Proteasome and NF-κB Inhibiting Phaeophytins from the Green Alga Cladophora fascicularis
Abstract
:Introduction
Results and Discussion




Experimental
General
Algal material
Extraction and isolation
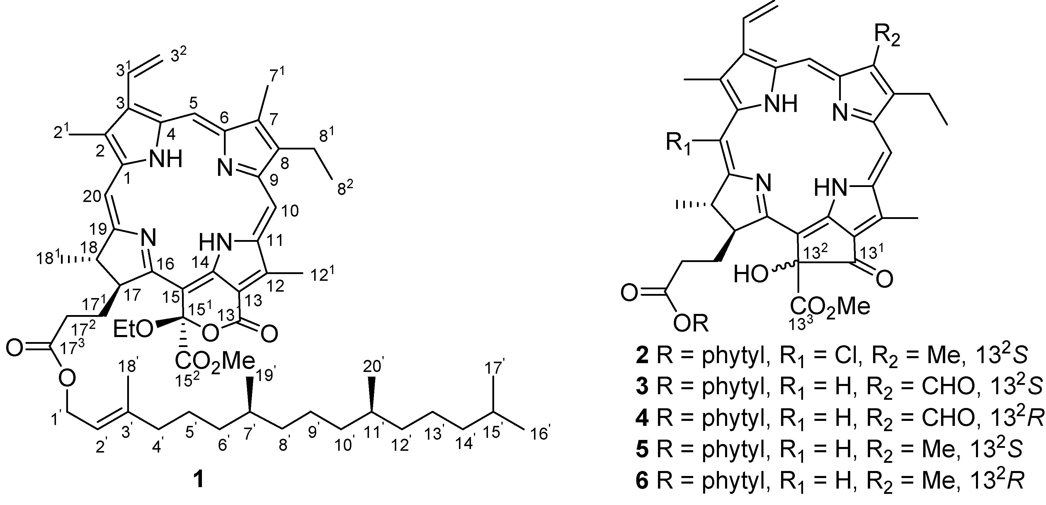
Chemical and physical data of porphyrinolactone (1)
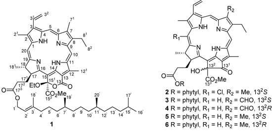
Chemical and physical data of 20-chloro-(132-S)-hydroxyphaeophytin A (2)
| No. | Compound 1 | Compound 2 | ||
|---|---|---|---|---|
| C | H | C | H | |
| 1 | 141.3 s | 137.9 s | ||
| 2 | 131.6 s | 132.2 s | ||
| 21 | 12.1 q | 3.47 s | 17.1 q | 3.64 s |
| 3 | 136.3 s | 139.9 s | ||
| 31 | 129.0 d | 8.02 dd 11.5, 17.5 | 129.5 d | 8.00 dd 11.5, 17.5 |
| 32 | 122.7 t | 6.20 dd 2.3, 17.5 6.36 dd 2.3, 11.5 | 125.0 t | 6.22 dd 2.3, 17.5 6.34 dd 2.3, 11.5 |
| 4 | 135.1 s | 133.7 s | ||
| 5 | 99.5 s | 9.55 s | 99.9 d | 9.72 s |
| 6 | 156.0 s | 154.1 s | ||
| 7 | 136.1 s | 137.3 s | ||
| 71 | 11.3 q | 3.29 s | 11.3 q | 3.32 s |
| 8 | 145.5 s | 144.9 s | ||
| 81 | 19.6 t | 3.76 q 7.0 | 19.5 t | 3.77 q 7.0 |
| 82 | 17.6 q | 1.73 t 7.0 | 17.4 q | 1.74 t 7.0 |
| 9 | 150.0 s | 152.1 s | ||
| 10 | 104.1 d | 9.78 s | 103.8 d | 9.72 s |
| 11 | 139.1 s | 139.5 s | ||
| 12 | 131.4 s | 131.0 s | ||
| 121 | 12.5 q | 3.94 s | 12.4 q | 3.78 s |
| 13 | 112.2 s | 128.1 s | ||
| 131 | 161.4 s | 191.8 s | ||
| 132 | 89.3 s | |||
| 133 | 172.8 s | |||
| 14 | 136.3 s | 149.0 s | ||
| 15 | 101.5 s | 108.3 s | ||
| 151 | 106.3 s | |||
| 152 | 169.1 s | |||
| 16 | 167.8 s | 162.9 s | ||
| 17 | 53.9 d | 4.82 d 7.0 | 51.8 d | 4.20 d 7.5 |
| 171 | 32.2 t | 1.90 m; 2.62 m | 31.6 t | 1.92 m; 2.60 m |
| 172 | 32.5 t | 2.21 m; 2.48 m | 30.8 t | 2.20 m; 2.46 m |
| 173 | 173.2 s | 173.5 s | ||
| 18 | 50.0 d | 4.45 q 7.0 | 50.0 d | 4.89 q 7.0 |
| 181 | 22.6 q | 1.62 d 7.0 | 19.7 q | 1.50 d 7.0 |
| 19 | 171.8 s | 171.2 s | ||
| 20 | 94.0 d | 8.75 s | 106.4s | |
| 1’ | 61.3 t | 4.43 d 7.0 | 61.6 t | 4.62 d 7.0 |
| 2’ | 117.8 d | 5.16 t 7.0 | 117.8 d | 5.26 t 7.0 |
| 3’ | 142.6 s | 142.8 s | ||
| 4’ | 39.8 t | 1.90 m | 39.8 t | 1.88 m |
| 5’ | 24.8 t | 1.60 m; 1.72 m | 24.8 t | 1.62 m; 1.70 m |
| 6’ | 36.6 t | 1.00 m; 1.20 m | 36.6 t | 1.00 m; 1.20 m |
| 7’ | 32.6 d | 1.30 m | 32.6 d | 1.32 m |
| 8’ | 37.4 t | 1.03 m; 1.26 m | 37.3 t | 1.03 m; 1.26 m |
| 9’ | 24.8 | 1.28 m | 25.0 t | 1.28 m |
| 10’ | 36.7 t | 1.26 m | 37.3 t | 1.26 m |
| 11’ | 32.6 d | 1.30 m | 32.8 d | 1.30 m; 1.26 m |
| 12’ | 37.3 t | 1.03 m; 1.26 m | 37.2 t | 1.03 m; 1.26 m |
| 13’ | 24.4 t | 1.60 m | 24.4 t | 1.60 m |
| 14’ | 39.4 t | 1.15 m | 39.3 t | 1.15 m |
| 15’ | 28.0 d | 1.51 m | 27.9 d | 1.50 m |
| 16’ | 22.7 q | 0.87 d 6.8 | 22.7 q | 0.87 d 6.8 |
| 17’ | 22.6 q | 0.87 d 6.8 | 22.6 q | 0.87 d 6.8 |
| 18’ | 16.2 q | 1.56 s | 16.3 q | 1.66 s |
| 19’ | 19.6 q | 0.76 d 6.5 | 19.6 q | 0.84 d 6.5 |
| 20’ | 19.7 q | 0.82 d 6.5 | 19.7 q | 0.83 d 6.5 |
Detection of NF-kB activity
Detection for proteasome ChT-L activity
Acknowledgements
References
- Duperon, R.; Thiersault, M.; Duperon, P. Occurrence of Steryl Glycosides and Acylated Steryl Glycosides in Some Marine Algae. Phytochemistry 1983, 22, 535–538. [Google Scholar] [CrossRef]
- Napoli, L.; Magno, S.; Mayol, L.; Novellino, E. Sterol Composition of Some Mediterranean Green Algae. Phytochemistry 1982, 21, 1993–1994. [Google Scholar] [CrossRef]
- Aknin, M.; Moellet-Nzaou, R.; Kornprobst, J. M.; Gaydou, E. M.; Samb, A.; Miralles, J. Sterol Composition of Twelve Chlorophyceae from the Senegalese Coast and Their Chemotaxonomic Significance. Phytochemistry 1992, 31, 4167–4169. [Google Scholar] [CrossRef]
- Elenkov, I.; Georgieva, T.; Dadjieva, P.; Dimitrova, S.; Dimitrova-Konaklieva, S.; Popov, S. Terpenoids and Sterols in Cladophora vagabunda. Phytochemistry 1995, 38, 457–459. [Google Scholar] [CrossRef]
- Koniyoshi, M.; Yamada, K.; Higa, T. Biologically Active Diphenyl Ether from the Green Alga Cladophora fascicularis. Experientia 1985, 41, 523–524. [Google Scholar] [CrossRef]
- Matsuo, A.; Ono, K.; Hamasaki, K.; Nozaki, H. Phaeophytins from A Cell Suspension Culture of the Liverwort Plagiochila ovalifolia. Phytochemistry 1996, 42, 427–430. [Google Scholar] [CrossRef] [PubMed]
- Buchanan, M. B.; Hashimoto, T.; Asakawa, Y. Phytyl Esters and Phaeophytins from the Hornwort Megaceros flagellaris. Phytochemistry 1996, 41, 1373–1376. [Google Scholar] [CrossRef]
- Senge, M.; Senger, H. Enzymic meso-Chlorination of Chlorphylls Using Chloroperoxidase. Biochim. Biophys. Acta 1989, 977, 177–186. [Google Scholar] [CrossRef]
- Nakatani, Y.; Ourisson, G.; Beck, J. P. Chemistry and Biochemistry of Chinese Drugs. VII Cytostatic Pheophytins from Silkworm Excreta and Derived Photocytotoxic Pheophorbides. Chem. Pharm. Bull. 1981, 29, 2261–2269. [Google Scholar]
- Hynninen, P. H.; Hyvaerinen, K. Tracing the Allomerization Pathways of Chlorophylls by 18O-Labeling and Mass Spectrometry. J. Org. Chem. 2002, 67, 4055–4061. [Google Scholar] [CrossRef] [PubMed]
- Riccardis, F.; Luigi, M. Marine Sterols. Side-Chain-Oxygenated Sterolds, Possibly of Abiotic Origin, from the New Caledonian Sponge Stelodoryx chlorophylla. J. Nat. Prod. 1993, 56, 282–287. [Google Scholar]
- Tang, H.; Yi, Y.; Yao, X.; Zhou, D.; Lu, T.; Jiang, Y. Studies on the Bioactive Steroid Constituents form Sargassum carpophllum. Chin. Pharm. J. 2002, 37, 262–265. [Google Scholar]
- Cabrera, C. M.; Seldes, A. M. Hydroperoxycycloartanes from Tillandsia recurvata. J. Nat. Prod. 1995, 58, 1920–1924. [Google Scholar] [CrossRef]
- Cabrera, C. M.; Gallo, M.; Seldes, A. M. Cycloartane Derivatives from Tillandsia usneoides. J. Nat. Prod. 1996, 59, 343–347. [Google Scholar] [CrossRef]
- Greca, M. D.; Fiorentino, A.; Monaco, P.; Previtera, L. Cycloartane Triterpenes from Juncus effusus. Phytochemistry 1994, 35, 1017–1022. [Google Scholar] [CrossRef]
- Li, G.; Wang, J.; Li, N.; Li, X. Cycloartane Triterpenoids from the Pericarp of Sphaerophysa salsula DC. J. Shengyang Pharma. Univ. 2003, 20, 252–254. [Google Scholar]
- Heinrich, M.; Bork, P. M.; Schmitz, L.; Rimpler, H.; Frei, B.; Sticher, O. Pheaophorbide A from Solanum diflorum Interferes with NF-κB Activation. Planta Med. 2001, 67, 156–157. [Google Scholar] [CrossRef] [PubMed]
- Cheng, H.; Wang, H.; Ito, J.; Bastow, K. F.; Tachibana, Y.; Nakanishi, Y.; Xu, Z.; Luo, T.; Lee, K. Cytotoxic Pheophorbide-Related Compounds from Clerodendrum calamitosum and C. cyrtophyllum. J. Nat. Prod. 2001, 64, 915–919. [Google Scholar] [CrossRef]
- Kisselev, A.F.; Goldberg, A. L. Proteasome Inhibitors: from Research Tools to Drug Candidates. Chem. Biol. 2001, 8, 739–758. [Google Scholar] [CrossRef] [PubMed]
- Elliott, P. J.; Zollner, T. M.; Boehncke, W. H. Proteasome Inhibition: A New Anti-Inflammatory Strategy. J. Mol. Med. 2003, 81, 235–245. [Google Scholar] [PubMed]
- Adams, J. Proteasome Inhibition: A Novel Approach to Cancer Therapy. Trends Mol. Med. 2002, 8S, 49–54. [Google Scholar] [CrossRef]
- Adams, J. The Proteasome: Structure, Function, and Role in the Cell. Cancer Treat Rev. Suppl 1 2003, 29, 3–9. [Google Scholar] [CrossRef]
- Um, J. H.; Kang, C. D.; Lee, B. G.; Kim, D. W.; Chung, B. S.; Kim, S. H. Increased and Correlated Nuclear Factor-Kappa B and Ku Autoantigen Activities are Associated with Development of Multidrug resistance. Oncogene 2001, 20, 6048–6056. [Google Scholar]
- Giuliano, K. A.; Dunlay, D. R. L.; Gough, A.; Volosky, J. M.; Zock, J.; Pavlakis, G. N.; Taylor, D. L. High-Content Screening: A New Approach to Easing Key Bottlenecks in the Drug Discovery Process. J. Biomol. Screen. 1997, 2, 249–259. [Google Scholar] [CrossRef]
- Vakkila, J.; DeMarco, R. A.; Lotze, M. T. Imaging Analysis of STAT1 and NF-κB Translocation in Dendritic Cells at the Single Cell Level. J. Immuno. Methods 2004, 294, 123–134. [Google Scholar] [CrossRef]
- Bo, X.; Monsarrat, B.; Gairin, J. E.; Girbal-Neuhauser, E. Effect of Ajoene, A Natural Antitumor Small Molecule, on Human 20S Proteasome Activity in Vitro and in Human Leukemic HL-60 Cells. Fundam. Clin. Pharmacol. 2004, 18, 171–180. [Google Scholar] [CrossRef] [PubMed]
- Sample availability: Samples are available from the authors
© 2007 by MDPI (http://www.mdpi.org). Reproduction is permitted for noncommercial purposes.
Share and Cite
Huang, X.; Li, M.; Xu, B.; Zhu, X.; Deng, Z.; Lin, W. Proteasome and NF-κB Inhibiting Phaeophytins from the Green Alga Cladophora fascicularis. Molecules 2007, 12, 582-592. https://doi.org/10.3390/12030582
Huang X, Li M, Xu B, Zhu X, Deng Z, Lin W. Proteasome and NF-κB Inhibiting Phaeophytins from the Green Alga Cladophora fascicularis. Molecules. 2007; 12(3):582-592. https://doi.org/10.3390/12030582
Chicago/Turabian StyleHuang, Xinping, Min Li, Bo Xu, Xiaobin Zhu, Zhiwei Deng, and Wenhan Lin. 2007. "Proteasome and NF-κB Inhibiting Phaeophytins from the Green Alga Cladophora fascicularis" Molecules 12, no. 3: 582-592. https://doi.org/10.3390/12030582
APA StyleHuang, X., Li, M., Xu, B., Zhu, X., Deng, Z., & Lin, W. (2007). Proteasome and NF-κB Inhibiting Phaeophytins from the Green Alga Cladophora fascicularis. Molecules, 12(3), 582-592. https://doi.org/10.3390/12030582

