Enhancement in the Catalytic Activity of Pd/USY in the Heck Reaction Induced by H2 Bubbling
Abstract
:1. Introduction
2. Results and Discussion
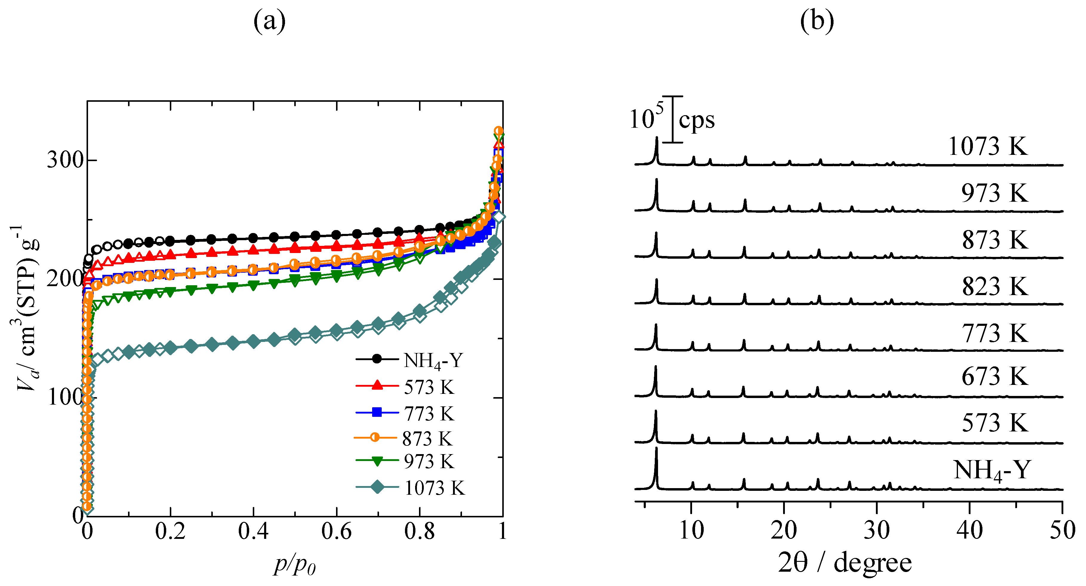
2.1. Structural Characterizations of USY Zeolites Prepared Under Different Conditions

2.2. Acid Properties of USY Zeolites Prepared under Different Conditions

| Sample | OHsuper | OHstrong | OHsodalite | OHhexagonal |
|---|---|---|---|---|
| / mol kg−1 | / mol kg−1 | / mol kg−1 | / mol kg−1 | |
| H-Y | 1.20 | - | 0.38 | 0.31 |
| USY (773 K) | 0.23 | 0.17 | 0.08 | 0.11 |
| USY (873 K) | 0.10 | 0.18 | 0.05 | 0.04 |
| USY (973 K) | 0.10 | 0.13 | 0.04 | 0.02 |
| Sample | OHsuper | OHstrong | OHsodalite | OHhexagonal |
|---|---|---|---|---|
| / kJ mol−1 | / kJ mol−1 | / kJ mol−1 | / kJ mol−1 | |
| H-Y | 112 | - | 117 | 107 |
| USY (773 K) | 139 | 159 | 152 | 151 |
| USY (873 K) | 141 | 158 | 144 | 143 |
| USY (973 K) | 141 | 153 | 142 | 142 |
2.3. Pd K-edge EXAFS of Pd/USY Reduced with Bubbling H2 in DMAc

2.4. Effect of H2 Bubbling on the Catalytic Reactions of Pd/USY

2.5. Effect of the Thermal Treatment Temperature of the USY Support

2.6. Effect of Supports, H2 Bubbling and Solvents
![]() | ||||||
|---|---|---|---|---|---|---|
| Entry | Condition | Conv.b / % | Yield of 1 / % | Yield of 2 / % | Material balance | TON |
| 1 | DMAc | 98 | 96 | 1.4 | 99 | 630,000 |
| 2 | NMP | 80 | 62 | 0.9 | 82 | 390,000 |
| 3 | DMF | 18 | 16 | 0.2 | 99 | 100,000 |
| 4 | o-xylene | 0 | 0 | 0 | 100 | 0 |
![]() | |||||||
|---|---|---|---|---|---|---|---|
| Entry | Catalyst | Condition | Conv.b/ %b | Yield of 1 / % | Yield of 2 / % | Material balance | TON |
| 1 | Pd/USY | N2 atmosphere | 47 | 37 | 0.5 | 90 | 300,000 |
| 2 | Pd/USY | 6%-H2 atmosphere | 96 | 84 | 1.1 | 89 | 600,000 |
| 3 | Pd/USY | 6%-H2 bubbling | 98 | 96 | 1.4 | 99 | 630,000 |
| 4 | Pd/USY | 6%-H2 bubb., N2c | 70 | 60 | 0.8 | 92 | 440,000 |
| 5 | Pd/H-Y | N2 atmosphere | 9 | 6 | 0.1 | 98 | 55,000 |
| 6 | Pd/H-Y | 6%-H2 bubbling | 11 | 10 | 0.2 | 99 | 70,000 |
| 7 | Pd/Al2O3 | N2 atmosphere | 52 | 46 | 0.6 | 95 | 330,000 |
| 8 | Pd/Al2O3 | 6%-H2 bubbling | 71 | 61 | 0.8 | 90 | 460,000 |
| 9 | Pd/AC | N2 atmosphere | 17 | 13 | 0.1 | 96 | 110,000 |
| 10 | Pd/AC | 6%-H2 bubbling | 54 | 44 | 0.6 | 90 | 430,000 |
| 11 | Pd(OAc)2 | N2 atmosphere | 27 | 20 | 0.2 | 93 | 170,000 |
| 12 | Pd(OAc)2 | 6%-H2 bubbling | 67 | 58 | 0.7 | 92 | 420,000 |
2.7. Heck Reactions Using Various Kinds of Substrates
![]() | ||||||||
|---|---|---|---|---|---|---|---|---|
| Entry | Ar-Br | Pd / mol% | Time / h | Conv. / % | Yield of 3 / % | Yield of 4 / % | Material balance | TON |
| 1 | Bromobenzene | 1.6×10−4 | 20 | 98 | 96 | 1.4 | 99 | 630,000 |
| 2 | 4-Bromoacetophenone | 2.3×10−4 | 24 | 96 | 91 | 0.8 | 96 | 410,000 |
| 3 | 3-Bromoacetophenone | 2.3×10−4 | 24 | 98 | 85 | 0.8 | 88 | 420,000 |
| 4 | 4-Bromobenzaldehyde | 3.7×10−4 | 27 | 91 | 88 | 0.8 | 98 | 240,000 |
| 5 | 4-Bromotoluene | 1.9×10−4 | 24 | 99 | 97 | 1.5 | 100 | 520,000 |
| 6 | 3-Bromotoluene | 2.3×10−4 | 20 | 42 | 34 | 0.6 | 92 | 190,000 |
| 7 | 2-Bromotoluene | 4.6×10−4 | 20 | 99 | 79 | 0.8 | 81 | 220,000 |
| 8 | 4-bromobenzonitrile | 4.7×10−4 | 20 | 80 | 76 | 1.8 | 97 | 170,000 |
| 9 | 4-bromoanisole | 4.7×10−4 | 20 | 57 | 56 | 0.6 | 99 | 140,000 |
| 10 | 4-Bromonitrobenzene | 4.7×10−4 | 20 | 55 | 53 | 0.6 | 99 | 120,000 |
| 11 | 1-Bromonaphthalene | 1.6×10−4 | 20 | 93 | 88 | 1.1 | 97 | 590,000 |
| 12 | 2-Bromonaphthalene | 1.6×10−4 | 20 | 87 | 84 | 1.2 | 99 | 550,000 |
| 13 | 3-Bromothiophene | 1.6×10−2 | 2 | 80 | 73 | 1.3 | 95 | 5,900 |
| 14 | 2-Bromothiophene | 1.6×10−2 | 2 | 53 | 26 | 0.4 | 73 | 2,100 |
| 15 | 3-Bromopyridine | 2.5×10−2 | 20 | 75 | 61 | 0.8 | 86 | 2,400 |
| 16 | 1-Bromoquinoline | 6.2×10−2 | 1.5 | 99 | 87 | 1.4 | 88 | 1,400 |
![]() | ||||||||
|---|---|---|---|---|---|---|---|---|
| Entry | Ar-Br | Pd /mol% | Time / h | Conv./% | Yield of 5 / % | Yield of 6 / % | Material balance | TON |
| 1b | 4-Bromoacetophenone | 1.9×10−4 | 24 | 76 | 66 | 0.1 | 94 | 410,000 |
| 2b | 4-Bromobenzaldehyde | 1.6×10−4 | 24 | 91 | 87 | 0.1 | 98 | 570,000 |
| 3b | 4-Bromonitrobenzene | 1.6×10−4 | 30 | 88 | 82 | 0.1 | 95 | 530,000 |
| 4b | 4-Bromobenzonitrile | 1.6×10−4 | 24 | 98 | 92 | 0.1 | 95 | 570,000 |
| 5c | 1-Bromonaphthalene | 6.2×10−3 | 3.5 | 93 | 87 | 0.2 | 82 | 15,000 |
2.8. Reactions Using 4-Chloroacetophenone
![]() | |||||||
|---|---|---|---|---|---|---|---|
| Entry | Ar-Cl | Condition | Conv. of Ar-Cl /%c | Yield of 7 / % | Yield of 8 / % | Material balance d | TON |
| 1b | 4-chloroacetophenone | N2 atmosphere | 44 | 33 | 0.3 | 90 | 17,000 |
| 2b | 4-chloroacetophenone | 6%-H2 bubbling | 98 | 97 | 0.7 | 100 | 49,000 |
| 3 | 4-chloroacetophenone | 6%-H2 bubbling | 0.5 | 0.5 | 0 | 100 | 680 |
| 4b | 4-chlorobenzonitrile | 6%-H2 bubbling | 65 | 48 | 0.4 | 83 | 35,000 |
| 5b | 4-chloronitrobenzene | 6%-H2 bubbling | - | 10 | 0.1 | - | 2,600 |
| 6b | chlorobenzene | 6%-H2 bubbling | - | 2.1 | 0 | - | 580 |
| 7b | 4-chloroanisole | 6%-H2 bubbling | - | 0.4 | 0 | - | 100 |
3. Conclusions
4. Experimental
4.1. Preparation of USY Zeolites
4.2. Loading of Pd on USY Zeolites
4.3. Catalytic Reactions
4.4. Characterization of the Acid Properties of USY Zeolites
4.5. Pd K-edge EXAFS Measurements
Acknowledgements
References
- Beletskaya, I.P.; Cheprakov, A.V. The heck reaction as a sharpening stone of palladium catalysis. Chem. Rev. 2000, 100, 3009–3066. [Google Scholar] [CrossRef]
- Beletskaya, I.P.; Cheprakov, A.V. Palladacycles in catalysis—A critical survey. J. Organomet. Chem. 2004, 689, 4055–4082. [Google Scholar] [CrossRef]
- Dupont, J.; Consorti, C.S.; Spencer, J. The potential of palladacycles: More than just precatalysts. Chem. Rev. 2005, 105, 2527–2571. [Google Scholar] [CrossRef]
- Peris, E.; Crabtree, R.H. Recent homogeneous catalytic applications of chelate and pincer N-heterocyclic carbenes. Coord. Chem. Rev. 2004, 248, 2239–2246. [Google Scholar] [CrossRef]
- Mehnert, C.P.; Weaver, D.W.; Ying, J.Y. Heterogeneous Heck catalysis with palladium-grafted molecular sieves. J. Am. Chem. Soc. 1998, 120, 12289–12296. [Google Scholar] [CrossRef]
- Heidenreich, R.G.; Kohler, K.; Krauter, J.G.E.; Pietsch, J. Pd/C as a highly active catalyst for Heck, Suzuki and Sonogashira reactions. Synlett 2002, 7, 1118–1122. [Google Scholar]
- Demel, J.; Cejka, J.; Stepnicka, P. The use of palladium nanoparticles supported on MCM-41 mesoporous molecular sieves in Heck reaction: A comparison of basic and neutral supports. J. Mol. Catal. A 2007, 274, 127–132. [Google Scholar] [CrossRef]
- Okumura, K.; Nota, K.; Yoshida, K.; Niwa, M. Catalytic performance and elution of Pd in the Heck reaction over zeolite-supported Pd cluster catalyst. J. Catal. 2005, 231, 245–253. [Google Scholar]
- Dams, M.; Drijkoningen, L.; Pauwels, B.; Van Tendeloo, G.; De Vos, D.E.; Jacobs, P.A. Pd-zeolites as heterogeneous catalysts in Heck chemistry. J. Catal. 2002, 209, 225–236. [Google Scholar]
- Djakovitch, L.; Koehler, K. Heck reaction catalyzed by Pd-modified zeolites. J. Am. Chem. Soc. 2001, 123, 5990–5999. [Google Scholar] [CrossRef]
- Chandrasekhar, S.; Narsihmulu, C.; Sultana, S.S.; Reddy, N.R. Poly(ethylene glycol) (PEG) as a reusable solvent medium for organic synthesis. Application in the Heck reaction. Org. Lett. 2002, 4, 4399–4401. [Google Scholar] [CrossRef]
- Ribiere, P.; Declerck, V.; Nedellec, Y.; Yadav-Bhatnagar, N.; Martinez, J.; Lamaty, F. Synthesis of novel poly(ethylene glycol) supported benzazepines: the crucial role of PEG on the selectivity of an intramolecular Heck reaction. Tetrahedron 2006, 62, 10456–10466. [Google Scholar] [CrossRef]
- Okumura, K.; Matsui, H.; Tomiyama, T.; Sanada, T.; Honma, T.; Hirayama, S.; Niwa, M. Highly dispersed Pd species active in the Suzuki-Miyaura reaction. Chem. Phys. Chem. 2009, 10, 3265–3272. [Google Scholar] [CrossRef]
- Okumura, K.; Matsui, H.; Sanada, T.; Arao, M.; Honma, T.; Hirayama, S.; Niwa, M. Generation of the active Pd cluster catalyst in the Suzuki-Miyaura reactions: Effect of the activation with H2 studied by means of quick XAFS. J. Catal. 2009, 265, 89–98. [Google Scholar]
- Okumura, K.; Tomiyama, T.; Okuda, S.; Yoshida, H.; Niwa, M. Origin of the excellent catalytic activity of Pd loaded on ultra-stable Y zeolites in Suzuki-Miyaura reactions. J. Catal. 2010, 273, 156–166. [Google Scholar]
- Beyerlein, R.A.; ChoiFeng, C.; Hall, J.B.; Huggins, B.J.; Ray, G.J. Effect of steaming on the defect structure and acid catalysis of protonated zeolites. Top. Catal. 1997, 4, 27–42. [Google Scholar]
- Prockl, S.S.; Kleist, W.; Gruber, M.A.; Kohler, K. In situ generation of highly active dissolved palladium species from solid catalysts - A concept for the activation of aryl chlorides in the Heck reaction. Angew. Chem.-Int. Ed. 2004, 43, 1881–1882. [Google Scholar] [CrossRef]
- Reetz, M.T.; de Vries, J.G. Ligand-free Heck reactions using low Pd-loading. Chem. Commun. 2004, 1559–1563. [Google Scholar]
- Chen, F.X.; Toh, K.; Shen, S.C.; Gan, G.J. Porous magnesia as solid base for ligand-free Heck reaction. Catal. Commun. 2007, 8, 405–409. [Google Scholar] [CrossRef]
- Huang, L.; Wang, Z.; Ang, T.P.; Tan, J.; Wong, P.K. A novel SiO2 supported Pd metal catalyst for the Heck reaction. Catal. Lett. 2006, 3-4, 219–225, 112. [Google Scholar]
- Wang, H.X.; Wu, H.F.; Yang, X.L.; Ma, N.; Wan, L. Highly active ferrocenylamine-derived palladacycles for carbon-carbon cross-coupling reactions. Polyhedron 2007, 26, 3857–3864. [Google Scholar]
- Tomiyama, T.; Okumura, K.; Niwa, M. Enhancement in cracking activity of USY zeolites treated with ammonium nitrate solution. Chem. Lett. 2011, 40, 49–51. [Google Scholar] [CrossRef]
- Wilson, O.M.; Knecht, M.R.; Garcia-Martinez, J.C.; Crooks, R.M. Effect of Pd nanoparticle size on the catalytic hydrogenation of allyl alcohol. J. Am. Chem. Soc. 2006, 128, 4510–4511. [Google Scholar] [CrossRef]
- Xu, L.Q.; Zhang, Z.C.; Sachtler, W.M.H. Effect of zeolite protons on Pd particle-size and H2 chemisorption. J. Chem. Soc.-Faraday Trans. 1992, 88, 2291–2295. [Google Scholar] [CrossRef]
- Botella, L.; Najera, C. Synthesis of methylated resveratrol and analogues by Heck reactions in organic and aqueous solvents. Tetrahedron 2004, 60, 5563–5570. [Google Scholar] [CrossRef]
- Kleist, W.; Lee, J.K.; Kohler, K. Pd/MOx materials synthesized by sol-gel coprecipitation as catalysts for carbon-carbon coupling reactions of aryl bromides and chlorides. Eur. J. Inorg. Chem. 2009, 2, 261–266. [Google Scholar]
© 2010 by the authors; licensee MDPI, Basel, Switzerland. This article is an open access article distributed under the terms and conditions of the Creative Commons Attribution license ( http://creativecommons.org/licenses/by/3.0/).
Share and Cite
Okumura, K.; Tomiyama, T.; Moriyama, S.; Nakamichi, A.; Niwa, M. Enhancement in the Catalytic Activity of Pd/USY in the Heck Reaction Induced by H2 Bubbling. Molecules 2011, 16, 38-51. https://doi.org/10.3390/molecules16010038
Okumura K, Tomiyama T, Moriyama S, Nakamichi A, Niwa M. Enhancement in the Catalytic Activity of Pd/USY in the Heck Reaction Induced by H2 Bubbling. Molecules. 2011; 16(1):38-51. https://doi.org/10.3390/molecules16010038
Chicago/Turabian StyleOkumura, Kazu, Takuya Tomiyama, Sayaka Moriyama, Ayaka Nakamichi, and Miki Niwa. 2011. "Enhancement in the Catalytic Activity of Pd/USY in the Heck Reaction Induced by H2 Bubbling" Molecules 16, no. 1: 38-51. https://doi.org/10.3390/molecules16010038
APA StyleOkumura, K., Tomiyama, T., Moriyama, S., Nakamichi, A., & Niwa, M. (2011). Enhancement in the Catalytic Activity of Pd/USY in the Heck Reaction Induced by H2 Bubbling. Molecules, 16(1), 38-51. https://doi.org/10.3390/molecules16010038




