Synthesis and Biological Evaluation of Pyrazolo[1,5-a]-pyrimidine-containing 99mTc Nitrido Radiopharmaceuticals as Imaging Agents for Tumors
Abstract
:1. Introduction
2. Results and Discussion
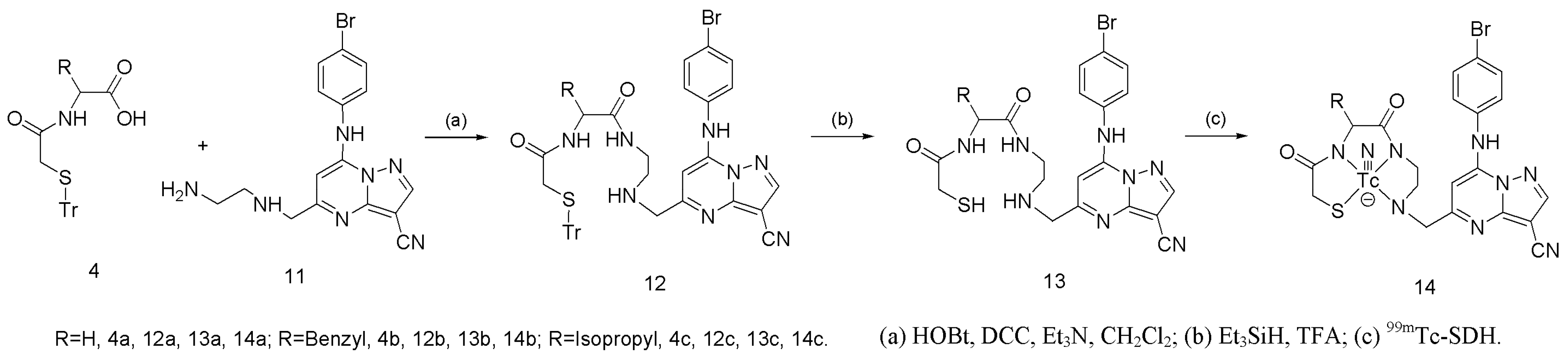
2.1. Chemistry
2.2. Measurement of partition coefficients
2.3. In vitro stability study
2.4. Biodistribution study
3. Experimental
3.1. General
3.2. Ligand synthesis
3.3. Radiochemistry
3.4. Measurement of partition coefficients
3.5. In vitro stability study
3.6. Biodistribution study
4. Conclusion
Acknowledgement
References and Notes
- Lane, M.E.; Yu, B.; Rice, A.; Lipson, K.E.; Liang, C.; Sun, L.; Tang, C.; McMahon, G.; Pestell, R.G.; Wadler, S. A novel cdk2-selective inhibitor, SU9516, induces apoptosis in colon carcinoma cells. Cancer Res. 2001, 61, 6170–6177. [Google Scholar] [PubMed]
- Fraley, M.E.; Hoffman, W.F.; Rubino, R.S.; Hungate, R.W.; Tebben, A.J.; Rutledge, R.Z.; McFall, R.C.; Huckle, W.R.; Kendall, R.L.; Coll, K.E.; Thomas, K.A. Synthesis and initial SAR studies of 3,6-disubstituted pyrazolo[1,5-a]pyrimidines: a new class of KDR kinase inhibitors. Bioorg. Med. Chem. Lett. 2002, 12, 2767–2770. [Google Scholar] [CrossRef]
- Fraley, M.E.; Rubino, R.S.; Hoffman, W.F.; Hambaugh, S.R.; Arrington, K.L.; Hungate, R.W.; Bilodeau, M.T.; Tebben, A.J.; Rutledge, R.Z.; Kendall, R.L.; McFall, R.C.; Huckle, W.R.; Coll, K.E.; Thomas, K.A. Optimization of a pyrazolo[1,5-a]pyrimidine class of KDR kinase inhibitors: improvements in physical properties enhance cellular activity and pharmacokinetics. Bioorg. Med. Chem. Lett. 2002, 12, 3537–3541. [Google Scholar] [CrossRef]
- Wu, Z.; Fraley, M.E.; Bilodeau, M.T.; Kaufman, M.L.; Tasber, E.S.; Balitza, A.E.; Hartman, G.D.; Coll, K.E.; Rickert, K.; Shipman, J.; Shi, B.; Sepp-Lorenzino, L.; Thomas, K.A. Design and synthesis of 3,7-diarylimidazopyridines as inhibitors of the VEGF-receptor KDR. Bioorg. Med. Chem. Lett. 2004, 14, 909–912. [Google Scholar] [CrossRef] [PubMed]
- Arora, A.; Scholar, E.M. Role of tyrosine kinase inhibitors in cancer therapy. J. Pharmacol. Exp. Ther. 2005, 315, 971–979. [Google Scholar] [CrossRef] [PubMed]
- Meijer, L.; Raymond, A.E. Roscovitine and other purines as kinase inhibitors. from starfish oocytes to clinical trials. Acc. Chem. Res. 2003, 36, 417–425. [Google Scholar] [CrossRef] [PubMed]
- Berman, H.M.; Westbrook, J.; Feng, Z.; Gilliland, G.; Bhat, T.N.; Weissig, H.; Shindyalov, I.N.; Bourne, P.E. The protein data bank. Nucleic Acids Res. 2000, 28, 235–242. [Google Scholar] [CrossRef] [PubMed]
- Lawrie, A.M.; Noble, M.E.M.; Tunnah, P.; Brown, N.R.; Johnson, L.M.; Endicott, J.A. Protein kinase inhibition by staurosporine revealed in details of the molecular interaction with CDK2. Nat. Struct. Biol. 1997, 4, 796–801. [Google Scholar] [CrossRef] [PubMed]
- Liu, S.; Edwards, D.S. 99mTc-labeled small peptides as diagnostic radiopharmaceuticals. Chem. Rev. 1999, 99, 2235–2268. [Google Scholar] [CrossRef] [PubMed]
- Mang’era, K.O.; Vanbilloen, H.P.; Bellande, E.; Pasqualini, R.; Verbruggen, A.M. Influence of a 99mTcN core on the biological and physicochemical behavior of 99mTc complexes of L, L-EC and L,L-ECD. Nucl. Med. Biol. 1996, 23, 987–993. [Google Scholar] [CrossRef]
- Pasqualini, R.; Duatti, A.; Bellande, E.; Comazzi, V.; Brucato, V.; Hoffschir, D.; Fagret, D.; Comet, M. Bis(dithiocarbamato) nitrido technetium-99m radiopharmaceuticals: a class of neutral myocardial imaging agents. J. Nucl. Med. 1994, 35, 334–341. [Google Scholar] [PubMed]
- Novinson, T.; Robins, R.K.; Matthews, T.R. Synthesis and antifungal properties of certain 7-alkylaminopyrazolo[1,5-a]pyrimidines. J. Med. Chem. 1977, 20, 296–299. [Google Scholar] [CrossRef] [PubMed]
- Springer, R.H.; Scholten, M.B.; O’Brien, D.E.; Novinson, T.; Miller, J.P.; Robins, R.K. Synthesis and enzymic activity of 6-carbethoxy- and 6-ethoxy-3,7-disubstituted-pyrazolo[1,5-a]pyrimidines and related derivatives as adenosine cyclic 3’,5’-phosphate phosphodiesterase inhibitors. J. Med. Chem. 1982, 25, 235–242. [Google Scholar] [CrossRef] [PubMed]
- Chen, X.J.; Li, L.; Liu, F.; Liu, B.L. Synthesis and biological evaluation of technetium-99m-labeled deoxyglucose derivatives as imaging agents for tumor. Bioorg. Med. Chem. Lett. 2006, 16, 5503–5506. [Google Scholar] [CrossRef] [PubMed]
- Kreutzberger, A.; Burgwitz, K. Antibakterielle wirkstoffe. IV. Die nitrosubstitution im system der 5-amino-4-cyanpyrazole. J. Heterocycl. Chem. 1980, 17, 265–266. [Google Scholar] [CrossRef]
- Purcell, W.P.; Bass, G.E.; Clayton, J.M. Strategy of Drug Design: A Guide to Biological Activity; Wiley: New York, NY, USA, 1973; pp. 131–133. [Google Scholar]
Sample Availability: Samples of the compounds mentioned above are available from the authors. |




| 99mTcN-MAG-ABCPP | 99mTcN-MAF-ABCPP | 99mTcN-MAA-ABCPP | |
| logP | -1.54 ± 0.02 | -1.18 ± 0.02 | -1.35 ± 0.01 |
| Tissue | 5 min | 30 min | 60 min | 120 min |
| Heart | 0.93 ± 0.11 | 0.32 ± 0.06 | 0.35 ± 0.02 | 0.37 ± 0.08 |
| Liver | 23.32 ± 1.32 | 23.88 ± 2.83 | 14.67 ± 0.87 | 12.84 ± 0.91 |
| Spleen | 19.90 ± 1.70 | 14.38 ± 1.64 | 8.16 ± 0.10 | 8.32 ± 1.05 |
| Lung | 4.53 ± 0.99 | 2.30 ± 0.60 | 0.86 ± 0.07 | 0.73 ± 0.41 |
| Kidney | 11.08 ± 1.13 | 5.06 ± 1.16 | 3.58 ± 0.21 | 3.35 ± 0.29 |
| Bone | 1.25 ± 0.74 | 0.95 ± 0.27 | 0.73 ± 0.28 | 0.86 ± 0.09 |
| Muscle | 0.72 ± 0.05 | 0.39 ± 0.08 | 0.34 ± 0.07 | 0.22 ± 0.03 |
| Stomach | 0.69 ± 0.12 | 0.54 ± 0.11 | 0.32 ± 0.04 | 0.09 ± 0.02 |
| Large Intestine | 1.62 ± 0.20 | 0.62 ± 0.08 | 0.68 ± 0.02 | 0.67 ± 0.06 |
| Small Intestine | 8.82 ± 1.29 | 3.42 ± 0.42 | 0.64 ± 0.08 | 0.62 ± 0.15 |
| Blood | 2.38 ± 0.17 | 0.77 ± 0.01 | 0.46 ± 0.04 | 0.38 ±0.01 |
| Brain | 0.13 ± 0.01 | 0.04 ± 0.004 | 0.08 ± 0.01 | 0.07 ± 0.01 |
| Tumor | 1.23 ± 0.13 | 1.16 ± 0.14 | 0.86 ± 0.14 | 0.45 ± 0.07 |
| T/M ratio | 1.71 | 2.97 | 2.49 | 2.01 |
| T/B ratio | 0.52 | 1.51 | 1.84 | 1.17 |
| Tissue | 5 min | 30 min | 120 min | 180 min |
| Heart | 0.82 ± 0.02 | 0.53 ± 0.09 | 0.35 ± 0.02 | 0.29 ± 0.04 |
| Liver | 20.12 ± 1.03 | 15.55 ± 1.33 | 14.46 ± 0.41 | 14.42 ± 0.89 |
| Spleen | 18.62 ± 1.11 | 16.39 ± 1.21 | 3.09 ± 0.41 | 4.25 ± 0.37 |
| Lung | 4.84 ± 0.56 | 4.11 ± 0.21 | 1.18 ± 0.25 | 0.89 ± 0.08 |
| Kidney | 10.25 ± 0.92 | 5.36 ± 0.38 | 3.42 ± 0.22 | 2.05 ± 0.30 |
| Bone | 1.02 ± 0.09 | 0.79 ± 0.08 | 0.62 ± 0.06 | 0.62 ± 0.07 |
| Muscle | 0.68 ± 0.02 | 0.28 ± 0.04 | 0.16 ± 0.06 | 0.17 ± 0.02 |
| Stomach | 5.12 ± 0.22 | 4.65 ± 0.42 | 2.62 ± 0.33 | 2.38 ± 0.05 |
| Large Intestine | 1.03 ± 0.10 | 0.33 ± 0.01 | 0.25 ± 0.03 | 0.50 ± 0.07 |
| Small Intestine | 1.45 ± 0.08 | 1.39 ± 0.04 | 0.31 ± 0.08 | 0.37 ± 0.06 |
| Blood | 2.45 ± 0.12 | 1.44 ± 0.05 | 0.94 ± 0.07 | 0.69 ± 0.05 |
| Brain | 0.12 ± 0.01 | 0.06 ± 0.006 | 0.05 ± 0.007 | 0.06 ± 0.01 |
| Tumor | 0.89 ± 0.07 | 0.74 ± 0.08 | 0.41 ± 0.01 | 0.45 ± 0.02 |
| T/M ratio | 1.31 | 2.56 | 2.63 | 2.57 |
| T/B ratio | 0.36 | 0.51 | 0.44 | 0.66 |
| Tissue | 5min | 30min | 60min | 120min |
| Heart | 1.09 ± 0.13 | 0.43 ± 0.08 | 0.32 ± 0.005 | 0.29 ± 0.02 |
| Liver | 24.76 ± 1.18 | 20.46 ± 2.20 | 22.47 ± 1.73 | 24.19 ± 3.07 |
| Spleen | 15.81 ± 1.73 | 6.87 ± 1.29 | 7.31 ± 0.58 | 7.85 ± 0.76 |
| Lung | 8.31 ± 0.59 | 2.94 ± 0.57 | 2.30 ± 0.10 | 2.67 ± 0.34 |
| Kidney | 5.58 ± 0.55 | 2.59 ± 0.24 | 2.33 ± 0.11 | 2.08 ± 0.27 |
| Bone | 0.89 ± 0.08 | 1.11 ± 0.13 | 0.57 ± 0.07 | 0.50 ± 0.03 |
| Muscle | 0.63 ± 0.05 | 0.34 ± 0.07 | 0.30 ± 0.08 | 0.17 ± 0.04 |
| Stomach | 3.74 ± 0.51 | 4.53 ± 0.31 | 3.43 ± 0.55 | 2.79 ± 0.41 |
| Large Intestine | 0.97 ± 0.16 | 0.48 ± 0.08 | 0.33 ± 0.02 | 0.43 ± 0.06 |
| Small Intestine | 5.17 ± 0.39 | 2.92 ± 0.22 | 1.79 ± 0.09 | 1.00 ± 0.14 |
| Blood | 2.85 ± 0.15 | 1.12 ± 0.11 | 0.74 ± 0.02 | 0.67 ± 0.07 |
| Brain | 0.12 ± 0.01 | 0.07 ± 0.01 | 0.05 ± 0.01 | 0.05 ± 0.008 |
| Tumor | 0.92 ± 0.03 | 0.81 ± 0.05 | 0.51 ± 0.03 | 0.42 ± 0.05 |
| T/M ratio | 1.47 | 2.32 | 1.72 | 2.47 |
| T/B ratio | 0.33 | 0.72 | 0.70 | 0.63 |
© 2010 by the authors; licensee MDPI, Basel, Switzerland. This article is an open access article distributed under the terms and conditions of the Creative Commons Attribution license (http://creativecommons.org/licenses/by/3.0/).
Share and Cite
Ding, R.; He, Y.; Xu, J.; Liu, H.; Wang, X.; Feng, M.; Qi, C.; Zhang, J. Synthesis and Biological Evaluation of Pyrazolo[1,5-a]-pyrimidine-containing 99mTc Nitrido Radiopharmaceuticals as Imaging Agents for Tumors. Molecules 2010, 15, 8723-8733. https://doi.org/10.3390/molecules15128723
Ding R, He Y, Xu J, Liu H, Wang X, Feng M, Qi C, Zhang J. Synthesis and Biological Evaluation of Pyrazolo[1,5-a]-pyrimidine-containing 99mTc Nitrido Radiopharmaceuticals as Imaging Agents for Tumors. Molecules. 2010; 15(12):8723-8733. https://doi.org/10.3390/molecules15128723
Chicago/Turabian StyleDing, Rui, Yong He, Jingli Xu, Hang Liu, Xiao Wang, Man Feng, Chuanmin Qi, and Junbo Zhang. 2010. "Synthesis and Biological Evaluation of Pyrazolo[1,5-a]-pyrimidine-containing 99mTc Nitrido Radiopharmaceuticals as Imaging Agents for Tumors" Molecules 15, no. 12: 8723-8733. https://doi.org/10.3390/molecules15128723
APA StyleDing, R., He, Y., Xu, J., Liu, H., Wang, X., Feng, M., Qi, C., & Zhang, J. (2010). Synthesis and Biological Evaluation of Pyrazolo[1,5-a]-pyrimidine-containing 99mTc Nitrido Radiopharmaceuticals as Imaging Agents for Tumors. Molecules, 15(12), 8723-8733. https://doi.org/10.3390/molecules15128723
