Antimicrobial Activity of Sphingolipids Isolated from the Stems of Cucumber (Cucumis sativus L.)
Abstract
:1. Introduction
2. Results and Discussion
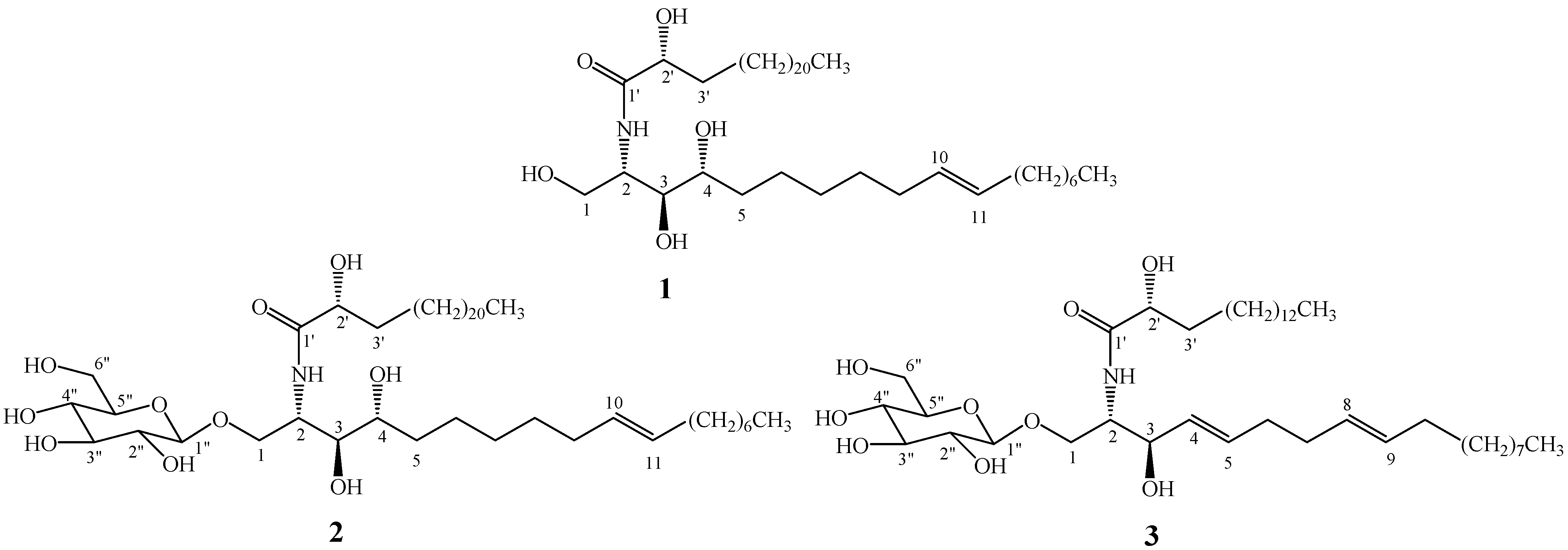
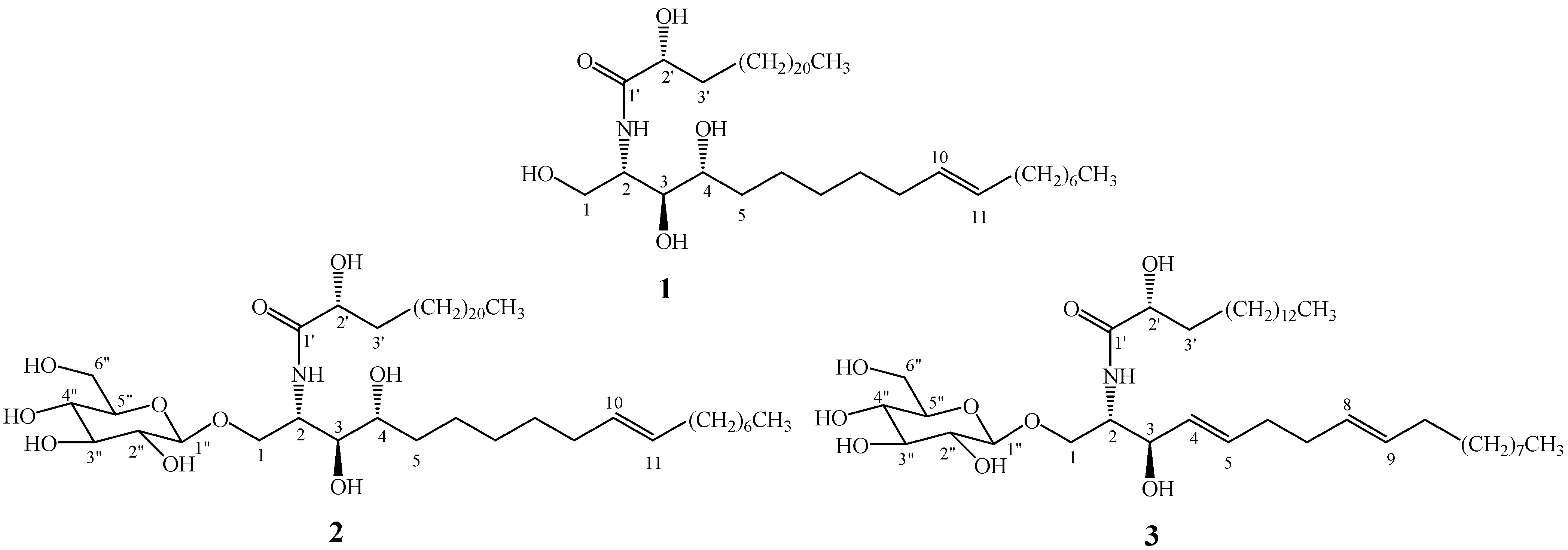
2.1. Elucidation of the purified sphingolipids

2.2. Antimicrobial activity
| Treatment | Inhibitory rate of the mycelia growth (mean ± SD) (%) | |||
|---|---|---|---|---|
| P. aphanidermatum | B. dothidea | B. cinerea | F. oxysporum f.sp. cucumerinum | |
| Carbendazim | 79.2 ± 2.0 | 88.0 ± 0.6 | 29.0 ± 2.0 | 100.0 ± 0.0 |
| Methanol extract | 45.0 ± 2.4 | 7.6 ± 3.3 | 20.4 ± 1.4 | 35.0 ± 3.5 |
| Chloroform fraction | 49.4 ± 0.9 | 41.3 ± 1.0 | 44.8 ± 1.7 | 42.2 ± 1.6 |
| n-Butanol fraction | 48.5 ± 2.0 | 16.5 ± 3.5 | 41.4 ± 2.8 | 41.6 ± 1.3 |
| Aqueous fraction | 43.8 ± 1.6 | 6.8 ± 1.8 | 15.6 ± 2.4 | 23.4 ± 2.7 |
| Treatment | Diameter of inhibitory zone (mm) | ||
|---|---|---|---|
| B. subtilis | X. vesicatoria | P. lachrymans | |
| Streptomycin sulfate | +++ | +++ | +++ |
| Methanol extract | + | + | ++ |
| Chloroform fraction | ++ | ++ | +++ |
| n-Butanol fraction | + | + | + |
| Aqueous fraction | - | - | - |
| Treatment | Inhibitory rate of the mycelia growth (Mean ± SD) (%) | |||
|---|---|---|---|---|
| P. aphanidermatum | B. dothidea | B. cinerea | F. oxysporum f.sp. cucumerinum | |
| Compd 1 | 100.0 ± 0.0 | 22.3 ± 2.4 | 48.4 ± 1.0 | 10.7 ± 2.9 |
| Compd 2 | 46.6 ± 2.5 | 11.2 ± 3.1 | 30.4 ± 1.8 | 9.3 ± 1.5 |
| Compd 3 | 23.5 ± 4.3 | 7.1 ± 3.2 | 24.4 ± 2.2 | 5.5 ± 1.0 |
| Compound | Test bacterium | Toxicity regression equation (Y = aX + b) | Correlation coefficient (R) | IC50(μg/mL) |
|---|---|---|---|---|
| Compd 1 | B. subtilis | Y = 0.8321X + 3.5848 | 0.9793 | 50.2 |
| X. vesicatoria | Y = 0.8918X + 3.7441 | 0.9864 | 25.6 | |
| P. lachrymans | Y = 0.3952X + 4.5318 | 0.9752 | 15.3 | |
| Compd 2 | B. subtilis | Y = 0.9746X + 3.4555 | 0.9893 | 87.9 |
| X. vesicatoria | Y = 0.9202X + 3.6106 | 0.9818 | 32.4 | |
| P. lachrymans | Y = 0.3844X + 4.5234 | 0.9841 | 17.4 | |
| Compd 3 | B. subtilis | Y = 0.8842X + 3.1918 | 0.9398 | 110.9 |
| X. vesicatoria | Y = 0.9775X + 3.2311 | 0.9886 | 64.5 | |
| P. lachrymans | Y = 0.6110X + 4.0395 | 0.9712 | 37.3 |
3. Experimental
3.1. General
3.2. Plant material
3.3. Extraction, fractionation and identification of the sphingolipids
3.4. Antimicrobial activity
3.4.1. Antifungal activity assay
3.4.2. Antibacterial activity assay
4. Conclusions
Acknowledgements
References
- Wittstock, U.; Gershenzon, J. Constitutive plant toxins and their role in defense against herbivores and pathogens. Curr. Opin. Plant Biol. 2002, 5, 300–307. [Google Scholar] [CrossRef]
- Cowan, M.M. Plant products as antimicrobial agents. Clin. Microbiol. Rev. 1999, 12, 564–582. [Google Scholar]
- Pieters, L.; Vlietinck, A.J. Bioguided isolation of pharmacologically active plant components, still a valuable strategy for the finding of new lead compounds? J. Ethnopharmacol. 2005, 100, 57–60. [Google Scholar] [CrossRef]
- Editorial Commission of Institute of Botany, Chinese Academy of Sciences, Flora Reipublicae Popularis Sinicae; Science Press: Beijing, China, 1986.
- Jiangsu Institute of Botany, Xinhua Compendium of Material Medica; Shanghai Science & Technology Publishing House: Shanghai, China, 1988; Volume 2, p. 310.
- Itoh, T.; Kikuchi, Y.; Shimizu, N.; Tamura, T.; Matsumoto, T. 24β-Ethyl-31-norlanosta-8,25(27)-dien-3β-ol and 24β-ethyl-25(27)-dehydrolophenol in seeds of three cucurbitaceae species. Phytochemistry 1981, 20, 1929–1933. [Google Scholar]
- McNally, D.J.; Labbe, C.; Quideau, S.; Belanger, R.R. Complex C-glycosyl flavonoid phytoalexins from Cucumis sativus. J. Nat. Prod. 2003, 66, 1280–1283. [Google Scholar] [CrossRef]
- Zhan, Z.; Sun, H.; Wu, H.; Yue, J. Chemical components from the fungus Engleromyces goetzei. Acta Bot. Sin. 2003, 45, 248–252. [Google Scholar]
- Luo, Y.; Yi, J.; Li, B.; Zhang, G. Novel ceramides and a new glucoceramide from the roots of Incarvillea arguta. Lipids 2004, 39, 907–913. [Google Scholar] [CrossRef]
- Okuyama, E.; Yamazaki, M. The principles of Tetragonia tetragonoides having anti-ulcerogenic activity. II. Isolation and structure of cerebrosides. Chem. Pharm. Bull. 1983, 31, 2209–2219. [Google Scholar] [CrossRef]
- Shibuya, H.; Kawashima, K.; Sakagami, M.; Kawanishi, H.; Shimomura, M.; Ohashi, K.; Kitagawa, I. Sphingolipids and glycerolipids. I. chemical structures and ionophoretic activites of soya-cerebrosides I and II from soybean. Chem. Pharm. Bull. 1990, 38, 2933–2938. [Google Scholar] [CrossRef]
- Mei, W.; Ni, W.; Liu, H.; Chen, C. Studies on the constituents of Cinnamomum zeylanicum. Nat. Prod. Res. Dev. 2002, 14, 14–17. [Google Scholar]
- Li, H.; Luo, Y.; He, Z.; Zhang, G. Phytochemical study on Zehneria maysorensis. Nat. Prod. Res. Dev. 2006, 18, 411–414. [Google Scholar]
- Fang, F.; Ho, C.-T.; Sang, S.; Rosen, R.T. Determination of sphingolipids in nuts and seeds by a single quadrupole liquid chromatography-mass spectrometry method. J. Food Lipids 2005, 12, 327–343. [Google Scholar] [CrossRef]
- Worrall, D.; Ng, C.K.Y.; Hetherington, A.M. Sphingolipids, new players in plant signaling. Trends Plant Sci. 2003, 8, 317–320. [Google Scholar] [CrossRef]
- Quiroga, E.N.; Sampietro, A.R.; Vattuone, M.A. Screening antifungal activities of selected medicinal plants. J. Ethnopharmacol. 2001, 74, 89–96. [Google Scholar] [CrossRef]
- Zhou, Y.; Liu, H.; Zhao, J.; Tan, M.; Sui, P.; Wang, J.; Zhou, L. Poplar stem blister canker and its control strategies by plant extracts. World J. Microbiol. Biotechnol. 2008, 24, 1579–1584. [Google Scholar] [CrossRef]
- Moody, J.O.; Adebiyi, O.A.; Adeniyi, B.A. Do Aloe vera and Ageratum conyzoides enhance the anti-microbial activity of traditional medicinal soft soaps (Osedudu)? J. Ethnopharmacol. 2004, 92, 57–60. [Google Scholar] [CrossRef]
- Wang, J.; Liu, H.; Zhao, J.; Gao, H.; Zhou, L.; Liu, Z.; Chen, Y.; Sui, P. Antimicrobial and antioxidant activities of the root bark essential oil of Periploca sepium and its main component 2-hydroxy-4-methoxy benzaldehyde. Molecules 2010, 15, 5807–5817. [Google Scholar] [CrossRef]
- Liu, H.; Mou, Y.; Zhao, J.; Wang, J.; Zhou, L.; Wang, M.; Wang, D.; Han, J.; Yu, Z.; Yang, F. Flavonoids from Halostachys caspica and their antimicrobial and antioxidant activities. Molecules 2010, 15, 7933–7945. [Google Scholar] [CrossRef]
- Sakuma, M. Probit analysis of preference data. Appl. Entomol. Zool. 1998, 33, 339–347. [Google Scholar]
- Sample Availability: Samples of the compounds are available from the authors.
© 2010 by the authors; licensee MDPI, Basel, Switzerland. This article is an open access article distributed under the terms and conditions of the Creative Commons Attribution license (http://creativecommons.org/licenses/by/3.0/).
Share and Cite
Tang, J.; Meng, X.; Liu, H.; Zhao, J.; Zhou, L.; Qiu, M.; Zhang, X.; Yu, Z.; Yang, F. Antimicrobial Activity of Sphingolipids Isolated from the Stems of Cucumber (Cucumis sativus L.). Molecules 2010, 15, 9288-9297. https://doi.org/10.3390/molecules15129288
Tang J, Meng X, Liu H, Zhao J, Zhou L, Qiu M, Zhang X, Yu Z, Yang F. Antimicrobial Activity of Sphingolipids Isolated from the Stems of Cucumber (Cucumis sativus L.). Molecules. 2010; 15(12):9288-9297. https://doi.org/10.3390/molecules15129288
Chicago/Turabian StyleTang, Jing, Xiangjie Meng, Hao Liu, Jianglin Zhao, Ligang Zhou, Minghua Qiu, Xianming Zhang, Zhu Yu, and Fuyu Yang. 2010. "Antimicrobial Activity of Sphingolipids Isolated from the Stems of Cucumber (Cucumis sativus L.)" Molecules 15, no. 12: 9288-9297. https://doi.org/10.3390/molecules15129288
APA StyleTang, J., Meng, X., Liu, H., Zhao, J., Zhou, L., Qiu, M., Zhang, X., Yu, Z., & Yang, F. (2010). Antimicrobial Activity of Sphingolipids Isolated from the Stems of Cucumber (Cucumis sativus L.). Molecules, 15(12), 9288-9297. https://doi.org/10.3390/molecules15129288
