Pd(II)/HPMoV-Catalyzed Direct Oxidative Coupling Reaction of Benzenes with Olefins
Abstract
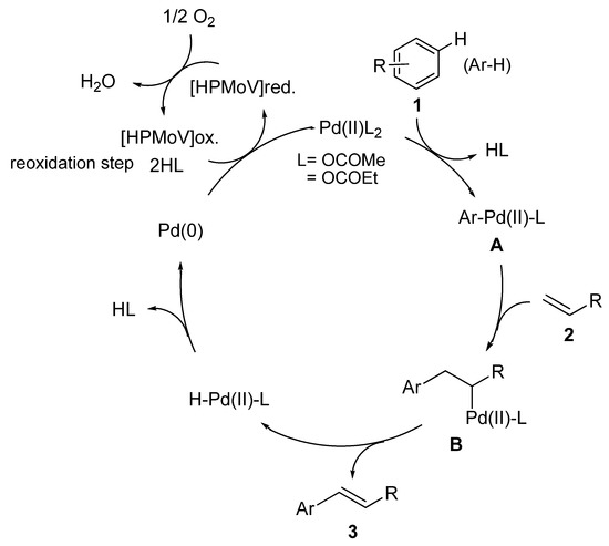
:1. Introduction
2. Results and Discussion
2.1. Oxidative Mizoroki-Heck type coupling reaction of arenes with acrylates
2.2. Oxidative Mizoroki-Heck type coupling of benzenes with α,β-unsaturated aldehydes
2.3. Oxidative Mizoroki-Heck type coupling of benzenes with ethylene
3. Experimental
3.1. General procedure for oxidative coupling of benzene (1a) with ethyl acrylate (2a) (entry 1, Table 1)
3.2. General procedure for oxidative coupling of benzene (1) with ethylene (11) (entry 1 in Table 5)
4. Conclusions
Acknowledgments
References and Notes
- Mizoroki, T.; Mori, K.; Ozaki, A. Arylation of olefin with aryl iodide catalyzed by palladium. Bull. Chem. Soc. Jpn. 1971, 44, 581. [Google Scholar] [CrossRef]
- Heck, R.F.; Nolley, J.P., Jr. Palladium-catalyzed vinylic hydrogen substitution reactions with aryl, benzyl, and styryl halides. J. Org. Chem. 1972, 37, 2320–2322. [Google Scholar] [CrossRef]
- Gooßen, L.; Gooßen, K. Waste-minimized Mizoroki-Heck Reactions. In The Mizoroki-Heck Reaction; Oestreich, M., Ed.; Wiley: Chichester, UK, 2009; pp. 163–178. [Google Scholar]
- Trepohl, V.T.; Oestreich, M. Palladium-catalyzed Arylation Reactions Of Alkenes (Mizoroki-Heck Reaction And Related Processes). In Modern Arylation Methods; Ackermann, L., Ed.; Wiley-VCH: Weinheim, Germany, 2009; pp. 221–269. [Google Scholar]
- Leeuwen, P.W.N.M.; de Vries, J.G. Palladium-catalyzed Oxidative Vinylation. In Handbook of C-H Transformation; Dyker, G., Ed.; Wiley-VCH: Weinheim, Germany, 2005; Volume 1, pp. 203–212. [Google Scholar]
- Fujiwara, Y.; Kitamura, T. Fujiwara reaction: Palladium-catalyzed hydroarylations of alkynes. In Handbook of C-H Transformation; Dyker, G., Ed.; Wiley-VCH: Weinheim, Germany, 2005; Volume 1, pp. 194–202. [Google Scholar]
- Jia, C.; Kitamura, T.; Fujiwara, Y. Catalytic functionalization of arenes and alkanes via C-H bond activation. Acc. Chem. Res. 2001, 34, 633–639. [Google Scholar] [CrossRef] [PubMed]
- Moritani, I.; Fujiwara, Y. Aromatic substitution of styrene–palladium chloride complex. Tetrahedron Lett. 1967, 1119–1122. [Google Scholar] [CrossRef]
- Fujiwara, Y.; Moritani, I.; Danno, S.; Asano, R.; Teranishi, S. Aromatic substitution of olefins. VI. Arylation of olefins with palladium(II) acetate. J. Am. Chem. Soc. 1969, 91, 7166–7169. [Google Scholar] [CrossRef] [PubMed]
- Shue, R.S. Catalytic coupling of aromatics and olefins by homogeneous palladium (II) compounds under oxygen. Chem. Commun. 1510–1511. [CrossRef]
- Maruyama, O.; Yoshidomi, M.; Fujiwara, Y.; Taniguchi, H. Pd(II)-Cu(II)-catalyzed synthesis of mono- and dialkenyl-substituted five menbdered aromatic heterocycles. Chem. Lett. 1229–1230.
- Tsuji, J.; Nagashima, H. Palladium-catalyzed oxidative coupling of aromatic compounds with olefins using tert-butyl perbenzoate as a hydrogen acceptor. Tetrahedron 1984, 40, 2699–2702. [Google Scholar] [CrossRef]
- Jia, C.; Lu, W.; Kitamura, T.; Fujiwara, Y. Highly efficient Pd-catalyzed coupling of arenes with olefins in the presence of tert-butyl hydroperoxide as oxidant. Org. Lett. 1999, 1, 2097–2100. [Google Scholar] [CrossRef]
- Dams, M.; de Vos, D.E.; Celen, S.; Jacobs, P.A. Toward waste-free production of Heck products with a catalytic palladium system under oxygen. Angew. Chem. Int. Ed. 2003, 42, 3512–3515. [Google Scholar] [CrossRef] [PubMed]
- Boele, M.D.K.; van Strijdonck, G.P.F.; de Vries, A.H.M.; Kamer, P.C.J.; de Vries, J.G.; van Leeuwen, P.W.N.M. Selective Pd-catalyzed oxidative coupling of anilides with olefins through C-H bond activation at room temperature. J. Am. Chem. Soc. 2002, 124, 1586–1587. [Google Scholar] [CrossRef] [PubMed]
- Beck, E.M.; Grimster, N.P.; Hatley, R.; Gaunt, M.J. Mild aerobic oxidative palladium(II) catalyzed C-H bond functionalization: regioselective and switchable C-H alkenylation and annulations of pyrroles. J. Am. Chem. Soc. 2006, 128, 2528–2529. [Google Scholar] [CrossRef] [PubMed]
- Grimster, N.P.; Gauntlett, C.; Godfrey, C.R.A.; Gaunt, M.J. Palladium-catalyzed intermolecular alkenylation of indoles by solvent-controlled regioselective C-H functionalization. Angew. Chem. Int. Ed. 2005, 44, 3125–3129. [Google Scholar] [CrossRef] [PubMed]
- Yokota, T.; Tani, M.; Sakaguchi, S.; Ishii, Y. Direct coupling of benzene with olefin catalyzed by Pd(OAc)2 combined with heteropolyoxometalate under dioxygen. J. Am. Chem. Soc. 2003, 125, 1476–1477. [Google Scholar] [CrossRef] [PubMed]
- Tani, M.; Sakaguchi, S.; Ishii, Y. Pd(OAc)2-catalyzed oxidative coupling of benzenes with olefins in the presence of molybdovanadophosphoric acid under atmospheric dioxygen and air. J. Org. Chem. 2004, 69, 1221–1226. [Google Scholar] [CrossRef] [PubMed]
- Yamada, T.; Sakaguchi, S.; Ishii, Y. Oxidative coupling of benzenes with α,β-unsaturated aldehydes by the Pd(OAc)2/molybdovanadophosphoric acid/O2 system. J. Org. Chem. 2005, 70, 5471–5474. [Google Scholar] [CrossRef] [PubMed]
- Yamada, T.; Sakaguchi, S.; Ishii, Y. Oxidative Coupling Of Benzenes with A,B-Unsaturated Aldehydes By Pd(Oac)2/Hpmov/O2 System. In Catalysis for Fine Chemical Synthesis; Roberts, S.M., Whittall, J., Eds.; Wiley: Chichester, UK, 2007; Volume 5, pp. 275–278. [Google Scholar]
- Yamada, T.; Sakakura, A.; Sakaguchi, S.; Obora, Y.; Ishii, Y. Oxidative arylation of ethylene with benzene catalyzed by Pd(OAc)2/heteropoly acid/O2 system. New J. Chem. 2008, 32, 738–742. [Google Scholar] [CrossRef]
- Yokota, T.; Sakaguchi, S.; Ishii, Y. Aerobic oxidation of benzene to biphenyl using a Pd(II)/molybdovanadophosphoric acid catalytic system. Adv. Synth. Catal. 2002, 344, 849–854. [Google Scholar] [CrossRef]
Sample Availability: Samples of the compounds are available from the authors. |


| Entry | HPMoV | Base | Yield/% b | ||
|---|---|---|---|---|---|
| 3a | 4a | 5 | |||
| 1 | H4PMo11VO40·30H2O | NaOAc | 74 | 13 | 4 |
| 2c | H4PMo11VO40·30H2O | NaOAc | 6 | 81 | ndd |
| 3 | H4PMo11VO40·30H2O | None | 6 | ndd | 4 |
| 4 e | H4PMo11VO40·30H2O | NaOAc | 53 | 2 | 8 |
| 5 e,f | H4PMo11VO40·30H2O | NaOAc | 75 | 16 | 1 |
| 6g | H4PMo11VO40·30H2O | NaOAc | 51 | 5 | 16 |
| 7h | H4PMo11VO40·30H2O | NaOAc | 20 | nd d | nd d |
| 8 | None | NaOAc | 9 | nd d | 1 |
| 9 | H5PMo10V2O40·28H2O | NaOAc | 73 | 14 | 5 |
| 10 | H6PMo9V3O40·30H2O | NaOAc | 70 | 13 | 5 |
| 11 | H7PMo8V4O40·28H2O | NaOAc | 62 | 4 | 5 |
| 12 | H3PMo12O40·30H2O | NaOAc | 43 | 1 | 4 |
| 13 | H4PMo11VO40·30H2O | LiOAc | 66 | 5 | 7 |
| 14 | H4PMo11VO40·30H2O | CsOAc | 13 | nd d | 1 |
| 15 | H4PMo11VO40·30H2O | KOAc | 11 | nd d | nd d |
| 16 | H4PMo11VO40·30H2O | NH4OAc | 12 | nd d | nd d |
| 17 i | H4PMo11VO40·30H2O | NaOAc | 74 | 8 | 6 |
| 18 j | H4PMo11VO40·30H2O | NaOAc | 10 | Nd d | 3 |
![]() |
| Entry | HPMoV | Ligand | Time/h | Yield/% b | |
|---|---|---|---|---|---|
| 7a | 8a | ||||
| 1 | H4PMo11VO40·26H2O | DBM | 1.5 | 59 | 5 |
| 2 | H4PMo11VO40·26H2O | DBM | 1 | 26 | nd d |
| 3 | H4PMo11VO40·26H2O | DBM | 2 | 45 | 18 |
| 4 | H4PMo11VO40·26H2O | DBM | 3 | 17 | 40 |
| 5c | H4PMo11VO40·26H2O | DBM | 1.5 | 53 | 6 |
| 6 | H4PMo11VO40·26H2O | None | 1.5 | 33 | nd d |
| 7 | H4PMo11VO40·26H2O | benzoylacetone | 1.5 | 52 | 6 |
| 8 | H4PMo11VO40·26H2O | acacH | 1.5 | 48 | 1 |
| 9 | H4PMo11VO40·26H2O | acacH | 2 | 54 | 8 |
| 10e | H4PMo11VO40·26H2O | acacH | 2 | 3 | nd d |
| 11f | H4PMo11VO40·26H2O | acacH | 2 | 44 | 2 |
| 12 | H5PMo10V2O40·28H2O | DBM | 1.5 | 54 | 6 |
| 13 | H6PMo10V3O40·30H2O | DBM | 1.5 | 47 | 6 |
| 14 | H7PMo8V4O40·28H2O | DBM | 1.5 | 35 | 1 |
| 15 | H5PW10V2O40·27H2O | DBM | 1.5 | ndd | nd d |
| 16 | H3PMo12O40·30H2O | DBM | 1.5 | 24 | nd d |
![]() |
| entry | HPMoV | Base | TONb (μmol) | |||
|---|---|---|---|---|---|---|
| 12 | 13 | 14 | 15 | |||
| 1 | H4PMo11VO40·15H2O | NaOAc | 20 (202) | 5.2 (25) | 5.0 (50) | 3.0 (30) |
| 2c | H4PMo11VO40·15H2O | NaOAc | 4.6 (46) | ndd | 8.3 (82) | 4.5 (45) |
| 3e | H4PMo11VO40·15H2O | NaOAc | 7.5(75) | 0.9 (4) | 6.0 (59) | 3.9 (39) |
| 4f | H4PMo11VO40·15H2O | NaOAc | 14 (138) | 4.8 (24) | 3.8 (38) | 4.9 (49) |
| 5 | H4PMo11VO40·15H2O | None | 1.6 (16) | ndd | 2.0 (20) | ndd |
| 6 | H4PMo11VO40·15H2O | LiOAc | 9.1 (90) | 2.6 (13) | 2.9 (29) | 2.9 (29) |
| 7 | H4PMo11VO40·15H2O | KOAc | 5.9 (59) | 0.8 (4) | 1.7 (17) | 1.4 (14) |
| 8g | H4PMo11VO40·15H2O | Na2CO3 | 19 (188) | 9.7 (48) | 5.2 (52) | 7.1 (71) |
| 9h | H4PMo11VO40·15H2O | NaOAc | 14 (142) | 4.0 (20) | 3.4 (33) | -i |
| 10j | H4PMo11VO40·15H2O | NaOAc | 12 (119) | ndd | 19 (190) | -i |
| 11k | H4PMo11VO40·15H2O | NaOAc | 5.3 (53) | ndd | 24 (243) | -i |
| 12l | H4PMo11VO40·15H2O | NaOAc | 14 (137) | 4.9 (24) | 5.2 (52) | -i |
| 13 | H5PMo10V2O40·28H2O | NaOAc | 16 (154) | 4.2 (21) | 4.4 (44) | 3.8 (38) |
| 14 | H6PMo9V3O40·30H2O | NaOAc | 17 (166) | 7.7 (38) | 2.9 (29) | 4.0 (40) |
| 15 | H7PMo8V4O40·28H2O | NaOAc | 19 (192) | 4.9 (2.4) | 6.4 (64) | 3.6 (36) |
| 16 | H3PMo12O40·30H2O | NaOAc | 22 (223) | 11 (53) | 2.9 (29) | 0.3 (3) |
| 17m | H3PMo12O40·30H2O | NaOAc | 42 (420) | 4.4 (22) | 3.5 (35) | ndd |
| 18m,n | H3PMo12O40·30H2O | NaOAc | 100 (1003) | 67 (335) | 3.9 (39) | ndd |
| 19 | H3PMo11WO40·27H2O | NaOAc | 24 (239) | 12 860) | 3.0 (30) | ndd |
| 20 | H3PMo10W2O40·29H2O | NaOAc | 23 (228) | 7.8 (39) | 2.8 (28) | ndd |
| 21 | H4SiMo12O40·27H2O | NaOAc | 22 (218) | 7.8 (39) | 2.9 (29) | ndd |
| 22 | H5PW10V2O40·27H2O | NaOAc | 1.5 (15) | trace | ndd | ndd |
© 2010 by the authors; licensee Molecular Diversity Preservation International, Basel, Switzerland. This article is an open-access article distributed under the terms and conditions of the Creative Commons Attribution license (http://creativecommons.org/licenses/by/3.0/).
Share and Cite
Obora, Y.; Ishii, Y. Pd(II)/HPMoV-Catalyzed Direct Oxidative Coupling Reaction of Benzenes with Olefins. Molecules 2010, 15, 1487-1500. https://doi.org/10.3390/molecules15031487
Obora Y, Ishii Y. Pd(II)/HPMoV-Catalyzed Direct Oxidative Coupling Reaction of Benzenes with Olefins. Molecules. 2010; 15(3):1487-1500. https://doi.org/10.3390/molecules15031487
Chicago/Turabian StyleObora, Yasushi, and Yasutaka Ishii. 2010. "Pd(II)/HPMoV-Catalyzed Direct Oxidative Coupling Reaction of Benzenes with Olefins" Molecules 15, no. 3: 1487-1500. https://doi.org/10.3390/molecules15031487
APA StyleObora, Y., & Ishii, Y. (2010). Pd(II)/HPMoV-Catalyzed Direct Oxidative Coupling Reaction of Benzenes with Olefins. Molecules, 15(3), 1487-1500. https://doi.org/10.3390/molecules15031487


