Synthesis of Some New Pyridine-2,6-carboxamide-derived Schiff Bases as Potential Antimicrobial Agents
Abstract
:1. Introduction
2. Results and Discussion
2.1. Chemistry

| Comp. No. | R | Mp (ºC) | Cryst. Solv. | Yield (%) | [α]30D | Molecular Formula (Mol. Wt.) |
|---|---|---|---|---|---|---|
| 2a | H | 182-184 | EtOH | 75 | +15 (DMF) | C15H19N3O6 (337.33) |
| 2b | CH3 | 196-198 | EtOH | 68 | - | C17H23N3O6 (365.38) |
| 3a | H | 252-254 | AcOH/H2O | 82 | +56 (DMF) | C13H19N7O4 (337.33) |
| 3b | CH3 | 246-248 | AcOH/H2O | 85 | - | C15H23N7O4 (365.39) |

| Comp. No. | Ar | Mp (ºC) | Cryst. Solv. | Yield (%) | [α]30D (DMF) | Molecular Formula (Mol. Wt.) |
|---|---|---|---|---|---|---|
| 4a | ![]() | 122-124 | EtOH/ n-hexane | 68 | + 18 | C27H27N7O4(513.55) |
| 4b | ![]() | 210-212 | AcOH/H2O | 75 | + 32 | C29H31N7O6(573.60) |
| 4c | ![]() | 148-150 | AcOH | 80 | + 24 | C33H39N7O10 (693.70) |
| 4d | ![]() | 205-207 | EtOH/ n-hexane | 65 | + 54 | C27H25Cl2N7O4 (582.44) |
| 4e | ![]() | 168-170 | AcOH/H2O | 72 | + 12 | C27H23Cl2F2N7O4 (618.42) |
| 4f | ![]() | 185-187 | EtOH/ n-hexane | 60 | + 16 | C23H23N7O4S2 (525.60) |
| 5a | ![]() | 240-242 | EtOH | 70 | - | C29H31N7O4 (541.60) |
| 5b | ![]() | 120-122 | Dioxane | 75 | - | C31H35N7O6 (601.65) |
| 5c | ![]() | 135-137 | AcOH/H2O | 66 | - | C35H43N7O10 (721.76) |
| 5d | ![]() | 155-157 | AcOH/H2O | 78 | - | C29H29Cl2N7O4 (610.49) |
| 5e | ![]() | 213-215 | AcOH/H2O | 86 | - | C29H27Cl2F2N7O4 (646.47) |
| 5f | ![]() | 220-222 | EtOH | 60 | - | C25H27N7O4S2 (553.66) |
2.2. Antimicrobial testing
| Comp. No. | Inhibition zones (cm) | ||||
|---|---|---|---|---|---|
| Gram-positive | Gram-negative | Fungi | |||
| Bacillus subtilis | Staphylococcus aureus | Escherichia coli | Candida albicans | Aspergillus niger | |
| 2a | 15 | 18 | 16 | - | - |
| 2b | 14 | 13 | 15 | - | - |
| 3a | 1 | 12 | 13 | 14 | 10 |
| 3b | 12 | 14 | 15 | 12 | 11 |
| 4a | 14 | 15 | 16 | 14 | 12 |
| 4b | 20 | 19 | 19 | 16 | 15 |
| 4c | 21 | 18 | 20 | 17 | 16 |
| 4d | 20 | 19 | 21 | 17 | 14 |
| 4e | 22 | 20 | 20 | 18 | 16 |
| 4f | 21 | 18 | 18 | 17 | 16 |
| 5a | 16 | 15 | 17 | 12 | 10 |
| 5b | 21 | 18 | 20 | 14 | 15 |
| 5c | 19 | 20 | 19 | 16 | 16 |
| 5d | 20 | 17 | 18 | 16 | 14 |
| 5e | 22 | 20 | 20 | 17 | 14 |
| 5f | 20 | 19 | 21 | 16 | 15 |
| Streptomycin | 22 | 21 | 22 | - | - |
| Fusidic acid | - | - | - | 18 | 17 |
3. Experimental
3.1. General
3.2. Chemistry
3.2.1. N2,N6-Bis(1-methoxy-oxopropan-2-yl)pyridine-2,6-dicarboxamides 2a,b
3.2.2. N2,N6-Bis(1-hydrazinyl)pyridine-2,6-dicarboxamides 3a,b
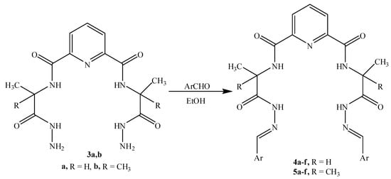
3.2.3. General procedure for the synthesis of N2,N6-bis(1-(substituted)pyridine-2,6-dicarboxamides 4a-f and 5a-f
4. Conclusions
Acknowledgements
- Sample Availability: Samples of the compounds are available from the authors.
References and Notes
- Attia, A.; Abdel-Salam, O.I.; Abo-Ghalia, M.H.; Amr, A.E. Chemical and biological reactivity of newly synthesized 2-chloro-6-ethoxy-4-acetylpyridine. Egypt. J. Chem. 1995, 38, 543–553. [Google Scholar]
- Attia, A.; Abdel-Salam, O.I.; Amr, A.E. Utilization of 2,6-disubstituted isonicotinic acid hydrazides in the synthesis of some antibacterial agents. Egypt. J. Chem. 1997, 40, 317–325. [Google Scholar]
- Attia, A.; Abdel-Salam, O.I.; Amr, A.E. Synthesis of some 2,6-di- and 1,2,6-trisubstituted-1,4-dihydropyridines as antimicrobial agents. Egypt. J. Chem. 2000, 43, 297–307. [Google Scholar]
- Amr, A.E. Synthesis of some heterocyclic compounds as potential antimicrobial agents using 2,6-diacetylpyridine as synthon. Indian J. Heterocycl. Chem. 2000, 10, 49–58. [Google Scholar]
- Abou-Ghalia, M.H.; Amr, A.E.; Abdulla, M.M. Synthesis of some new (Nα-dipicolinoyl)-bis-L-leucyl-DL-norvalyl linear tetra and cyclic octa bridged peptides as new anti-inflammatory Agents. Z. Naturforsch. 2003, 58b, 903–910. [Google Scholar]
- Abou-Ghalia, M.H.; Amr, A.E. Synthesis and investigation of a new cyclo-(Nα-dipicolinoyl) pentapeptide of a breast and CNS cytotoxic activity and an ionophoric specifity. Amino Acids 2004, 26, 283–289. [Google Scholar]
- Bayrak, H.; Demirbas, A.; Karaoglu, S.A.; Demirbas, N. Synthesis of some new 1,2,4-triazoles, their Mannich and Schiff bases and evaluation of their antimicrobial activities. Eur. J. Med. Chem. 2009, 44, 1057–1066. [Google Scholar] [CrossRef]
- Ashok, M.; Holla, B.S.; Boojary, B. Convenient one pot synthesis and antimicrobial evaluation of some new Mannich bases carrying 4-methylthiobenzyl moiety. Eur. J. Med. Chem. 2007, 42, 1095–1101. [Google Scholar] [CrossRef]
- Karthikeyan, M.S.; Prasad, D.J.; Boojary, B.; Bhat, K.S.; Holla, B.S.; Kumari, N.S. Synthesis and biological activity of Schiff and Mannich bases bearing 2,4-dichloro-5-fluorphenyl moiety. Bioorg. Med. Chem. 2006, 14, 7482–7489. [Google Scholar] [CrossRef]
- Tozkoparan, B.; Küpeli, E.; Yeşilada, E.; Ertan, M. Preparation of 5-aryl-3-alkylthio-l,2,4-triazoles and corresponding sulfones with antiinflammatory–analgesic activity. Bioorg. Med. Chem. 2007, 15, 1808–1814. [Google Scholar] [CrossRef]
- Labanauskas, L.; Udrenaite, E.; Gaidelis, P.; Brukštus, A. Synthesis of 5-(2,3,4-methoxy-phenyl)-4H-1,2,4-triazole-3-thiol derivatives exhibiting anti-inflammatory activity. II Farmaco 2004, 59, 255–259. [Google Scholar] [CrossRef]
- Navidpour, L.; Shafaroodi, H.; Abdi, K.; Amini, M.; Ghahremani, M.H.; Dehpour, A.R.; Shafiee, A. Design, synthesis, and biological evaluation of substituted 3-alkylthio-4,5-diaryl-4H-1,2,4-triazoles as selective COX-2 inhibitors. Bioorg. Med. Chem. 2006, 14, 2507–2517. [Google Scholar] [CrossRef]
- Maxwell, J.R.; Wasdahl, D.A.; Wolfson, A.C.; Stenberg, V.I. Synthesis of 5-aryl-2H-tetrazoles, 5-aryl-2H-tetrazole-2-acetic acids, and [(4-phenyl-5-aryl-4H-1,2,4-triazol-3-yl)thio]acetic acids as possible superoxide scavengers and anti-inflammatory agents. J. Med. Chem. 1984, 27, 1565–1570. [Google Scholar] [CrossRef]
- Amr, A.E.; Abo-Ghalia, M.; Abdalah, M.M. Synthesis of novel macrocyclic peptido-calix[4]arenes and peptidopyridines as precursors for potential molecular metallacages, chemosensors and biologically active candidates. Z. Naturforsch. 2006, 61b, 1335–1345. [Google Scholar]
- Amr, A.E.; Mohamed, A.M.; Ibrahim, A.A. Synthesis of some new chiral tricyclic and macrocyclic pyridine derivatives as antimicrobial agents. Z. Naturforsch. 2003, 58b, 861–868. [Google Scholar]
- Amr, A.E.; Mohamed, A.M.; Mohamed, S.F.; Abdel-Hafez, N.A.; Hammam, A.G. Anticancer activities of some newly synthesized pyridine, pyrane, and pyrimidine derivatives. Bioorg. Med. Chem. 2006, 14, 5481–5488. [Google Scholar] [CrossRef]
- Amr, A.E.; Sabrry, N.M.; Abdalla, M.M.; Abdel-Wahab, B.F. Synthesis, antiarrhythmic and anticoagulant activities of novel thiazolo derivatives from methyl 2-(thiazol-2-ylcarbamoyl)-acetate. Eur. J. Med. Chem. 2009, 44, 725–735. [Google Scholar] [CrossRef]
- Fakhr, I.M.; Amr, A.E.; Sabry, N.M.; Abdalah, M.M. Anti-Inflammatory and analgesic activities of newly synthesized chiral peptide derivatives using (3-benzoyl-4,5-dioxo-2-phenyl-pyrrolidin-1-yl)acetic acid ethylester ass material. Arch. Pharm. Chem. Life Sci. 2008, 341, 174–180. [Google Scholar] [CrossRef]
- Mohamed, S.F.; Flefel, E.M.; Amr, A.E.; Abd El-Shafy, D.N. Anti-HSV-1 activity and mechanism of action of some new synthesized substituted pyrimidine, thiopyrimidine and thiazolopyrimidine derivatives. Eur. J. Med. Chem. 2010, 45, 1494–1501. [Google Scholar] [CrossRef]
- Amr, A.E.; Ali, K.A.; Abdalla, M.M. Cytotoxic, antioxidant activities and structure activity relationship of some newly synthesized terpenoidal oxaliplatin analogs. Eur. J. Med. Chem. 2009, 44, 901–907. [Google Scholar] [CrossRef]
- Attia, A.; Abdel-Salam, O.I.; Amr, A.E.; Stibor, I.; Budesinsky, M. Synthesis and antimicrobial activity of some new chiral bridged macrocyclic pyridines. Egypt. J. Chem. 2000, 43, 187–201. [Google Scholar]
- Abou-Zeid, A.A.; Shehata, Y.M. A simple technique for assaying antibiotics using methylene blue as an indicator. Indian J. Pharm. 1969, 31, 72–75. [Google Scholar]
© 2010 by the authors; licensee MDPI, Basel, Switzerland. This article is an Open Access article distributed under the terms and conditions of the Creative Commons Attribution license (http://creativecommons.org/licenses/by/3.0/).
Share and Cite
Al-Omar, M.A.; Amr, A.E.-G.E. Synthesis of Some New Pyridine-2,6-carboxamide-derived Schiff Bases as Potential Antimicrobial Agents. Molecules 2010, 15, 4711-4721. https://doi.org/10.3390/molecules15074711
Al-Omar MA, Amr AE-GE. Synthesis of Some New Pyridine-2,6-carboxamide-derived Schiff Bases as Potential Antimicrobial Agents. Molecules. 2010; 15(7):4711-4721. https://doi.org/10.3390/molecules15074711
Chicago/Turabian StyleAl-Omar, Mohamed A., and Abd El-Galil E. Amr. 2010. "Synthesis of Some New Pyridine-2,6-carboxamide-derived Schiff Bases as Potential Antimicrobial Agents" Molecules 15, no. 7: 4711-4721. https://doi.org/10.3390/molecules15074711
APA StyleAl-Omar, M. A., & Amr, A. E.-G. E. (2010). Synthesis of Some New Pyridine-2,6-carboxamide-derived Schiff Bases as Potential Antimicrobial Agents. Molecules, 15(7), 4711-4721. https://doi.org/10.3390/molecules15074711












