785

Chicago/Turabian Style

Mayanti, Tri, Roekmiati Tjokronegoro, Unang Supratman, Mat Ropi Mukhtar, Khalijah Awang, and A. Hamid A. Hadi. 2011. "Antifeedant Triterpenoids from the Seeds and Bark of Lansium domesticum cv Kokossan (Meliaceae)" Molecules 16, no. 4: 2785-2795. https://doi.org/10.3390/molecules16042785

APA Style

Mayanti, T., Tjokronegoro, R., Supratman, U., Mukhtar, M. R., Awang, K., & Hadi, A. H. A. (2011). Antifeedant Triterpenoids from the Seeds and Bark of Lansium domesticum cv Kokossan (Meliaceae). Molecules, 16(4), 2785-2795. https://doi.org/10.3390/molecules16042785

Article Metrics

Back to TopTop