Solution-phase Synthesis of a Combinatorial Library of 3-[4-(Coumarin-3-yl)-1,3-thiazol-2-ylcarbamoyl]propanoic acid Amides
Abstract
:Introduction
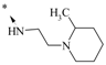
Results and Discussion

| Code | R1 | Yield, % (route ii) | Time of reaction | M.p. °C |
|---|---|---|---|---|
| 6{1} | H | 72 | 10 min | 260-61 |
| 6{2} | 8-OCH3 | 83 | 15 min | >300 |
| 6{3} | 6-Cl | 85 | 25 min | 276-78 |
| 6{4} | 7-OCH3 | 78 | 15 min | 215-16 |
| 6{5} | 8-OCH2CH3 | 76 | 15 min | 255-56 |
| IR-spectra | 1H-NMR -spectra | ||||||
|---|---|---|---|---|---|---|---|
| Code | ν N-H ν C-H | ν C=O ν C=N ν C=C | Coumarin ring, R1 | s, 1H, H-4 | s, 1H, H-5-thiazole | -CH2CH2- | NH, OH |
| 6{1} | 3455, | 1721, | 7.37 (t, 1Н, Н-6), | 8.56 | 7.95 | 2.52 (t, 2Н), 2.64 (t, 2Н) | 12.17 (s, 1H), 12.34 (s, 1H) |
| 3412, | 1684, | 7.45 (d, 1Н, Н-8), | |||||
| 3142, | 1608, | 7.63 (t, 1Н, Н-7), | |||||
| 2980 | 1574 | 7.82 (d, 1H, Н-5) | |||||
| 6{2} | 3445, | 1723, | 3.92 (s, 3Н, OCH3), | 8.54 | 7.96 | 2.50 (t, 2Н), 2.67 (t, 2Н) | 12.15 (s, 1H), 12.33 (s, 1H) |
| 3140, | 1686 | 7.33 (m, 3H, Ar) | |||||
| 2966 | 1579 | ||||||
| 6{3} | 3447, | 1706, | 7.45 (d, 1Н, H-8), | 8.47 | 7.94 | 2.57 (t, 2Н), 2.69 (t, 2Н) | 12.22 (s, 1H), 12.33 (s, 1H) |
| 3134, | 1688 | 7.63 (dd, 1Н, H-7), | |||||
| 3050, | 1560 | 7.95 (d, 1H, H-5) | |||||
| 2828 | |||||||
| 6{4} | 3420, | 1708, | 3.87 (s, 3Н, OCH3), | 8.51 | 7.87 | 2.50 (t, 2Н), 2.64 (t, 2Н) | 12.15 (s, 1H), 12.33 (s, 1H) |
| 3300, | 1671, | 6.97 (dd, 1Н, H-6), | |||||
| 3063, | 1612, | 7.06 (s, 1Н, H-8), | |||||
| 2891 | 1555 | 7.72 (d, 1H, H-5) | |||||
| 6{5} | 3441, | 1726, | 1.33 (t, 3H, OСН2СН3), | 8.54 | 7.95 | 2.53 (t, 2Н), 2.64 (t, 2Н) | 12.15 (s, 1H), 12.33 (s, 1H) |
| 3151, | 1687, | 4.15 (q, 2H, OСН2СН3), | |||||
| 2985, | 1578 | ||||||
| 2893 | 7.32 (m, 3H, Ar) | ||||||

Conclusions
| code | Structure | Molecular formula, M.w. | M.p., °C | Yield, % | N, %, calc/found | IR-spectral data | ||
|---|---|---|---|---|---|---|---|---|
| R1=H | ν N-H | ν C=O | ν C=N ν C=C | |||||
| 9{1} | ![]() | C23H25N3O4S | 262-63 | 77 | 9.56 | 3320 | 1696 | 1642 |
| 439.54 | 9.60 | 1604 | ||||||
| 1538 | ||||||||
| 9{2} | ![]() | C23H23N3O4S | 278-80 | 85 | 9.88 | 3316 | 1696 | 1644 |
| 425.51 | 9.85 | 3292 | 1604 | |||||
| 1537 | ||||||||
| 9{3} | ![]() | C23H18ClN3O4S | 244-46 | 65 | 8.98 | 3317 | 1696 | 1643 |
| 467.93 | 9.01 | 3292 | 1604 | |||||
| 1538 | ||||||||
| 9{4} | ![]() | C26H25N3O6S | 507.57 | 73 | 8.28 | 3344 | 1719 | 1641 |
| 507.57 | 8.30 | 1686 | 1605 | |||||
| 1547 | ||||||||
| 9{5} | ![]() | C20H19N3O5S | 273-75 | 60 | 10.16 | 3176 | 1719 | 1627 |
| 413.46 | 10.15 | 1648 | ||||||
| 1527 | ||||||||
| 9{6} | ![]() | C25H21N3O4S | 259-61 | 78 | 9.14 | 3423 | 1711 | 1616 |
| 459.53 | 9.15 | 3256 | 1546 | |||||
| 9{7} | ![]() | C28H28N4O4S | 243-45 | 92 | 11.15 | 3407 | 1695 | 1641 |
| 516.62 | 11.14 | 3314 | 1544 | |||||
| 3295 | ||||||||
| 9{8} | ![]() | C23H26N4O5S | 239-41 | 90 | 11.91 | 3407 | 1699 | 1656 |
| 470.55 | 11.88 | 3340 | 1553 | |||||
| 3244 | ||||||||
| 9{9} | ![]() | C26H32N4O5S | 182-84 | 65 | 10.93 | 3254 | 1728 | 1640 |
| 512.63 | 10.94 | 1605 | ||||||
| 1549 | ||||||||
| 9{10} | ![]() | C25H21N3O7S | 253-55 | 73 | 8.28 | 3255 | 1720 | 1647 |
| 507.53 | 8.31 | 1604 | ||||||
| 1577 | ||||||||
| 9{11} | ![]() | C23H25N3O4S | 252-53 | 89 | 7.82 | 3344 | 1710 | 1634 |
| 439.54 | 7.82 | 1688 | 1607 | |||||
| 1577 | ||||||||
| 9{12} | ![]() | C21H21N3O6S | 272-73 | 63 | 9.48 | 3245 | 1710 | 1628 |
| 443.48 | 9.50 | 1691 | 1573 | |||||
| 9{13} | ![]() | C26H25N3O5S | 252-54 | 76 | 8.55 | 3408 | 1700 | 1642 |
| 491.57 | 8.54 | 3294 | 1545 | |||||
| 9{14} | ![]() | C25H22ClN3O5S | 275-77 | 72 | 8.21 | 3292 | 1700 | 1647 |
| 511.99 | 8.23 | 1572 | ||||||
| 1548 | ||||||||
| 9{15} | ![]() | C24H27N3O5S | 257-59 | 58 | 8.95 | 3430 | 1688 | 1637 |
| 469.56 | 8.97 | 3301 | 1545 | |||||
| 9{16} | ![]() | C23H24N4O6S | 306-08 | 47 | 11.24 | 3448 | 1726 | 1656 |
| 484.53 | 11.27 | 3252 | 1694 | 1624 | ||||
| 3223 | 1550 | |||||||
| 9{17} | ![]() | C22H19N3O6S | 281-82 | 63 | 9.27 | 3355 | 1719 | 1650 |
| 453.48 | 8.28 | 3236 | 1686 | 1571 | ||||
| 1547 | ||||||||
| 9{18} | ![]() | C24H20ClN3O5S | 282-83 | 68 | 8.44 | 3426 | 1700 | 1639 |
| 497.96 | 8.43 | 3293 | 1575 | |||||
| 1545 | ||||||||
| 9{19} | ![]() | C26H23N3O5S | 259-60 | 73 | 8.58 | 3408 | 1721 | 1627 |
| 489.55 | 8.58 | 3236 | 1688 | 1544 | ||||
| 9{20} | ![]() | C28H27ClN4O4S | 274-75 | 83 | 8.90 | 3407 | 1704 | 1649 |
| 491.92 | 8.94 | 3334 | 1547 | |||||
| 3244 | ||||||||
| 9{21} | ![]() | C28H27N4O4S | 259-60 | 87 | 10.17 | 3448 | 1736 | 1666 |
| 551.07 | 10.18 | 3255 | 1556 | |||||
| 9{22} | ![]() | C24H19Cl2N3O4S | 246-47 | 76 | 8.14 | 3360 | 1726 | 1657 |
| 516.41 | 8.15 | 1640 | ||||||
| 1557 | ||||||||
| 1534 | ||||||||
| 9{23} | ![]() | C23H24ClN3O4S | 255-56 | 69 | 8.87 | 3252 | 1734 | 1657 |
| 473.98 | 8.91 | 1632 | ||||||
| 1556 | ||||||||
| 1547 | ||||||||
| 9{24} | ![]() | C23H25ClN4O4S | 229-30 | 56 | 11.46 | 3366 | 1704 | 1659 |
| 489.00 | 11.45 | 3348 | 1552 | |||||
| 3238 | ||||||||
| 9{25} | ![]() | C26H24ClN3O6S | 243-45 | 74 | 7.75 | 3360 | 1729 | 1547 |
| 542.01 | 7.74 | 3179 | 1655 | |||||
| 9{26} | ![]() | C23H25N3O5S | 270-72 | 66 | 9.22 | 3292 | 1708 | 1644 |
| 455.54 | 9.22 | 3228 | 1684 | 1612 | ||||
| 1564 | ||||||||
| 1540 | ||||||||
| 9{27} | ![]() | C25H22ClN3O5S | 249-50 | 72 | 8.21 | 3324 | 1716 | 1664 |
| 511.99 | 8.25 | 3288 | 1648 | |||||
| 3256 | 1552 | |||||||
| 9{28} | ![]() | C25H30N4O5S | 196-98 | 56 | 11.24 | 3360 | 1716 | 1648 |
| 498.61 | 11.21 | 3248 | 1688 | 1620 | ||||
| 1560 | ||||||||
| 9{29} | ![]() | C22H19N3O6S | 307-08 | 63 | 9.27 | 3360 | 1716 | 1648 |
| 453.48 | 9.31 | 3232 | 1688 | 1616 | ||||
| 1548 | ||||||||
| 1540 | ||||||||
| 9{30} | ![]() | C23H21N3O6S | 277-79 | 82 | 8.99 | 3364 | 1724 | 1648 |
| 467.50 | 8.98 | 3236 | 1712 | 1616 | ||||
| 1688 | 1548 | |||||||
| 9{31} | ![]() | C22H31N3O5S | 267-68 | 66 | 9.52 | 3228 | 1708 | 1648 |
| 441.51 | 9.50 | 1696 | 1620 | |||||
| 1684 | 1540 | |||||||
| 9{32} | ![]() | C28H27N3O5S | 301-02 | 79 | 8.12 | 3308 | 1720 | 1616 |
| 517.61 | 8.16 | 1696 | 1604 | |||||
| 1540 | ||||||||
| 9{33} | ![]() | C22H23N3O5S | 210-12 | 71 | 10.64 | 3208 | 1708 | 1616 |
| 526.66 | 10.65 | 1684 | 1604 | |||||
| 1544 | ||||||||
| 9{34} | ![]() | C25H30N4O5S | 208-10 | 53 | 11.24 | 3332 | 1708 | 1648 |
| 498.61 | 11.28 | 3280 | 1684 | 1616 | ||||
| 1604 | ||||||||
| 1572 | ||||||||
| 1544 | ||||||||
| 9{35} | ![]() | C29H32N4O5S | 230-32 | 87 | 10.21 | 3356 | 1720 | 1644 |
| 548.67 | 10.23 | 1688 | 1604 | |||||
| 1552 | ||||||||
| 9{36} | ![]() | C26H32N4O5S | 213-15 | 62 | 10.93 | 3304 | 1720 | 1652 |
| 512.63 | 10.95 | 1700 | 1604 | |||||
| 1572 | ||||||||
| 9{37} | ![]() | C23H26N4O5S | 259-61 | 56 | 11.91 | 3439 | 1717 | 1624 |
| 470.55 | 11.96 | 3258 | 1695 | 1557 | ||||
Experimental
General
Route i
Route ii
| code | Coumarin ring, R1 | s, 1H, H-4 | s, 1H, H-5-thiazole | -CH2CH2- | NH | R2, R3 |
|---|---|---|---|---|---|---|
| 9{1} | 7.37 (t, 1Н, Н-6), 7.47 (d, 1Н, Н-8), | 8.55 | 7.65 | 2.38 (t, 2Н), | 7.81 (br.d, 1H), | 1.30 – 1.65 (m, 12Н), 3.68 (s, 1Н) |
| 7.63 (t, 1Н, Н-7), 7.83 (d, 1H, Н-5) | 2.65 (t, 2Н), | 12.30 (s, 1H) | ||||
| 9{2} | 7.38 (t, 1Н, Н-6), 7.44 (d, 1Н, Н-8), | 8.52 | 7.96 | 2.38 (t, 2Н), | 7.73 (br.d, 1H), | 1.10 (m, 5Н), 1.60 (m, 5Н), 3.48 (s, 1Н) |
| 7.63 (t, 1Н, Н-7), 7.83 (d, 1H, Н-5) | 2.65 (t, 2Н) | 12.41 (s, 1H) | ||||
| 9{3} | 7.35 (t, 1Н, Н-6), 7.43 (d, 1Н, Н-8), | 8.56 | 7.77 | 2.38 (t, 2Н), | 8.44 (br.d, 1H), | 4.32 (d, 2Н, CH2), 7.30 (m, 4Н, Ar) |
| 7.63 (t, 1Н, Н-7), 7.83 (d, 1H, Н-5) | 2.65 (t, 2Н) | 12.18 (s, 1H) | ||||
| 9{4} | 7.35 (t, 1Н, Н-6), 7.46 (d, 1Н, Н-8), | 8.51 | 7.99 | 2.52 (t, 2Н), | 7.99 (br.d, 1H), | 2.60 (t, 2Н, CH2CH2), 3.20 (q, 2Н, CH2CH2), |
| 7.62 (t, 1Н, Н-7), 7.82 (d, 1H, Н-5) | 2.78 (t, 2Н) | 12.30 (s, 1H) | 3.70 (s, 6Н, 2OCH3), 6.40 (d, 1Н), 6.65 (d, 2Н) | |||
| 9{5} | 7.36 (t, 1Н, Н-6), 7.42 (d, 1Н, Н-8), | 8.55 | 7.95 | 2.65 (t, 4Н) | 12.1 (s, 1H), | 3.47 (br.d, 8Н, 4CH2) |
| 7.60 (t, 1Н, Н-7), 7.79 (d, 1H, Н-5) | 12.18 (s, 1H) | |||||
| 9{6} | 7.39 (t, 1Н, Н-6), 7.46 (d, 1Н, Н-8), | 8.58 | 7.98 | 2.72 (m, 4Н) | 12.18 (s, 1H) | 2.89 (d, 2H, CH2), 3.69 (d, 2H, CH2), |
| 7.64 (t, 1Н, Н-7), 7.83 (d, 1H, Н-5) | 4.62 (d, 2H, CH2),7.18 (m, 4H, Ar) | |||||
| 9{7} | 7.37 (t, 1Н, Н-6), 7.44 (d, 1Н, Н-8), | 8.62 | 7.96 | 2.40 (t, 2Н), | 7.25 (m, 1Н), | 1.33 (t, 2H, CH2), 1.62 (d, 2H, CH2), |
| 7.63 (t, 1Н, Н-7), 7.82 (d, 1H, Н-5) | 2.65 (m, 2Н) | 12.23 (s, 1H) | 1.95 (t, 2H, CH2), 2.65 (m, 2H, CH2), | |||
| 3.37 (s, 2H, CH2Ar), 3.50 (m, 1Н, СH), | ||||||
| 7.25 (m, 5Н Ar) | ||||||
| 9{8} | 7.37 (t, 1Н, Н-6), 7.43 (d, 1Н, Н-8), | 8.54 | 7.94 | 2.43 (t, 2Н), | 7.69 (m, 1Н), | 1.53 (m, 2H, CH2), 2.26 (m, 6H, 3CH2), |
| 7.63 (t, 1Н, Н-7), 7.79 (d, 1H, Н-5) | 2.68 (t, 2Н) | 12.12 (s, 1H) | 3.07 (q, 2H, CH2), 3.55 (m, 4H, 2CH2) | |||
| 9{9} | 3.80 (s, 3Н, OCH3), 7.65 (m, 3H) | 8.55 | 7.99 | 2.38 (t, 2Н), | 7.87 (t, 1Н), | 0.60 (t, 3H, CH3), 1.07 (dt, 2H, CH2), |
| 2.65 (t, 2Н) | 1.40 (m, 1Н, CH), 1.45 (m, 4H, 2CH2), | |||||
| 1.75 (t, 2H, CH2), 2.70 (m, 4H 2CH2), | ||||||
| 3.05 (q, 2H, CH2) | ||||||
| 9{10} | 3.85 (s, 3Н, OCH3), 7.32 (m, 3H) | 8.52 | 7.99 | 2.40 (t, 2Н), | 8.35 (t, 1Н), | 4.15 (d, 2Н, CH2), 5.95 (s, 1Н, OCH2O), |
| 2.60 (t, 2Н) | 12.32 (s, 1H) | 6.37 (d, 1Н), 6.51 (d, 2Н) | ||||
| 9{11} | 3.91 (s, 3Н, OCH3), 7.32 (m, 3H) | 8.52 | 7.95 | 2.40 (t, 2Н), | 7.90 (br.t, 1H), | 2.65 (t, 2Н, CH2), 3.15 (q, 2Н, CH2), |
| 2.63 (t, 2Н) | 12.24 (s, 1H) | 3.66 (s, 3H, OCH3), 3.71 (s, 3Н, OCH3), | ||||
| 6.20 (d, 1Н), 6.78 (d, 2Н) | ||||||
| 9{12} | 3.89 (s, 3Н, OCH3), 7.28 (m, 3H) | 8.49 | 7.92 | 2.65 (s, 4Н), | 12.20 (s, 1H) | 3.45 (br.d, 8Н, 4CH2) |
| 9{13} | 3.94 (s, 3Н, OCH3), 7.31 (m, 3H) | 8.54 | 7.96 | 2.39 (t, 2Н), | 7.89 (m, 1H), | 2.65 (m, 2H, СН2), 3.15 (s, 2H, CH2), |
| 2.65 (t, 2Н) | 12.22 (s, 1H) | 7.06 (s, 4H) | ||||
| 9{14} | 3.92 (s, 3Н, OCH3), 7.27 (m, 3H) | 8.52 | 7.94 | 2.35 (t, 2Н), | 7.97 (br.t, 1H), | 2.78 (t, 2Н, CH2), 3.20 (s, 2H, CH2), |
| 2.62 (t, 2Н) | 12.19 (s, 1H) | 7.27 (m, 4Н) | ||||
| 9{15} | 3.94 (s, 3Н, OCH3), 7.30 (m, 3H) | 8.53 | 7.96 | 2.39 (t, 2Н), | 7.53 (br.d, 1H), | 0.80 (d, 3Н, СН3), 1.40 (m, 8H, 4СН2), |
| 2.65 (m, 2Н) | 12.25 (s, 1H) | 1.73 (m, 2Н, 2СН) | ||||
| 9{16} | 3.87 (s, 3Н, OCH3), 7.25 (m, 3H) | 8.49 | 7.93 | 2.59 (s, 4Н), | 12.12 (s, 1H) | 1.40 (m, 4H, 2CH2), 2.23 (t, 2Н, CH2), |
| 2.99 (t, 2Н, CH2), 4.23 (d, 1H, CH), | ||||||
| 6.72 (s, 1Н, NH), 7.20 (s, 1Н, NH) | ||||||
| 9{17} | 3.87 (s, 3Н, OCH3), 7.27 (m, 3H) | 8.49 | 7.93 | 2.46 (t, 2Н), | 8.34 (br.t, 1H), | 4.23 (d, 2H, CH2), 6.22 (d, 1H), 6.39 (t, 1H), |
| 2.67 (t, 2Н) | 12.18 (s, 1H) | 7.52 (d, 1Н) | ||||
| 9{18} | 3.88 (s, 3Н, OCH3), 7.30 (m, 3H) | 8.49 | 7.97 | 2.55 (t, 2Н), | 8.47 (br.t, 1H), | 4.29 (d, 2H, СН2), 7.30 (m, 4H) |
| 2.73 (t, 2Н) | 12.42 (s, 1H) | |||||
| 9{19} | 3.92 (s, 3Н, OCH3), 7.23 (m, 3H) | 8.53 | 7.94 | 2.63 (m, 4Н) | 12.18 (s, 1H) | 2.87 (d, 2H, CH2), 3.68 (d, 2H, CH2), |
| 4.62 (d, 2H, CH2), 7.12 (m, 4H) | ||||||
| 9{20} | 7.44 (d, 1Н, H-8), 7.71 (dd, 1Н, H-7), | 8.49 | 7.99 | 2.42 (t, 2Н), | 8.24 (br.t, 1H), | 2.12 (s, 3H, CH3), 4.15 (d, 2H, CH2), |
| 7.94 (d, 1H, H-5) | 2.65 (t, 2Н) | 12.21 (s, 1H) | 5.93 (d, 1H), 6.07 (d, 1H) | |||
| 9{21} | 7.39 (d, 1Н, H-8), 7.53 (dd, 1Н, H-7), | 8.52 | 7.99 | 2.45 (t, 2Н), | 7.62 (br.d, 1H), | 1.44 (m, 2H, CH2), 1.72 (m, 2H, CH2), |
| 7.89 (d, 1H, H-5) | 2.67 (t, 2Н) | 12.18 (s, 1H) | 2.04 (m, 2H, CH2), 2.75 (m, 2H, CH2), | |||
| 3.55 (m, 1Н, CH), 7.18 (q, 1Н), 7.26 (d, 4H) | ||||||
| 9{22} | 7.45 (d, 1Н, H-8), 7.61 (dd, 1Н, H-7), | 8.47 | 7.98 | 2.35 (t, 2Н), | 7.97 (m, 1H), | 2.79 (t, 2Н, CH2), 3.20 (s, 2H CH2), |
| 7.94 (d, 1H, H-5) | 2.63 (t, 2Н) | 12.22 (s, 1H) | 7.28 (m, 4Н) | |||
| 9{23} | 7.44 (d, 1Н, H-8), 7.62 (dd, 1Н, H-7), | 8.49 | 7.93 | 2.39 (t, 2Н), | 7.62 (d, 1Н), | 1.39 (m, 10Н, 5СН2), 1.72 (m, 2Н, СН2), |
| 7.93 (d, 1H, H-5) | 2.65 (t, 2Н) | 12.05 (s, 1H) | 3.68 (m, 1Н, СH) | |||
| 9{24} | 7.45 (d, 1Н, H-8), 7.62 (dd, 1Н, H-7), | 8.48 | 7.98 | 2.33 (m, 2Н), | 7.30 (br.t, 1H), | 1.25 (m, 2H, CH2), 1.49 (m, 2Н, CH2), |
| 7.93 (d, 1H, H-5) | 2.67 (t, 2Н) | 1.63 (m, 4Н, 2СН2), 2.32 (m, 6Н, 3CH2), | ||||
| 3.05 (q, 2Н, СH2) | ||||||
| 9{25} | 7.46 (d, 1Н, H-8), 7.65 (dd, 1Н, H-7), | 8.50 | 7.99 | 2.43 (m, 2Н), | 7.84 (br.t, 1H), | 2.65 (m, 2Н, СН2), 3.22 (m, 2H, CH2), |
| 7.94 (d, 1H, H-5) | 2.63 (m, 2Н) | 12.12 (s, 1H) | 3.71 (s, 6Н, 2OCH3), 6.70 (m, 3Н) | |||
| 9{26} | 3.92 (s, 3Н, OCH3), 6.97 (dd, 1Н, H-6), | 8.51 | 7.84 | 2.38 (m, 2Н), | 7.62 (br.d, 1H), | 1.10 (m, 5Н), 3.48 (s, 1Н), 1.60 (m, 5Н) |
| 7.03 (s, 1Н, H-8), 7.72 (d, 1H, H-5) | 2.65 (t, 2Н) | 12.01 (s, 1H) | ||||
| 9{27} | 3.89 (s, 3Н, OCH3), 6.97 (dd, 1Н, H-6), | 8.51 | 7.84 | 2.38 (m, 2Н), | 7.87 (br.t, 1H), | 2.83 (t, 2Н, CH2), 3.28 (q, 2H, CH2), |
| 7.03 (s, 1Н, H-8), 7.72 (d, 1H, H-5) | 2.65 (t, 2Н) | 12.09 (s, 1H) | 7.28 (m, 4Н) | |||
| 9{28} | 3.87 (s, 3Н, OCH3), 6.97 (dd, 1Н, H-6), | 8.51 | 7.84 | 2.38 (m, 2Н), | 7.60 (br.t, 1H), | 0.96 (d, 3Н, СН3), 1.15 - 3.05 (m, 13Н) |
| 7.03 (s, 1Н, H-8), 7.72 (d, 1H, H-5) | 2.65 (m, 2Н) | 12.05 (s, 1H) | ||||
| 9{29} | 3.87 (s, 3Н, OCH3), 6.97 (dd, 1Н, H-6), | 8.49 | 7.84 | 2.38 (m, 2Н), | 8.23 (br.t, 1H), | 4.24 (d, 2H, CH2), 6.21 (d, 1H), 6.39 (t, 1H), |
| 7.03 (s, 1Н, H-8), 7.72 (d, 1H, H-5) | 2.65 (m, 2Н) | 11.99 (s, 1H) | 7.49 (d, 1Н) | |||
| 9{30} | 3.85 (s, 3Н, OCH3), 6.97 (dd, 1Н, H-6), | 8.49 | 7.84 | 2.38 (m, 2Н), | 8.16 (br.t, 1H), | 2.09 (s, 3H, CH3), 4.15 (d, 2H, CH2), |
| 7.03 (s, 1Н, H-8), 7.72 (d, 1H, H-5) | 2.65 (m, 2Н) | 12.09 (s, 1H) | 5.93 (d, 1H), 6.07 (d, 1H) | |||
| 9{31} | 3.87 (s, 3Н, OCH3), 6.97 (dd, 1Н, H-6), | 8.52 | 7.85 | 2.38 (t, 2Н), | 7.64 (br.t, 1H), | 1.50 (m, 8Н, 4СН2), 3.97 (m, 1Н, СН) |
| 7.03 (s, 1Н, H-8), 7.72 (d, 1H, H-5) | 2.65 (t, 2Н) | 12.05 (s, 1H) | ||||
| 9{32} | 1.35 (t, 3H, OСН2СН3), | 8.53 | 7.92 | 2.48 (m, 2Н), | 8.11 (br.d, 1H), | 1.70 (m, 4H, 2СН2), 2.60 (m, 2Н, СН2), |
| 4.18 (q, 2H, OСН2СН3), | 2.72 (m, 2Н) | 12.12 (s, 1H) | 4.95 (s, 1Н, СН), 7.08 (m, 4Н) | |||
| 7.28 (m, 3H, Ar) | ||||||
| 9{33} | 1.35 (t, 3H, OCH2CH3), | 8.52 | 7.96 | 2.38 (t, 2Н), | 7.72 (br.t, 1H), | 0.64 (t, 3H, CH3), 1.07 (dt, 2H, CH2), |
| 4.19 (q, 2H, OCH2CH3), | 2.65 (t, 2Н) | 12.04 (s, 1H), | 1.40 (m, 1Н, CH), 1.45 (m, 4H, 2CH2), | |||
| 7.28 (m, 3H, Ar), | 1.75 (t, 2H, CH2), 2.70 (m, 4H 2CH2), | |||||
| 3.05 (q, 2H, CH2) | ||||||
| 9{34} | 1.40 (t, 3H, OCH2CH3), | 8.52 | 7.94 | 2.33 (m, 2Н), | 7.69 (br.t, 1H), | 1.63 (m, 8Н, 4CH2), 2.32 (m, 4Н, 2CH2), |
| 4.19 (q, 2H, OCH2CH3), | 2.65 (t, 2Н) | 12.05 (s, 1H) | 3.05 (q, 2Н, СH2) | |||
| 7.28 (m, 3H, Ar) | ||||||
| 9{35} | 1.35 (t, 3H, OCH2CH3), | 7.96 | 2.39 (m, 2Н), | 7.64 (br.t, 1H), | 1.02 (t, 3Н, CH3), 1.63 (m, 2H, CH2), | |
| 4.19 (q, 2H, OCH2CH3), | 2.65 (t, 2Н) | 12.11 (s, 1H), | 3.05 (d, 2Н, CH2), 3.20 (d, 2Н, CH2), | |||
| 7.31 (m, 3H, Ar), 8.52 (s, 1H, H-4) | 3.25 (q, 2Н, CH2), 6.53 (t, 2Н), 6.63 (d, 2Н), | |||||
| 7.11 (t, 2Н) | ||||||
| 9{36} | 1.35 (t, 3H, OCH2CH3), | 7.96 | 2.39 (m, 2Н), | 7.62 (br.t, 1H), | 0.96 (d, 3Н, CH3), 1.15 (m, 2H, CH2), | |
| 4.19 (q, 2H, OCH2CH3), | 2.65 (t, 2Н) | 12.09 (s, 1H) | 1.50 (m, 4H, 2CH2), 2.22 (m, 2H, CH2), | |||
| 7.34 (m, 3H, Ar), 8.52 (s, 1H, H-4) | 2.68 (m, 2H, CH2), 3.05 (m, 3Н, CH2 + CH) | |||||
| 9{37} | 1.39 (t, 3H, OCH2CH3), | 7.92 | 2.65 (s, 4Н) | 11.95 (s, 1H), | 2.09 (s, 4Н, CH2), 2.25 (s, 4Н, 2CH2), | |
| 4.19 (q, 2H, OCH2CH3), | 3.39 (s, 4Н, CH2) | |||||
| 7.34 (m, 3H, Ar), 8.51 (s, 1H, H-4) |
References
- Pifl, C.; Pichler, L.; Kobinger, W.; Hornykiewicz, O. Eur. J. Pharmacol. 1988, 153, 33–44. [PubMed]
- Schneider, C.S.; Mierau, J. J. Med. Chem. 1987, 30, 494–498. [PubMed]
- Clark, J.M.; Olsen, S.J.; Weinberg, D.S.; Dalvi, M.; Whitney, R.R.; Bonner, D.P.; Sykes, R.B. Antimicrob Agents Chemother 1987, 31, 226–269. [PubMed]
- Eriks, J.C.; Vandergoot, H.; Sterk, G.J.; Timmerman, H. J. Med. Chem. 1992, 35, 3239–3246. [PubMed]
- Voogd, C.E.; Van der Stel, J.J.; Verharen, H.W. Mutat Res. 1983, 118, 153–65. [PubMed]
- Greenaway, J.C.; Fantel, A.G.; Juchau, M.R. Toxicol Appl Pharmacol. 1986, 82, 307–315. [PubMed]
- Mndzhoyan, A.L.; Afrikyan, V.G. Izv. AN Armyan. SSR Ser. Khim. Nauk 1957, 10, 143–156.
- Mndzhoyan, A.L.; Apoyan, N.A.; Zhuruli, L.D.; Ter-Zakharyan, Yu. Zh. Biol. Svoistva Khim. Soedin., Akad. Nauk Arm. SSR, Inst. Tonkoi Organ. Khim. 1962, 219–233.
- Mndzhoyan, A.L.; Kaldrikyan, M.A.; Melik-Ogandzhanyan, R.G.; Aroyan, A.A. Azerb. Khim. Zh. 1967, 20, 51–60.
- Chernykh, V.P.; Kabachnyi, V.I.; Shapovalova, V.A.; Porokhnyak, L.A.; Savchenko, V.N. Khim.-pharm. Zh. 1989, 23, 825–828.
- Hui-Ling, Liu; Zongcheng, Li. Molecules 2000, 5, 1063–1069.
- Mndzhoyan, A. L.; Grigoryan, A.A. Docl. AN Armyan. SSR 1956, 22, 215–219.
- Ghate, R.V.; Bhide, B.V.I. J. Univ. Bombay, Sci. 1957, 25, 17–24.
- Cousse, H.; Mouzin, G. U. S. Patent 4246271, 1981.
- Lesimple, P.; Bigg, D.C.H. Synthesis 1991, 763–764.
- Dolzhenko, A.V.; Kolotova, N.V.; Koz’minykh, V.O.; Vasilyuk, M.V.; Kotegov, V.P.; Novoselova, G.N.; Syropyatov, B.Ya.; Vakhrin, M.I. Pharm. Chem. J. 2003, 37, 149–151.
- Priepke, H.; Kauffmann-Hefner, I.; Damm, K.; Schnapp, A. WO Patent 2003006443, 2003.
- Vijaykumar, P.R.; Vinod, Reddy; Rajeswar, Rao V. Indian J. Chem. 2003, 42, 1738–1741.
- Veerabhadraiah, U.; Rao, R.V.; Rao, P.T.V. Collect. Czech. Chem. Commun. 1990, 55, 535–539.
- Venugopala, K.N.; Jayashree, B.S. Indian J. Heterocycl. Chem. 2003, 12, 307–310.
- Chiarino, D.; Grancini, G.C.; Frigeni, V.; Carenzi, A. EP Patent 0284017, 1988.
- Vaccaro, W.; Yang, B.; Kim, S.; Huynh, T.; Leavitt, K.; Li, W. WO Patent 20044009017, 2004.
- Koelsch, C.F. J. Am. Chem. Soc. 1950, 72, 2993–2995.
- Pike, W.H. Ber. Dtsch. Chem. Ges. 1873, 6, 1104–1105.
- Kovalenko, S.N.; Chernykh, V.P.; Belokon, Y.V.; Orlenko, I.V.; Zhuravel’, I.A.; Nikitchenko, V.M.; Silin, A.V. Kazan. Med. Zh. 1995, 76, 189–193, [Biol. Abstr. 1995, 100, 160161]..
- Chernykh, V.P.; Gritsenko, I.S.; Gridasov, V.I.; Kovalenko, S.N.; Shemchuk, L.A.; Makurina, V.I.; Kolesnikova, T.A.; Sopel’nik, E.N.; Snitkovskii, E.L. Farmatsev. Zh. (Kiev) 1992, 4, 48–63, [Chem. Abstr. 1992, 116, 83562].
© 2005 by MDPI (http://www.mdpi.org). Reproduction is permitted for noncommercial purposes.
Share and Cite
Zhuravel, I.; Kovalenko, S.; Vlasov, S.; Chernykh, V. Solution-phase Synthesis of a Combinatorial Library of 3-[4-(Coumarin-3-yl)-1,3-thiazol-2-ylcarbamoyl]propanoic acid Amides. Molecules 2005, 10, 444-456. https://doi.org/10.3390/10020444
Zhuravel I, Kovalenko S, Vlasov S, Chernykh V. Solution-phase Synthesis of a Combinatorial Library of 3-[4-(Coumarin-3-yl)-1,3-thiazol-2-ylcarbamoyl]propanoic acid Amides. Molecules. 2005; 10(2):444-456. https://doi.org/10.3390/10020444
Chicago/Turabian StyleZhuravel, I., S. Kovalenko, S. Vlasov, and V. Chernykh. 2005. "Solution-phase Synthesis of a Combinatorial Library of 3-[4-(Coumarin-3-yl)-1,3-thiazol-2-ylcarbamoyl]propanoic acid Amides" Molecules 10, no. 2: 444-456. https://doi.org/10.3390/10020444
APA StyleZhuravel, I., Kovalenko, S., Vlasov, S., & Chernykh, V. (2005). Solution-phase Synthesis of a Combinatorial Library of 3-[4-(Coumarin-3-yl)-1,3-thiazol-2-ylcarbamoyl]propanoic acid Amides. Molecules, 10(2), 444-456. https://doi.org/10.3390/10020444





































