Random Search Walks Inside Absorbing Annuli
Abstract
1. Introduction
2. Random Search Model Inside Absorbing Annuli
3. Some Analytical Results in Limit Search Regimes
3.1. Ballistic Limit
3.2. Searches Starting Very Far from Both Annuli
3.3. Searches Starting Very near the Inner Annulus
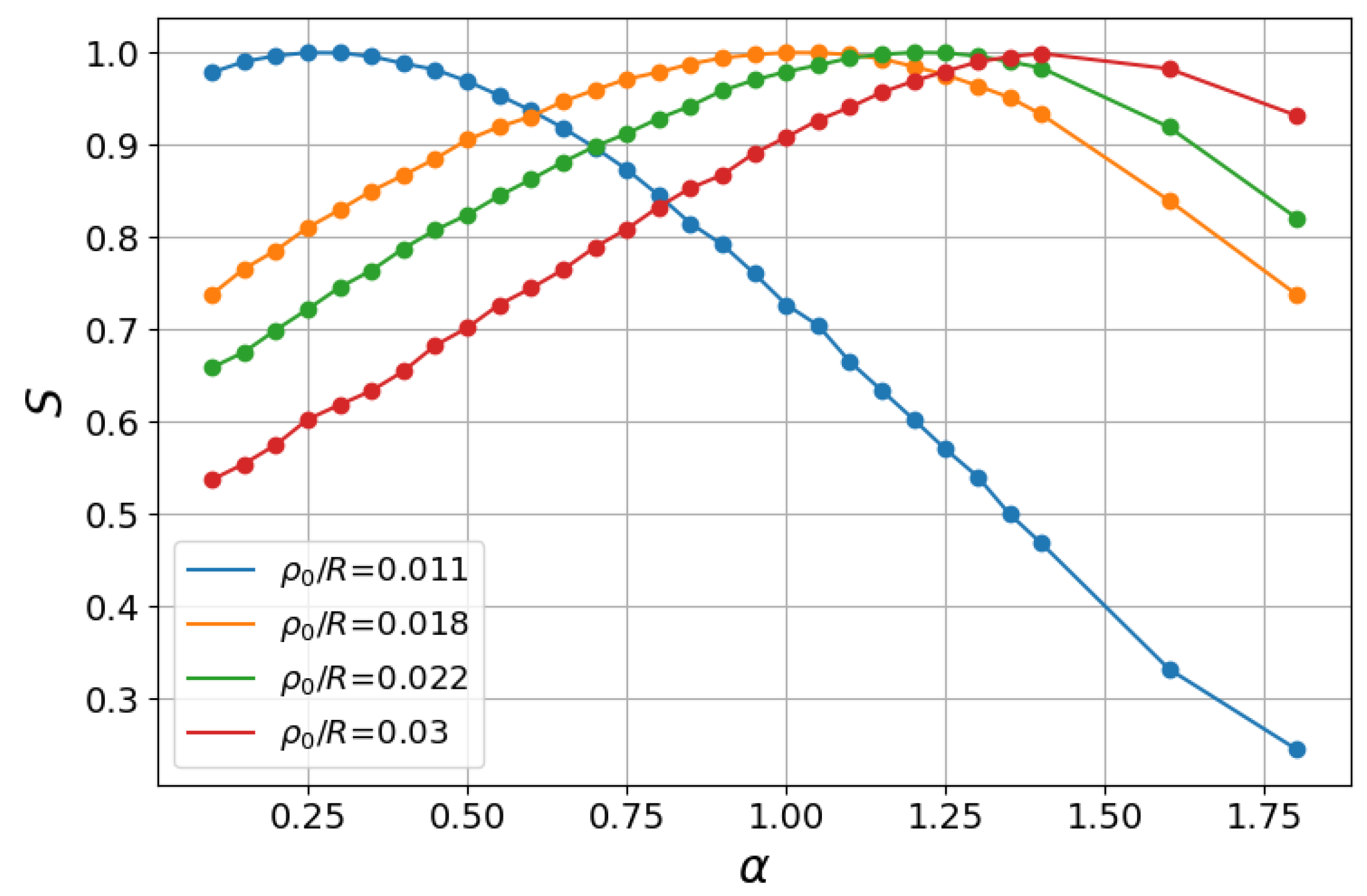
4. Results and Discussion
5. Final Remarks and Conclusions
Author Contributions
Funding
Institutional Review Board Statement
Informed Consent Statement
Data Availability Statement
Acknowledgments
Conflicts of Interest
References
- Grebenkov, D.; Metzler, R.; Oshanin, G. (Eds.) Target Search Problems; Springer: Berlin/Heidelberg, Germany, 2024. [Google Scholar]
- da Luz, M.G.E.; Grosberg, A.; Raposo, E.P.; Viswanathan, G.M. The Random Search Problem: Trends and Perspectives. J. Phys. A Math. Theor. 2009, 42, 430301. [Google Scholar] [CrossRef]
- Zaburdaev, V.; Denisov, S.; Klafter, J. Lévy walks. Rev. Mod. Phys. 2015, 87, 483. [Google Scholar] [CrossRef]
- Bénichou, O.; Loverdo, C.; Moreau, M.; Voituriez, R. Intermittent search strategies. Rev. Mod. Phys. 2011, 83, 81. [Google Scholar] [CrossRef]
- Méndez, V.; Campos, D.; Bartumeus, F. Stochastic Foundations in Movement Ecology; Springer: Berlin/Heidelberg, Germany, 2014. [Google Scholar]
- Viswanathan, G.M.; da Luz, M.G.E.; Raposo, E.P.; Stanley, H.E. The Physics of Foraging; Cambridge University Press: Cambridge, UK, 2011. [Google Scholar]
- Bae, Y.; Song, Y.; Jeong, H. Stochastic Resetting Mitigates Latent Gradient Bias of SGD from Label Noise. Mach. Learn. Sci. Technol. 2025, 6, 015062. [Google Scholar] [CrossRef]
- Nssibi, M.; Manita, G.; Korbaa, O. Advances in nature-inspired metaheuristic optimization for feature selection problem: A comprehensive survey. Comput. Sci. Rev. 2023, 49, 100559. [Google Scholar] [CrossRef]
- Formaglio, P.; Wosniack, M.E.; Tromer, R.M.; Zhong, H.; Raposo, E.P.; da Luz, M.G.E.; Amino, R. Plasmodium sporozoite search strategy to locate hotspots of blood vessel invasion. Nat. Commun. 2023, 14, 2965. [Google Scholar] [CrossRef] [PubMed]
- Jaiton, V.; Manoonpong, P. From Animals to Animats 17. SAB 2024; Brock, O., Krichmar, J., Eds.; Lecture Notes in Computer Science; Springer: Berlin/Heidelberg, Germany, 2025; Volume 14993. [Google Scholar]
- Viswanathan, G.M.; Buldyrev, S.V.; Havlin, S.; da Luz, M.G.E.; Raposo, E.P.; Stanley, H.E. Optimizing the success of random searches. Nature 1999, 401, 911. [Google Scholar] [CrossRef] [PubMed]
- Buldyrev, S.V.; Havlin, S.; Kazakov, A.Y.; da Luz, M.G.E.; Raposo, E.P.; Stanley, H.E.; Viswanathan, G.M. Average time spent by Lévy flights and walks on an interval with absorbing boundaries. Phys. Rev. E 2001, 64, 041108. [Google Scholar] [CrossRef] [PubMed]
- Buldyrev, S.V.; Gitterman, M.; Havlin, S.; Kazakov, A.Y.; da Luz, M.G.E.; Raposo, E.P.; Stanley, H.E.; Viswanathan, G.M. Properties of Lévy flights on an interval with absorbing boundaries. Physica A 2001, 302, 148. [Google Scholar] [CrossRef]
- Caramês, L.G.P.; Matos, Y.B.; Bartumeus, F.; Bezerra, C.G.; Macrì, T.; da Luz, M.G.E.; Raposo, E.P.; Viswanathan, G.M. Lévy walkers inside spherical shells with absorbing boundaries: Towards settling the optimal Lévy walk strategy for random searches. Phys. Rev. E 2022, 106, 054147. [Google Scholar] [CrossRef] [PubMed]
- Buldyrev, S.V.; Raposo, E.P.; Bartumeus, F.; Havlin, S.; Rusch, F.R.; da Luz, M.G.E.; Viswanathan, G.M. Comment on “Inverse square Lévy walks are not optimal search strategies for d ⩾ 2”. Phys. Rev. Lett. 2021, 126, 048901. [Google Scholar] [CrossRef] [PubMed]
- Levernier, N.; Textor, J.; Bénichou, O.; Voituriez, R. Inverse square Lévy walks are not optimal search strategies for d ⩾ 2. Phys. Rev. Lett. 2020, 124, 080601. [Google Scholar] [CrossRef] [PubMed]
- Levernier, N.; Textor, J.; Bénichou, O.; Voituriez, R. Reply to “Comment on ‘Inverse square Lévy walks are not optimal search strategies for d ≥ 2’”. Phys. Rev. Lett. 2021, 126, 048902. [Google Scholar] [CrossRef] [PubMed]
- Zolotarev, V.M.; Uchaikin, V.M. Chance and Stability; VSP BV: Utrecht, The Netherlands, 1999. [Google Scholar]
- Samorodnitsky, G.; Taqqu, M.S. Stable Non-Gaussian Random Processes; Chapman and Hall: New York, NY, USA, 1994. [Google Scholar]
- Paiva, L.R.; Marins, A.; Cristaldo, P.F.; Ribeiro, D.M.; Alves, S.G.; Reynolds, A.M.; DeSouza, O.; Miramontes, O. Scale-free movement patterns in termites emerge from social interactions and preferential attachments. Proc. Natl. Acad. Sci. USA 2021, 118, e2004369118. [Google Scholar] [CrossRef] [PubMed]
- Bartumeus, F.; Raposo, E.P.; Viswanathan, G.M.; da Luz, M.G.E. Stochastic optimal foraging: Tuning intensive and extensive dynamics in random searches. PLoS ONE 2014, 9, e106373. [Google Scholar] [CrossRef] [PubMed]
- Jeon, J.-H.; Monne, H.M.-S.; Javanainen, M.; Metzler, R. Diffusion of Integral Membrane Proteins in Protein-Rich Membranes. Phys. Rev. Lett. 2012, 109, 188103. [Google Scholar] [CrossRef] [PubMed]
- Monserud, J.H.; Schwartz, D.K. Interfacial molecular searching using forager dynamics. Phys. Rev. Lett. 2016, 116, 098303. [Google Scholar] [CrossRef] [PubMed]
- Rusch, F.; Wosniack, M.E.; Raposo, E.P.; Viswanathan, G.M.; da Luz, M.G.E. Transient dynamics in a nonequilibrium superdiffusive reaction-diffusion process: Nonequilibrium random search as a case study. Phys. Rev. E 2020, 102, 012126. [Google Scholar] [CrossRef] [PubMed]
- Mukherjee, S.; Singh, R.K.; James, M.; Ray, S.S. Anomalous diffusion and Lévy walks distinguish active from inertial turbulence. Phys. Rev. Lett. 2021, 127, 118001. [Google Scholar] [CrossRef] [PubMed]
- Barthelemy, P.; Bertolotti, J.; Wiersma, D.S. A Lévy flight for light. Nature 2008, 453, 495. [Google Scholar] [CrossRef] [PubMed]
- Li, J.; Wu, H.; Wang, Z.; Lin, S.; Lu, C.; Raposo, E.P.; Gomes, A.S.L.; Rao, Y. Lévy spectral intensity statistics in a Raman random fiber laser. Opt. Lett. 2019, 44, 2799. [Google Scholar] [CrossRef]
- Moura, A.L.; Carreño, S.J.; Pincheira, P.I.R.; Maia, L.J.Q.; Jerez, V.; Raposo, E.P.; Gomes, A.S.L.; de Araújo, C.B. Nonlinear effects and photonic phase transitions in Nd3+-doped nanocrystal-based random lasers. Appl. Opt. 2020, 59, D155. [Google Scholar] [CrossRef] [PubMed]
- Mantegna, R.N.; Stanley, H.E. Stochastic Process with Ultraslow Convergence to a Gaussian: The Truncated Lévy Flight. Phys. Rev. Lett. 1994, 73, 2946. [Google Scholar] [CrossRef] [PubMed]
- Koponen, I. Analytic approach to the problem of convergence of truncated Lévy flights towards the Gaussian stochastic process. Phys. Rev. E 1995, 52, 1197. [Google Scholar] [CrossRef] [PubMed]
- Rocha, E.C.; da Luz, M.G.E.; Raposo, E.P.; Viswanathan, G.M. Why Lévy α-stable distributions lack general closed-form expressions for arbitrary α. Phys. Rev. E 2019, 100, 010103(R). [Google Scholar] [CrossRef] [PubMed]
- Abramowitz, M.; Stegun, I.A. (Eds.) Handbook of Mathematical Functions; Dover: New York, NY, USA, 1964. [Google Scholar]
- Zoia, A.; Rosso, A.; Kardar, M. Fractional Laplacian in Bounded Domains. Phys. Rev. E 2007, 76, 021116. [Google Scholar] [CrossRef] [PubMed]
- Araújo, H.A.; Raposo, E.P. Lévy flights between absorbing boundaries: Revisiting the survival probability and the shift from the exponential to the Sparre-Andersen limit behavior. Phys. Rev. E 2016, 94, 032113. [Google Scholar] [CrossRef] [PubMed]
- Chambers, J.M.; Mallows, C.L.; Stuck, B.W. A Method for Simulating Stable Random Variables. J. Am. Stat. Assoc. 1976, 71, 340. [Google Scholar] [CrossRef]
- Pantaleo, E.; Facchi, P.; Pascazio, S. Simulations of Lévy flights. Phys. Scr. 2009, 2009, 014036. [Google Scholar] [CrossRef]
- Colaço, J.R.; Araújo, H.A.; da Luz, M.G.E.; Viswanathan, G.M.; Bartumeus, F.; Raposo, E.P. Effect of the search space dimensionality for finding close and faraway targets in random searches. Phys. Rev. E 2022, 106, 034124. [Google Scholar] [CrossRef] [PubMed]
- Attard, P. Thermodynamics and Statistical Mechanics: Equilibrium by Entropy Maximisation; Academic Press: London, UK, 2002. [Google Scholar]
- Wosniack, M.E.; Raposo, E.P.; Viswanathan, G.M.; da Luz, M.G.E. Efficient search of multiple types of targets. Phys. Rev. E 2015, 92, 062135. [Google Scholar] [CrossRef] [PubMed]
- Wosniack, M.E.; Santos, M.C.; Raposo, E.P.; Viswanathan, G.M.; da Luz, M.G.E. Robustness of optimal random searches in fragmented environments. Phys. Rev. E 2015, 91, 052119. [Google Scholar] [CrossRef] [PubMed]
- Niebuhr, B.B.S.; Santos, M.C.; Wosniack, M.E.; Raposo, E.P.; Viswanathan, G.M.; da Luz, M.G.E.; Pie, M.R. Survival in patchy landscapes: The interplay between dispersal, habitat loss and fragmentation. Sci. Rep. 2015, 5, 11898. [Google Scholar] [CrossRef] [PubMed]
- Rohwäder, M.-S.; Jeltsch, F. Foraging personalities modify effects of habitat fragmentation on biodiversity. Oikos 2022, 2022, e09056. [Google Scholar] [CrossRef]
- Nauta, J.; Simoens, P.; Khaluf, Y.; Martinez-Garcia, R. Group size and resource fractality drive multimodal search strategies: A quantitative analysis on group foraging. J. R. Soc. Interface 2022, 19, 20220103. [Google Scholar] [CrossRef] [PubMed]
- Crowther, M.S.; Rus, A.I.; Mella, V.S.A.; Krockenberger, M.B.; Lindsay, J.; Moore, B.D.; McArthur, C. Patch quality and habitat fragmentation shape the foraging patterns of a specialist folivore. Behav. Ecol. 2022, 33, 1007. [Google Scholar] [CrossRef] [PubMed]






Disclaimer/Publisher’s Note: The statements, opinions and data contained in all publications are solely those of the individual author(s) and contributor(s) and not of MDPI and/or the editor(s). MDPI and/or the editor(s) disclaim responsibility for any injury to people or property resulting from any ideas, methods, instructions or products referred to in the content. |
© 2025 by the authors. Licensee MDPI, Basel, Switzerland. This article is an open access article distributed under the terms and conditions of the Creative Commons Attribution (CC BY) license (https://creativecommons.org/licenses/by/4.0/).
Share and Cite
Bibiano-Filho, A.S.; de Freitas, J.F.O.; da Luz, M.G.E.; Viswanathan, G.M.; Raposo, E.P. Random Search Walks Inside Absorbing Annuli. Entropy 2025, 27, 758. https://doi.org/10.3390/e27070758
Bibiano-Filho AS, de Freitas JFO, da Luz MGE, Viswanathan GM, Raposo EP. Random Search Walks Inside Absorbing Annuli. Entropy. 2025; 27(7):758. https://doi.org/10.3390/e27070758
Chicago/Turabian StyleBibiano-Filho, Anderson S., Jandson F. O. de Freitas, Marcos G. E. da Luz, Gandhimohan M. Viswanathan, and Ernesto P. Raposo. 2025. "Random Search Walks Inside Absorbing Annuli" Entropy 27, no. 7: 758. https://doi.org/10.3390/e27070758
APA StyleBibiano-Filho, A. S., de Freitas, J. F. O., da Luz, M. G. E., Viswanathan, G. M., & Raposo, E. P. (2025). Random Search Walks Inside Absorbing Annuli. Entropy, 27(7), 758. https://doi.org/10.3390/e27070758

