Trametes sp. as a Source of Biopolymer Cross-Linking Agents: Laccase Induced Gelation of Ferulated Arabinoxylans
Abstract
:1. Introduction
2. Results and Discussion
2.1. Laccase activity
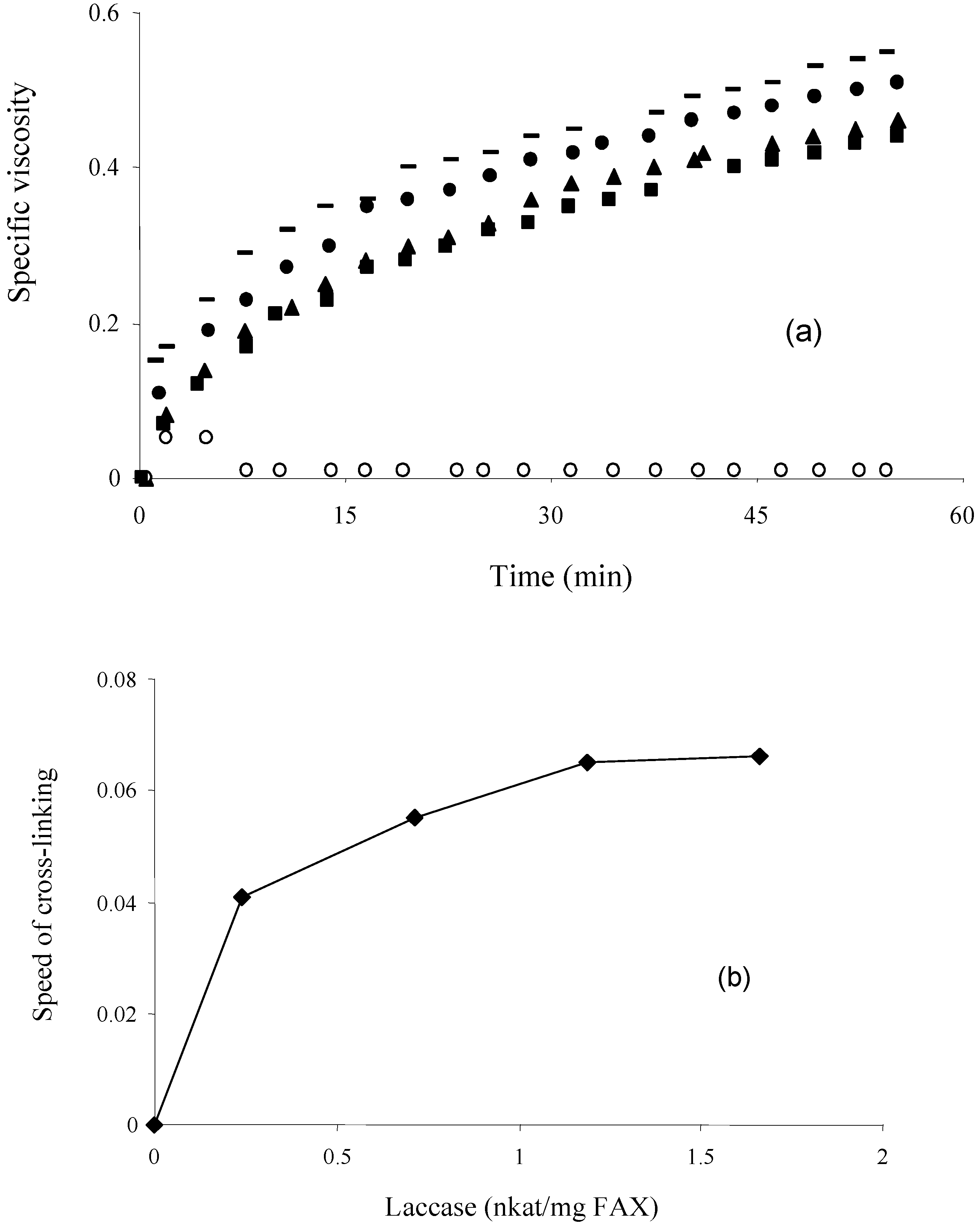
2.2. Laccase induced cross-linking of ferulated arabinoxylans


| Phenolic acids (µg/mg ferulated arabinoxylans) | Before gelation | After gelation |
|---|---|---|
| FA | 0.34 ± 0.01 | 0.06 ± 0.001 |
| di-FA | 0.77 ± 0.01 | 0.020 ± 0.001 |
| tri-FA | 0.39 ± 0.001 | 0.01 ± 0.001 |
3. Experimental
3.1. Materials
3.2. Methods
3.2.1. Culture conditions
3.2.2. Laccase activity
3.2.3. Protein content
3.2.4. Gelation kinetics
3.2.5. Cross-linking of ferulated arabinoxylans
3.2.6. Arabinoxylan gel cross-linking content
3.3. Statistical analysis
4. Conclusions
- Sample Availability: Samples of the compounds are available from the authors.
References
- Wu, J.; Xiao, Y.Z.; Yu, H.Q. Degradation of lignin in pulp mill wastewaters by white-rot fungi on biofilm. Bioresour. Technol. 2005, 96, 1357–1363. [Google Scholar]
- Bajpai, P. Biological bleaching of chemical pulps. Crit. Rev. Biotechnol. 2004, 24, 1–58. [Google Scholar]
- Read, N.D. Cellular Nature and Multicellular Morphogenesis of Higher Fungi. In Shape and Form in Plants and Fungi; Ingram, D.S., Hudson, A., Eds.; The Linnean Society of London, Academic Press: London, UK, 1994; p. 251. [Google Scholar]
- Shleev, S.; Persson, P.; Shumakovich, G.; Mazhugo, Y.; Yaropolov, A.; Ruzgas, T.; Gorton, L. Interaction of fungal laccases and laccase-mediator systems with lignin. Enzyme Microb. Technol. 2006, 39, 841–847. [Google Scholar]
- Rosales, E.; Rodríguez-Couto, S.; Sanromán, M.A. Increased laccase production by Trametes hirsuta grown on ground orange peelings. Enzyme Microb. Technol. 2006, 40, 1286–1290. [Google Scholar]
- Figueroa-Espinoza, M.C.; Rouau, X. Oxidative cross-linking of pentosans by a fungal laccase and a horseradish peroxidase: Mechanism of linkage between feruloylated arabinoxylans. Cereal Chem. 1998, 75, 259–265. [Google Scholar]
- Izydorczyk, M.S.; Biliaderis, C.G. Cereal arabinoxylans: Advances in structure and physicochemical properties. Carbohydr. Polym. 1995, 28, 33–48. [Google Scholar]
- Hatfield, R.D.; Ralph, J. Modelling the feasibilty of intramolecular dehydrodiferulate formation in grass walls. J. Sci. Food Agric. 1999, 79, 425–427. [Google Scholar]
- Carvajal-Millán, E.; Guigliarelli, B.; Belle, V.; Rouau, X.; Micard, V. Storage stability of laccase induced arabinoxylan gels. Carbohydr. Polym. 2005, 59, 181–188. [Google Scholar]
- Buchert, J.; Selinheimo, E.; Kruus, K.; Mattinen, M.L.; Lantto, R.; Autio, K. Cross-linking Enzymes in Food Processing. In Novel Enzyme Technology for Food Applications; Rastall, R., Ed.; Woodhead Publishing Ltd: Cambridge, UK, 2007; p. 336. [Google Scholar]
- Freddi, G.; Anghileri, A.; Sampaio, S.; Buchert, J.; Monti, P.; Taddei, P. Tyrosinase-catalyzed modification of bombyx mori silk fibroin: Grafting of chitosan under heterogenous reaction conditions. J. Biotechnol. 2006, 125, 281–294. [Google Scholar]
- Ryan, D.; Leukes, W.; Burton, S. Improving the bioremediation of phenolic wastewaters by Trametes versicolor. Biores. Tech. 2007, 98, 579–587. [Google Scholar]
- Lapierre, C.; Pollet, B.; Ralet, M.C.; Saulnier, L. The phenolic fraction of maize bran: evidence for lignin-heteroxylan association. Photochemistry 2001, 57, 765–772. [Google Scholar] [CrossRef]
- Carvajal-Millán, E.; Rascón-Chu, A.; Márquez-Escalante, J.; Ponce de León, N.; Micard, V.; Gardea, A. Maize bran gum: Extraction, characterization and functional properties. Carbohydr. Polym. 2007, 69, 280–285. [Google Scholar] [CrossRef]
- Bradford, M. A rapid and sensitive method for the quantification of microgram quantities of protein utilizing the principle of protein-dye binding. Analyt. Biochem. 1976, 72, 248–254. [Google Scholar] [CrossRef]
- Vansteenkiste, E.; Babot, C.; Rouau, X.; Micard, V. Oxidative gelation of feruloylated arabinoxylan as affected by protein. Influence on protein enzymatic hydrolysis. Food Hydrocolloid. 2004, 18, 557–564. [Google Scholar] [CrossRef]
© 2009 by the authors; licensee Molecular Diversity Preservation International, Basel, Switzerland. This article is an open-access article distributed under the terms and conditions of the Creative Commons Attribution license ( http://creativecommons.org/licenses/by/3.0/).
Share and Cite
Castillo, A.; Rascón-Chu, A.; Vargas, G.; Carvajal-Millán, E.; Valenzuela-Soto, E.; Sotelo-Mundo, R.R.; Martínez, A.L. Trametes sp. as a Source of Biopolymer Cross-Linking Agents: Laccase Induced Gelation of Ferulated Arabinoxylans. Molecules 2009, 14, 4159-4165. https://doi.org/10.3390/molecules14104159
Castillo A, Rascón-Chu A, Vargas G, Carvajal-Millán E, Valenzuela-Soto E, Sotelo-Mundo RR, Martínez AL. Trametes sp. as a Source of Biopolymer Cross-Linking Agents: Laccase Induced Gelation of Ferulated Arabinoxylans. Molecules. 2009; 14(10):4159-4165. https://doi.org/10.3390/molecules14104159
Chicago/Turabian StyleCastillo, Alva, Agustín Rascón-Chu, Georgina Vargas, Elizabeth Carvajal-Millán, Elisa Valenzuela-Soto, Rogerio R. Sotelo-Mundo, and Ana Luisa Martínez. 2009. "Trametes sp. as a Source of Biopolymer Cross-Linking Agents: Laccase Induced Gelation of Ferulated Arabinoxylans" Molecules 14, no. 10: 4159-4165. https://doi.org/10.3390/molecules14104159
APA StyleCastillo, A., Rascón-Chu, A., Vargas, G., Carvajal-Millán, E., Valenzuela-Soto, E., Sotelo-Mundo, R. R., & Martínez, A. L. (2009). Trametes sp. as a Source of Biopolymer Cross-Linking Agents: Laccase Induced Gelation of Ferulated Arabinoxylans. Molecules, 14(10), 4159-4165. https://doi.org/10.3390/molecules14104159

