The Long-Term Clinical Course of Canine Degenerative Myelopathy and Therapeutic Potential of Curcumin
Abstract
:1. Introduction
2. Materials and Methods
2.1. Case Recruitment
2.2. Clinical Symptoms and Treatment
2.3. Statistical Analyses
3. Results
3.1. Cases
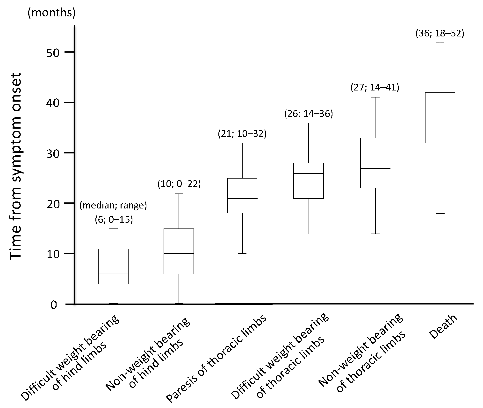
3.2. Clinical Symptom
3.3. Treatment
4. Discussion
5. Conclusions
Author Contributions
Funding
Institutional Review Board Statement
Informed Consent Statement
Data Availability Statement
Acknowledgments
Conflicts of Interest
Appendix A
- Profile of the case
- Age at onset
- Disease duration (from onset to death)
- Sex
- Dysfunction of gait
- The time from symptom onset to difficult weight bearing of hind limbs
- The time from symptom onset to nonweight bearing of hind limbs
- The time from symptom onset to paresis of thoracic limbs
- The time from symptom onset to difficult weight bearing of thoracic limbs
- The time from symptom onset to nonweight bearing of thoracic limbs
- The other abnormality
- The time from symptom onset to urinary disorder
- The time from symptom onset to fecal disorder
- The time from symptom onset to respiratory disorder
- Other clinical symptoms (If your dog has other symptoms, please provide details of the symptoms and the time from symptom onset.)
- Survival time
- The time from symptom onset to death
- Treatment (If your dog was being treated, please fill this out).
Appendix B
| No | Survival Time (Month) | Age at Death | Symptoms Other Than Gait Disorder | Administration of Curcumin |
|---|---|---|---|---|
| 1 | 25 | 15 years 6 months | Respiratory, Urinary, Fecal | |
| 2 | 50 | 14 years 2 months | Respiratory | |
| 3 | 34 | 14 years | Urinary, Fecal | |
| 4 | 22 | 14 years | Respiratory, | |
| 5 | 32 | 10 years 3 months | Respiratory, Urinary | |
| 6 | 33 | 14 years 11 months | Respiratory, Dysphonia | |
| 7 | 42 | 15 years 9 months | Respiratory, Urinary, Fecal | |
| 8 | 30 | 14 years 6 months | Respiratory, Urinary | |
| 9 | 52 | 15 years 9 months | Urinary | |
| 10 | 42 | 12 years 3 months | Respiratory | |
| 11 | 34 | 13 years | Respiratory, Urinary, Fecal | |
| 12 | 34 | 13 years 6 months | Urinary, Dysphagia | |
| 13 | 31 | 12 years 7 months | Urinary | |
| 14 | 36 | 15 years 4 months | Respiratory, Dysphonia | |
| 15 | 42 | 12 years 3 months | Respiratory, Urinary, Fecal, Dysphonia | curcumin |
| 16 | 36 | 13 years 4 months | Respiratory, Urinary, Fecal, Dysphagia | |
| 17 | 32 | 15 years | Respiratory, Urinary, Dysphonia | |
| 18 | 19 | 15 years 7 months | Respiratory | |
| 19 | 32 | 14 years 10 months | Respiratory, Urinary | |
| 20 | 38 | 14 years 4 months | Urinary, Fecal | |
| 21 | 43 | 13 years 6 months | Respiratory | |
| 22 | 41 | 14 years 6 months | Respiratory, Urinary, Fecal, Facial nerve | |
| 23 | 20 | 13 years 2 months | Respiratory | |
| 24 | 44 | 12 years 1 month | Respiratory, Urinary, Fecal | |
| 25 | 43 | 14 years 4 months | Respiratory, Urinary | |
| 26 | 29 | 12 years 1 month | Respiratory, Urinary, Fecal | |
| 27 | 41 | 12 years 9 months | Respiratory, Urinary, Fecal, Dysphonia | |
| 28 | 30 | 14 years 4 months | Respiratory, Urinary, Dysphonia | |
| 29 | 36 | 13 years 3 months | Respiratory, Urinary | curcumin |
| 30 | 32 | 13 years 1 month | Respiratory, Urinary, Fecal | |
| 31 | 35 | 13 years 1 month | Respiratory, Urinary | |
| 32 | 35 | 12 years 6 months | Urinary, Fecal | |
| 33 | 18 | 12 years | Respiratory, Urinary | |
| 34 | 38 | 12 years 8 months | Respiratory, Urinary, Fecal, Dysphagia | |
| 35 | 41 | 16 years 8 months | Respiratory, Urinary, Fecal, tongue | curcumin |
| 36 | 37 | 15 years 10 months | Respiratory, Urinary, Fecal, Dysphonia | curcumin |
| 37 | 47 | 13 years 6 months | Respiratory, Urinary, Fecal, Dysphonia, Tongue, Trigeminal nerve | curcumin |
| 38 | 46 | 16 years 1 month | Respiratory, Urinary, Tongue, Dysphonia | curcumin |
| 39 | 42 | 13 years 5 months | Respiratory, Urinary, Dysphonia, Tongue | curcumin |
| 40 | 44 | 14 years 8 months | Respiratory, Dysphonia, Tongue, Dysphagia | curcumin |
References
- Coates, J.R.; Wininger, F.A. Canine degenerative myelopathy. Vet. Clin. N. Am. Small Anim. Pract. 2010, 40, 929–950. [Google Scholar] [CrossRef]
- Awano, T.; Johnson, G.S.; Wade, C.M.; Katz, M.L.; Johnson, G.C.; Taylor, J.F.; Perloski, M.; Biagi, T.; Baranowska, I.; Long, S.; et al. Genome-wide association analysis reveals a SOD1 mutation in canine degenerative myelopathy that resembles amyotrophic lateral sclerosis. Proc. Natl. Acad. Sci. USA 2009, 106, 2794–2799. [Google Scholar] [CrossRef] [Green Version]
- Wininger, F.A.; Zeng, R.; Johnson, G.S.; Katz, M.L.; Johnson, G.C.; Bush, W.W.; Jarboe, J.M.; Coates, J.R. Degenerative myelopathy in a Bernese mountain Dog with a novel SOD1 missense mutation. J. Vet. Intern. Med. 2011, 25, 1166–1170. [Google Scholar] [CrossRef]
- Nardone, R.; Höller, Y.; Taylor, A.C.; Lochner, P.; Tezzon, F.; Golaszewski, S.; Brigo, F.; Trinka, E. Canine degenerative myelopathy: A model of human amyotrophic lateral sclerosis. Zoology 2016, 119, 64–73. [Google Scholar] [CrossRef]
- Gubbay, S.S.; Kahana, E.; Zilber, N.; Cooper, G.; Pintov, S.; Leibowitz, Y. Amyotrophic lateral sclerosis. A study of its presentation and prognosis. J. Neurol. 1985, 232, 295–300. [Google Scholar] [CrossRef]
- Byrne, S.; Walsh, C.; Lynch, C.; Bede, P.; Elamin, M.; Kenna, K.; McLaughlin, R.; Hardiman, O. Rate of familial amyotrophic lateral sclerosis: A systematic review and meta-analysis. J. Neurol. Neurosurg. Psychiatry 2011, 82, 623–627. [Google Scholar] [CrossRef]
- Huai, J.; Zhang, Z. Structural properties and interaction partners of familial ALS-associated SOD1 mutants. Front. Neurol. 2019, 10, 527. [Google Scholar] [CrossRef] [Green Version]
- Rosen, D.R.; Siddique, T.; Patterson, D.; Figlewicz, D.A.; Sapp, P.; Hentati, A.; Donaldson, D.; Goto, J.; O’Regan, J.P.; Deng, H.X. Mutations in Cu/Zn superoxide dismutase gene are associated with familial amyotrophic lateral sclerosis. Nature 1993, 362, 59–62. [Google Scholar] [CrossRef]
- Deng, H.X.; Hentati, A.; Tainer, J.A.; Iqbal, Z.; Cayabyab, A.; Hung, W.Y.; Getzoff, E.D.; Hu, P.; Herzfeldt, B.; Roos, R.P. Amyotrophic lateral sclerosis and structural defects in Cu, Zn superoxide dismutase. Science 1993, 261, 1047–1051. [Google Scholar] [CrossRef]
- Crisp, M.J.; Beckett, J.; Coates, J.R.; Miller, T.M. Canine degenerative myelopathy: Biochemical characterization of superoxide dismutase 1 in the first naturally occurring non-human amyotrophic lateral sclerosis model. Exp. Neurol. 2013, 248, 1–9. [Google Scholar] [CrossRef] [Green Version]
- Saccon, R.A.; Bunton-Stasyshyn, R.K.; Fisher, E.M.; Fratta, P. Is SOD1 loss of function involved in amyotrophic lateral sclerosis? Brain 2013, 136, 2342–2358. [Google Scholar] [CrossRef]
- Oyake, K.; Kobatake, Y.; Shibata, S.; Sakai, H.; Saito, M.; Yamato, O.; Kushida, K.; Maeda, S.; Kamishina, H. Changes in respiratory function in Pembroke Welsh Corgi dogs with degenerative myelopathy. J. Vet. Med. Sci. 2016, 78, 1323–1327. [Google Scholar] [CrossRef] [Green Version]
- Morgan, B.R.; Coates, J.R.; Johnson, G.C.; Bujnak, A.C.; Katz, M.L. Characterization of intercostal muscle pathology in canine degenerative myelopathy: A disease model for amyotrophic lateral sclerosis. J. Neurosci. Res. 2013, 91, 1639–1650. [Google Scholar] [CrossRef] [Green Version]
- Coates, J.R.; March, P.A.; Oglesbee, M.; Ruaux, C.G.; Olby, N.J.; Berghaus, R.D.; O’Brien, D.P.; Keating, J.H.; Johnson, G.S.; Williams, D.A. Clinical characterization of a familial degenerative myelopathy in Pembroke Welsh Corgi dogs. J. Vet. Intern. Med. 2007, 21, 1323–1331. [Google Scholar] [CrossRef]
- Zeng, R.; Coates, J.R.; Johnson, G.C.; Hansen, L.; Awano, T.; Kolicheski, A.; Ivansson, E.; Perloski, M.; Lindblad-Toh, K.; O’Brien, D.P.; et al. Breed distribution of SOD1 alleles previously associated with canine degenerative myelopathy. J. Vet. Intern. Med. 2014, 28, 515–521. [Google Scholar] [CrossRef] [Green Version]
- Chang, H.S.; Kamishina, H.; Mizukami, K.; Momoi, Y.; Katayama, M.; Rahman, M.M.; Uddin, M.M.; Yabuki, A.; Kohyama, M.; Yamato, O. Genotyping assays for the canine degenerative myelopathy-associated c.118G>A (p.E40K) mutation of the SOD1 gene using conventional and real-time PCR methods: A high prevalence in the Pembroke Welsh Corgi breed in Japan. J. Vet. Med. Sci. 2013, 75, 795–798. [Google Scholar] [CrossRef] [Green Version]
- Ahmadi, M.; Agah, E.; Nafissi, S.; Jaafari, M.R.; Harirchian, M.H.; Sarraf, P.; Faghihi-Kashani, S.; Hosseini, S.J.; Ghoreishi, A.; Aghamollaii, V.; et al. Safety and efficacy of nanocurcumin as add-on therapy to Riluzole in patients with amyotrophic lateral sclerosis: A pilot randomized clinical trial. Neurotherapeutics 2018, 15, 430–438. [Google Scholar] [CrossRef] [PubMed] [Green Version]
- Cudkowicz, M.E.; McKenna-Yasek, D.; Sapp, P.E.; Chin, W.; Geller, B.; Hayden, D.L.; Schoenfeld, D.A.; Hosler, B.A.; Horvitz, H.R.; Brown, R.H. Epidemiology of mutations in superoxide dismutase in amyotrophic lateral sclerosis. Ann. Neurol. 1997, 41, 210–221. [Google Scholar] [CrossRef]
- Nübling, G.S.; Mie, E.; Bauer, R.M.; Hensler, M.; Lorenzl, S.; Hapfelmeier, A.; Irwin, D.E.; Borasio, G.D.; Winkler, A.S. Increased prevalence of bladder and intestinal dysfunction in amyotrophic lateral sclerosis. Amyotroph. Lateral Scler. Frontotemporal. Degener. 2014, 15, 174–179. [Google Scholar] [CrossRef] [PubMed]
- Granger, N.; Olby, N.J.; Nout-Lomas, Y.S. Canine Spinal Cord Injury Consortium (CANSORT-SCI). Bladder and bowel management in dogs with spinal cord injury. Front. Vet. Sci. 2020, 7, 949–968. [Google Scholar] [CrossRef]
- March, P.A.; Coates, J.R.; Abyad, R.J.; Williams, D.A.; O’Brien, D.P.; Olby, N.J.; Keating, J.H.; Oglesbee, M. Degenerative myelopathy in 18 Pembroke Welsh Corgi dogs. Vet. Pathol. 2009, 46, 241–250. [Google Scholar] [CrossRef] [PubMed]
- Andrews, J.A.; Meng, L.; Kulke, S.F.; Rudnicki, S.A.; Wolff, A.A.; Bozik, M.E.; Malik, F.I.; Shefner, J.M. Association between decline in slow vital capacity and respiratory insufficiency, use of assisted ventilation, tracheostomy, or death in patients with amyotrophic lateral sclerosis. JAMA Neurol. 2018, 75, 58–64. [Google Scholar] [CrossRef] [Green Version]
- Alexander, G.M.; Erwin, K.L.; Byers, N.; Deitch, J.S.; Augelli, B.J.; Blankenhorn, E.P.; Heiman-Patterson, T.D. Effect of transgene copy number on survival in the G93A SOD1 transgenic mouse model of ALS. Brain. Res. Mol. Brain. Res. 2004, 130, 7–15. [Google Scholar] [CrossRef]
- Monroy, A.; Lithgow, G.J.; Alavez, S. Curcumin and neurodegenerative diseases. Biofactors 2013, 39, 122–132. [Google Scholar] [CrossRef]
- Bhatia, N.K.; Srivastava, A.; Katyal, N.; Jain, N.; Khan, M.A.; Kundu, B.; Deep, S. Curcumin binds to the pre-fibrillar aggregates of Cu/Zn superoxide dismutase (SOD1) and alters its amyloidogenic pathway resulting in reduced cytotoxicity. Biochim. Biophys. Acta 2015, 1854, 426–436. [Google Scholar] [CrossRef]
- Fang, W.; Nasir, Y. The effect of curcumin supplementation on recovery following exercise-induced muscle damage and delayed-onset muscle soreness: A systematic review and meta-analysis of randomized controlled trials. Phytother. Res. 2021, 35, 1768–1781. [Google Scholar] [CrossRef]
- Mañas-García, L.; Bargalló, N.; Gea, J.; Barreiro, E. Muscle phenotype, proteolysis, and atrophy signaling during reloading in mice: Effects of curcumin on the gastrocnemius. Nutrients 2020, 12, 388. [Google Scholar] [CrossRef] [PubMed] [Green Version]
- Ferguson, J.J.A.; Abbott, K.A.; Garg, M.L. Anti-inflammatory effects of oral supplementation with curcumin: A systematic review and meta-analysis of randomized controlled trials. Nutr. Rev. 2021, 79, 1043–1066. [Google Scholar] [CrossRef]
- Shokri-Mashhadi, N.; Bagherniya, M.; Askari, G.; Sathyapalan, T.; Sahebkar, A. A systematic review of the clinical use of curcumin for the treatment of osteoarthritis. Adv. Exp. Med. Biol. 2021, 1291, 265–282. [Google Scholar]
- Kathmann, I.; Cizinauskas, S.; Doherr, M.G.; Steffen, F.; Jaggy, A. Daily controlled physiotherapy increases survival time in dogs with suspected degenerative myelopathy. J. Vet. Intern. Med. 2006, 20, 927–932. [Google Scholar] [CrossRef] [PubMed]



| Symptoms | Prevalence (%) | Time from Symptom Onset (Range), Month |
|---|---|---|
| Respiratory disorder | 34/40 (85.0%) | 32 (14–45) |
| Urinary disorder | 31/40 (77.5%) | 22 (8–38) |
| Fecal disorder | 17/40 (42.5%) | 22 (8–37) |
| Dysphonia | 11/40 (27.5%) | 31 (19–38) |
| Tongue spasm | 5/40 (12.5%) | 42 (35–43) |
| Dysphagia | 4/40 (10.0%) | 34 (31–42) |
| Trigeminal nerve paralysis | 1/40 (2.5%) | 47 |
| Facial nerve paralysis | 1/40 (2.5%) | 39 |
| Time from Symptom Onset | Curcumin (Range), Months | Control (Range), Months | p-Value |
|---|---|---|---|
| Age at onset of clinical symptom(s) | 127 (105–153) | 128.5 (91–168) | 0.74 |
| Difficult weight bearing of hind limbs | 11.5 (8–15) | 5.5 (0–15) | 0.02 |
| Nonweight bearing of hind limbs | 15 (7–18) | 8 (0–22) | 0.02 |
| Paresis of thoracic limbs | 22.5 (16–30) | 21 (10–37) | 0.27 |
| Difficult weight bearing of thoracic limbs | 30 (27–33) | 24 (14–36) | 0.004 |
| Nonweight bearing of thoracic limbs | 34.5 (24–41) | 26 (14–40) | 0.007 |
| Respiratory failure | 35.5 (14–45) | 31 (17–45) | 0.73 |
| Survival time | 43 (36–47) | 34 (18–52) | - |
Publisher’s Note: MDPI stays neutral with regard to jurisdictional claims in published maps and institutional affiliations. |
© 2021 by the authors. Licensee MDPI, Basel, Switzerland. This article is an open access article distributed under the terms and conditions of the Creative Commons Attribution (CC BY) license (https://creativecommons.org/licenses/by/4.0/).
Share and Cite
Kobatake, Y.; Nakata, K.; Sakai, H.; Sasaki, J.; Yamato, O.; Takashima, S.; Nishii, N.; Maeda, S.; Islam, M.S.; Kamishina, H. The Long-Term Clinical Course of Canine Degenerative Myelopathy and Therapeutic Potential of Curcumin. Vet. Sci. 2021, 8, 192. https://doi.org/10.3390/vetsci8090192
Kobatake Y, Nakata K, Sakai H, Sasaki J, Yamato O, Takashima S, Nishii N, Maeda S, Islam MS, Kamishina H. The Long-Term Clinical Course of Canine Degenerative Myelopathy and Therapeutic Potential of Curcumin. Veterinary Sciences. 2021; 8(9):192. https://doi.org/10.3390/vetsci8090192
Chicago/Turabian StyleKobatake, Yui, Kohei Nakata, Hiroki Sakai, Jun Sasaki, Osamu Yamato, Satoshi Takashima, Naohito Nishii, Sadatoshi Maeda, Md Shafiqul Islam, and Hiroaki Kamishina. 2021. "The Long-Term Clinical Course of Canine Degenerative Myelopathy and Therapeutic Potential of Curcumin" Veterinary Sciences 8, no. 9: 192. https://doi.org/10.3390/vetsci8090192
APA StyleKobatake, Y., Nakata, K., Sakai, H., Sasaki, J., Yamato, O., Takashima, S., Nishii, N., Maeda, S., Islam, M. S., & Kamishina, H. (2021). The Long-Term Clinical Course of Canine Degenerative Myelopathy and Therapeutic Potential of Curcumin. Veterinary Sciences, 8(9), 192. https://doi.org/10.3390/vetsci8090192

