Hydrogenation of Ethyl Acetate to Ethanol over Ni-Based Catalysts Obtained from Ni/Al Hydrotalcite-Like Compounds
Abstract
:1. Introduction

2. Results and Discussion
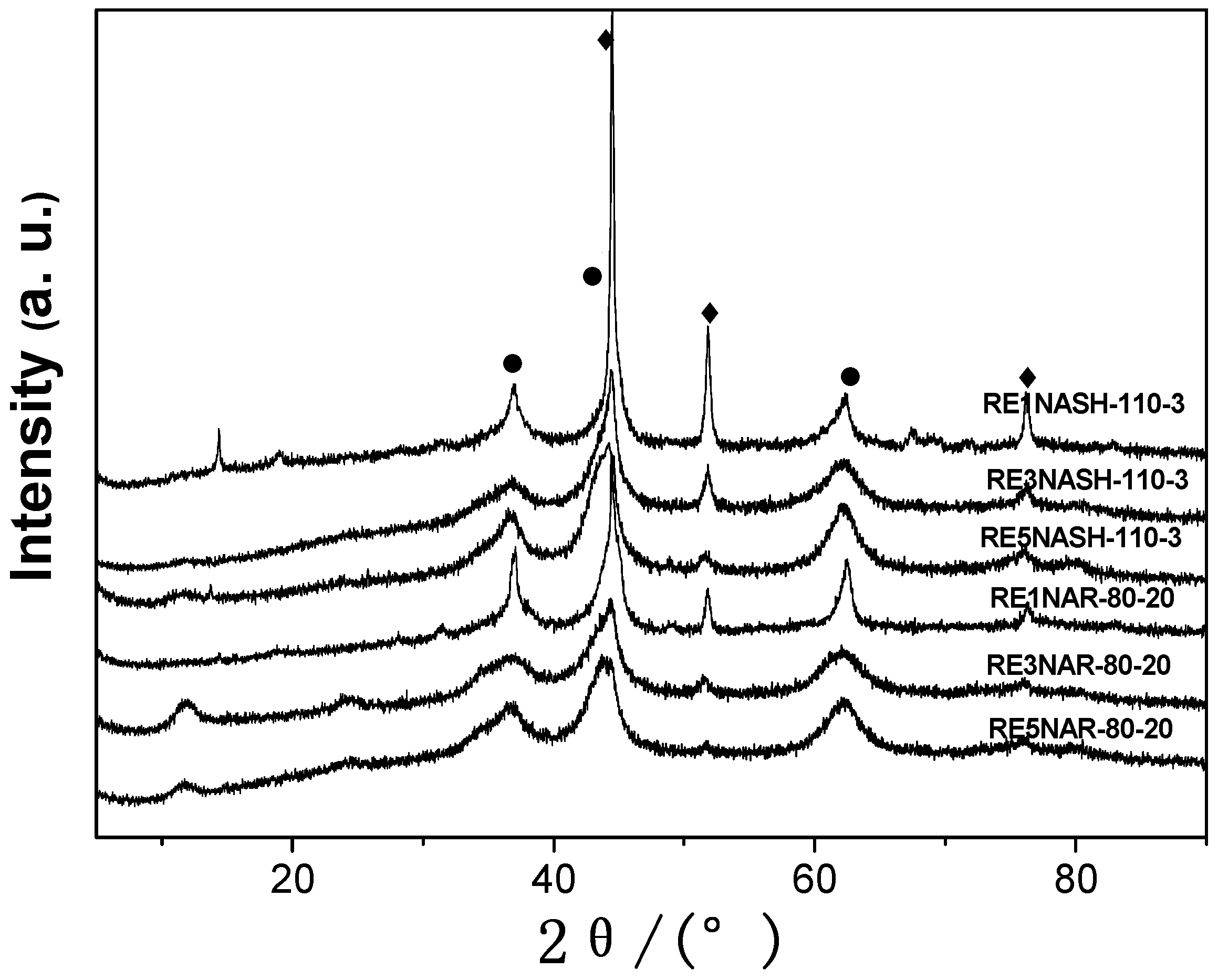
2.1. Sample characterization
| Catalyst | Ni/Al ratio design | Actual Ni/Al ratio |
|---|---|---|
| 1NAR-80-20 | 1 | 1.17 |
| 3NAR-80-20 | 3 | 3.21 |
| 5NAR-80-20 | 5 | 5.32 |
| 1NASH-110-3 | 1 | 1.22 |
| 3NASH-110-3 | 3 | 3.18 |
| 5NASH-110-3 | 5 | 5.27 |
| Catalyst | SBET(m2/g)a | Vp(mL/g)b | dp(Å)c |
|---|---|---|---|
| 1NASH-110-3 | 124.6 | 0.32 | 16.07 |
| 5NASH-110-3 | 169.3 | 0.43 | 9.35 |
| RE1NAR-80-20 | 100.6 | 0.24 | 18.16 |
| RE3NAR-80-20 | 106.5 | 0.29 | 17.92 |
| RE5NAR-80-20 | 139.1 | 0.37 | 13.89 |
| RE1NASH-110-3 | 105.7 | 0.26 | 17.75 |
| RE3NASH-110-3 | 116.2 | 0.30 | 16.23 |
| RE5NASH-110-3 | 149.6 | 0.40 | 10.25 |




2.2. Catalytic hydrogenation of ethyl acetate to ethanol
| Catalyst | Conversion | Selectivity | |||
|---|---|---|---|---|---|
| Ethanol | Butyl acetate | Ethyl ether | Acetaldehyde | ||
| RE1NAR-80-20 | 90.6 | 64.6 | 19.3 | 0.4 | 6.2 |
| RE3NAR-80-20 | 91.6 | 61.5 | 21.5 | 0.3 | 8.6 |
| RE5NAR-80-20 | 90.4 | 59.1. | 23.7 | 0.3 | 8.9 |
| RE1NASH-110-3 | 90.5 | 68.2 | 14.5 | 0.7 | 4.3 |
| RE3NASH-110-3 | 90.3 | 64.3 | 17.3 | 0.5 | 6.8 |
| RE5NASH-110-3 | 89.2 | 62.5 | 18.9 | 0.4 | 8.5 |
| Nickel powder | 76.3 | 70.3 | 14.5 | 0.6 | 3.8 |
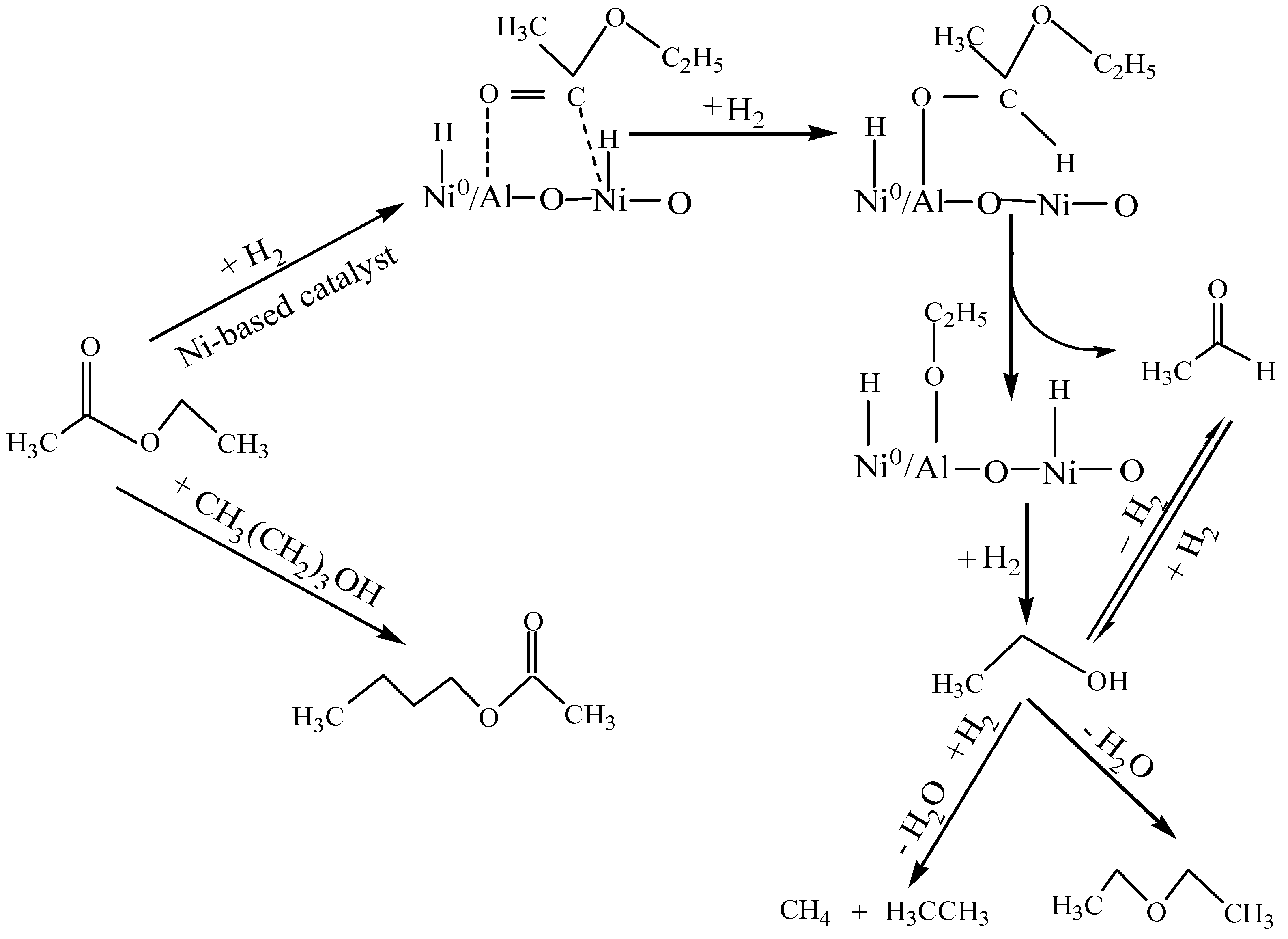
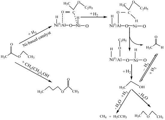
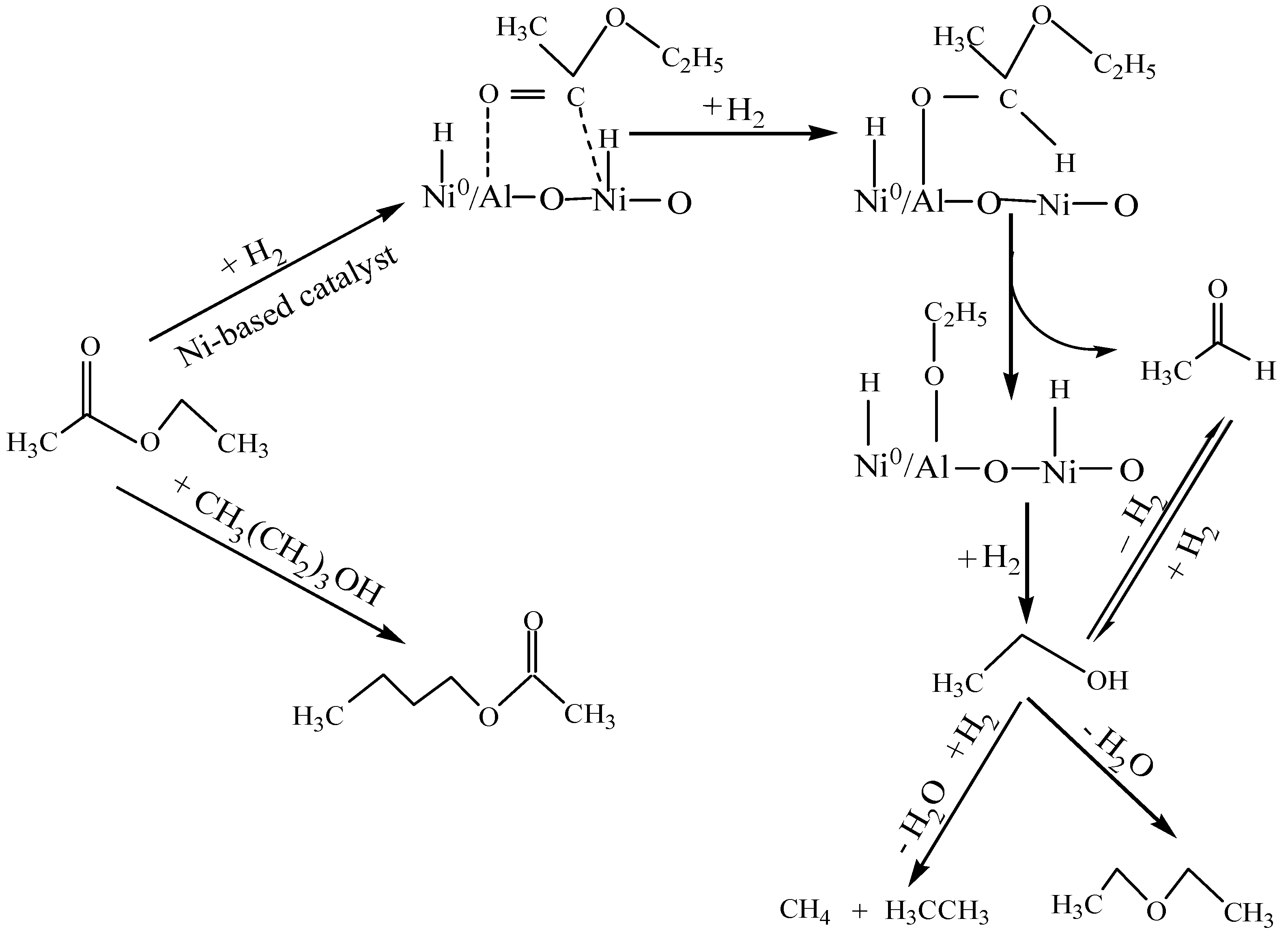
2.3. Reaction pathway for the hydrogenation of ethyl acetate to ethanol

3. Experimental
3.1. Materials
3.2. Preparation of Ni/Al HTlcs
3.3. Characterization of catalysts
3.4. Catalytic hydrogenation of ethyl acetate
4. Conclusions
Acknowledgements
- Sample Availability: Samples of the compounds are available from the authors.
References and Notes
- Chang, C.; Cen, P.L.; Ma, X.J. Levulinic acid production from wheat straw. Bioresour. Technol. 2007, 98, 1448–1453. [Google Scholar] [CrossRef]
- Girisuta, B.; Danon, B.; Manurung, R.; Janssen, L.P.; Heeres, H.J. Experimental and kinetic modelling studies on the acid-catalysed hydrolysis of the water hyacinth plant to levulinic acid. Bioresour. Technol. 2008, 99, 8367–8375. [Google Scholar]
- Fichter, F.; Lurie, S. Chemische und elektrochemische Oxydationsversuche mit Lävulinsäure und mit δ-Propionyl-n-valeriansäure. Helv. Chim. Acta. 1933, 16, 885–891. [Google Scholar] [CrossRef]
- Williamd, D.E.; George, B.L. Peroxytrifluoroacetic Acid. V. The Oxidation of Ketones to Esters. J. Am. Chem. Soc. 1955, 77, 2287–2288. [Google Scholar]
- Saudan, C.; Saudan, L.; Saudan, M.; Alfred, J.; Saudan, S.; Joyeuse, A.A. Hydrogenation of esters or carbonyl groups with phosphino-oxide based ruthenium complexes. PCTWO2010/038209 A1 2010. [Google Scholar]
- Herman, T.T.; Cornelis, J.E. Homogeneous ruthenium catalyzed hydrogenation of esters to alcohols. Chem. Commun. 1998, 13, 1367–1368. [Google Scholar]
- Roger, A.G.; Guido, P.P.; Andrea, W. Anionic metal hydride catalysts. 2. Application to the hydrogenation of ketones, aldehydes, carboxylic acid esters, and nitriles. J. Am. Chem. Soc. 1981, 103, 7536–7542. [Google Scholar]
- Zhang, J.; Gregory, L.; Yehoshoa, B.D.; David, M. Efficient Homogeneous Catalytic Hydrogenation of Esters to Alcohols. Angew. Chem. Int. Ed. Engl. 2006, 45, 1113–1115. [Google Scholar] [CrossRef]
- Yin, A.Y.; Guo, X.Y.; Dai, W.L.; Fan, K.N. The Nature of Active Copper Species in Cu-HMS Catalyst for Hydrogenation of Dimethyl Oxalate to Ethylene Glycol: New Insights on the Synergetic Effect between Cu0 and Cu+. J. Phys. Chem. 2009, 113, 11003–11013. [Google Scholar]
- Takanori, M.; Takahiko, M.; Shin-ichi, T.; Hiroko, W.; Tomohiro, N.; Shizuka, S.; Yuki, K.; Makoto, S. Alcohol synthesis by hydrogenation of fatty acid methyl esters on supported Ru-Sn and Rh-Sn catalysts. Appl. Catal. A Gen. 2009, 364, 108–112. [Google Scholar] [CrossRef]
- Abdellah, E.M.; Jean, P.C.; Jean, P.B.; Osmar, A.F.; Jean- Marie, B. Selective Hydrogenation of Esters to Alcohols with a Catalyst Prepared from Rh2O3, Sn (n-C4H9), and SiO2: Evidence for Site Isolation. Angew. Chem. Int. Ed. Engl. 1989, 28, 347–349. [Google Scholar] [CrossRef]
- Kazu, O.; Kiyotaka, A.; Yasuhiro, I. Structural Transformation and Low-Pressure Catalysis for Ethyl Acetate Hydrogenation of Rh/One-Atomic-Layer GeO2/SiO2. J. Phys. Chem. 1997, 101, 9984–9990. [Google Scholar] [CrossRef]
- Cavani, F.; Trifiro, F.; Vaccari, A. Hydrotalcite-type anionic clays: Preparation, properties and applications. Catal. Today. 1991, 11, 173–301. [Google Scholar]
- Sergio, B.; Sandrine, M.T.; Jean, L.G.; Giovanni, C. Influence of nanodispersed hydrotalcite on polypropylene photooxidation. Eur. Polym. J. 2008, 44, 3473–3481. [Google Scholar] [CrossRef]
- Chen, A.M.; Xu, H.L.; Yue, Y.H.; Hua, W.M.; Shen, W.; Gao, Z. Hydrogenation of methyl benzoate to benzaldehyde over manganese oxide catalysts prepared from Mg/Mn/Al hydrotalcite-like compounds. Appl. Catal. A Gen. 2004, 274, 101–109. [Google Scholar] [CrossRef]
- Boyapati, M.C.; Mannepalli, L.K.; Ateeq, R.; Chinta, R.V.R. Selective reduction of aldehydes to alcohols by calcined Ni-Al hydrotalcite. J. Mol. Catal. A Chem. 2003, 206, 145–151. [Google Scholar] [CrossRef]
- You, K.J.; Chang, C.T.; Liaw, B.J.; Huang, C.T.; Chen, Y.Z. Selective hydrogenation of α, β-unsaturated aldehydes over Au/MgxAlO hydrotalcite catalysts. Appl. Catal. A Gen. 2009, 361, 65–71. [Google Scholar] [CrossRef]
- Veronica, M.; Graciela, B.; Norma, A.; Miguel, L. Ethanol Steam Reforming Using Ni(II)−Al(III) Layered Double Hydroxide as Catalyst Precursor Kinetic Study. Chem. Eng J. 2008, 138, 602–607. [Google Scholar] [CrossRef]
- Galvita, V.; Siddiqi, G.; Sun, P.P.; Bell, A.T. Ethane dehydrogenation on Pt/Mg(Al)O and PtSn/Mg(Al)O catalysts. J. Catal. 2010, 271, 209–219. [Google Scholar]
- Xu, W.J.; Liu, X.H.; Ren, J.W.; Zhang, P.; Wang, Y.Q.; Guo, Y.L.; Guo, Y.; Lu, G.Z. A novel mesoporous Pd/cobalt aluminate bifunctional catalyst for aldol condensation and following hydrogenation. Catal. Commun. 2010, 11, 721–726. [Google Scholar] [CrossRef]
- Velu, S.; Swamy, C.S. Alkylation of phenol with 1-propanol and 2-propanol over catalysts derived from hydrotalcite-like anionic clays. Catal. Lett. 1996, 40, 265–272. [Google Scholar] [CrossRef]
- Cesar, J.S.; Julia, M.H.; Jose, R.R. Reduction of heterocyclic carboxaldehydes via Meerwein-Ponndorf-Verley reaction. Appl. Catal. A Gen. 2006, 303, 23–28. [Google Scholar] [CrossRef]
- Pil, K.; Younghun, K.; Heesoo, K.; In, K.S.; Jongheop, Y. Synthesis and characterization of mesoporous alumina with nickel incorporated for use in the partial oxidation of methane into synthesis gas. Appl. Catal. A Gen. 2004, 272, 157–166. [Google Scholar] [CrossRef]
- Cesteros, Y.; Salagre, P.; Medina, F.; Sueiras, J.E.; Tichit, D.; Coq, B. Hydrodechlorination of 1,2,4-trichlorobenzene on nickel-based catalysts prepared from several Ni/Mg/Al hydrotalcite-like precursors. Appl. Catal. B. 2001, 32, 25–35. [Google Scholar] [CrossRef]
- Olga, L.; Didier, T.; Bernard, C. Influence of the compensating anions of Ni/Al and Ni/Mg/Al layered double hydroxides on their activation under oxidising and reducing atmospheres. Appl. Catal. A Gen. 1999, 183, 61–71. [Google Scholar] [CrossRef]
- Malherbe, F.; Forano, C.; Sharma, B.; Atkins, M.P.; Besse, J.P. Hydrotalcite-like compounds as precursors for mixed oxides catalysts in the oxydehydrogenation of ethylbenzene. Appl. Clay Sci. 1998, 13, 381–399. [Google Scholar] [CrossRef]
- Piotr, K.; Dominika, S.; Lucjan, C.; Alicja, R.Ł.; Barbara, D.; Roman, D. Influence of thermal treatment conditions on the activity of hydrotalcite-derived Mg-Al oxides in the aldol condensation of acetone. Microporous Mesoporous Mater. 2005, 78, 11–22. [Google Scholar] [CrossRef]
- Monzon, A.; Romeo, E.; Royo, C.; Trujillano, R.; Labajos, F.M.; Rives, V. Use of hydrotalcites as catalytic precursors of multimetallic mixed oxides. Application in the hydrogenation of acetylene. Appl. Catal. A Gen. 1999, 185, 53–63. [Google Scholar] [CrossRef]
- Benitol, P.; Guinea, I.; Labajos, F.M.; Rives, V. Microwave-assisted reconstruction of Ni, Al hydrotalcite-like compounds New Synthetic Routes to Hydrotalcite-Like Compounds. J. Solid State Chem. 2008, 181, 987–996. [Google Scholar] [CrossRef]
- Mihaela, J.; Marina, B.; Rodica, M.; Maria, Z.; Dorel, C. Thermal behaviour of hydrotalcite-like compounds: study of the resulting oxidic forms. Int. J. Inorg. Mater. 2000, 2, 287–300. [Google Scholar] [CrossRef]
- Homer, A.; Ralph, C. The catalytic hydrogenation of organic compounds over copper chromite. J. Am. Chem. Soc. 1931, 53, 1091–1095. [Google Scholar] [CrossRef]
- Bournonville, J.P.; Pontoise, C.; Caluire, J.P.C.; Mabilon, G.; Laye, S.G. Process for producing alcohols by hydrogenolysis of carboxylic acid esters in the presence of a catalyst containing nickel and tin, germanium or lead. U.S. Patent No.4628130 1986. [Google Scholar]
- Unnikrishnan, R.; Narayanan, S. Metal containing layered double hydroxides as efficient catalyst precursors for the selective conversion of acetone. J. Mol. Catal. A Chem. 1999, 144, 173–179. [Google Scholar]
- Ferretti, O.A. Surface organometallic chemistry on metals Part IV. Selective hydrogenation of ethyl acetate to ethanol on Rh-Sn/SiO2 bimetallic catalysts: A mechanistic study. J. Mol. Catal. 1991, 67, 283–294. [Google Scholar]
© 2010 by the authors; licensee MDPI, Basel, Switzerland. This article is an Open Access article distributed under the terms and conditions of the Creative Commons Attribution license (http://creativecommons.org/licenses/by/3.0/).
Share and Cite
Zhang, B.; Lin, L.; Zhuang, J.; Liu, Y.; Peng, L.; Jiang, L. Hydrogenation of Ethyl Acetate to Ethanol over Ni-Based Catalysts Obtained from Ni/Al Hydrotalcite-Like Compounds. Molecules 2010, 15, 5139-5152. https://doi.org/10.3390/molecules15085139
Zhang B, Lin L, Zhuang J, Liu Y, Peng L, Jiang L. Hydrogenation of Ethyl Acetate to Ethanol over Ni-Based Catalysts Obtained from Ni/Al Hydrotalcite-Like Compounds. Molecules. 2010; 15(8):5139-5152. https://doi.org/10.3390/molecules15085139
Chicago/Turabian StyleZhang, Beixiao, Lu Lin, Junping Zhuang, Ying Liu, Lincai Peng, and Longfei Jiang. 2010. "Hydrogenation of Ethyl Acetate to Ethanol over Ni-Based Catalysts Obtained from Ni/Al Hydrotalcite-Like Compounds" Molecules 15, no. 8: 5139-5152. https://doi.org/10.3390/molecules15085139
APA StyleZhang, B., Lin, L., Zhuang, J., Liu, Y., Peng, L., & Jiang, L. (2010). Hydrogenation of Ethyl Acetate to Ethanol over Ni-Based Catalysts Obtained from Ni/Al Hydrotalcite-Like Compounds. Molecules, 15(8), 5139-5152. https://doi.org/10.3390/molecules15085139
