Unveiling Multistability in Urban Traffic Through Percolation Theory and Network Analysis
Abstract
1. Introduction
2. Materials and Methods
2.1. Data Source
2.2. Method
3. Results
3.1. Non-Uniqueness of Percolation States
3.2. Multimodal Distribution of Network States Indicators
3.3. City-Specific Multistable States and Network Structures
3.4. Multistable States and Congested Road Segments
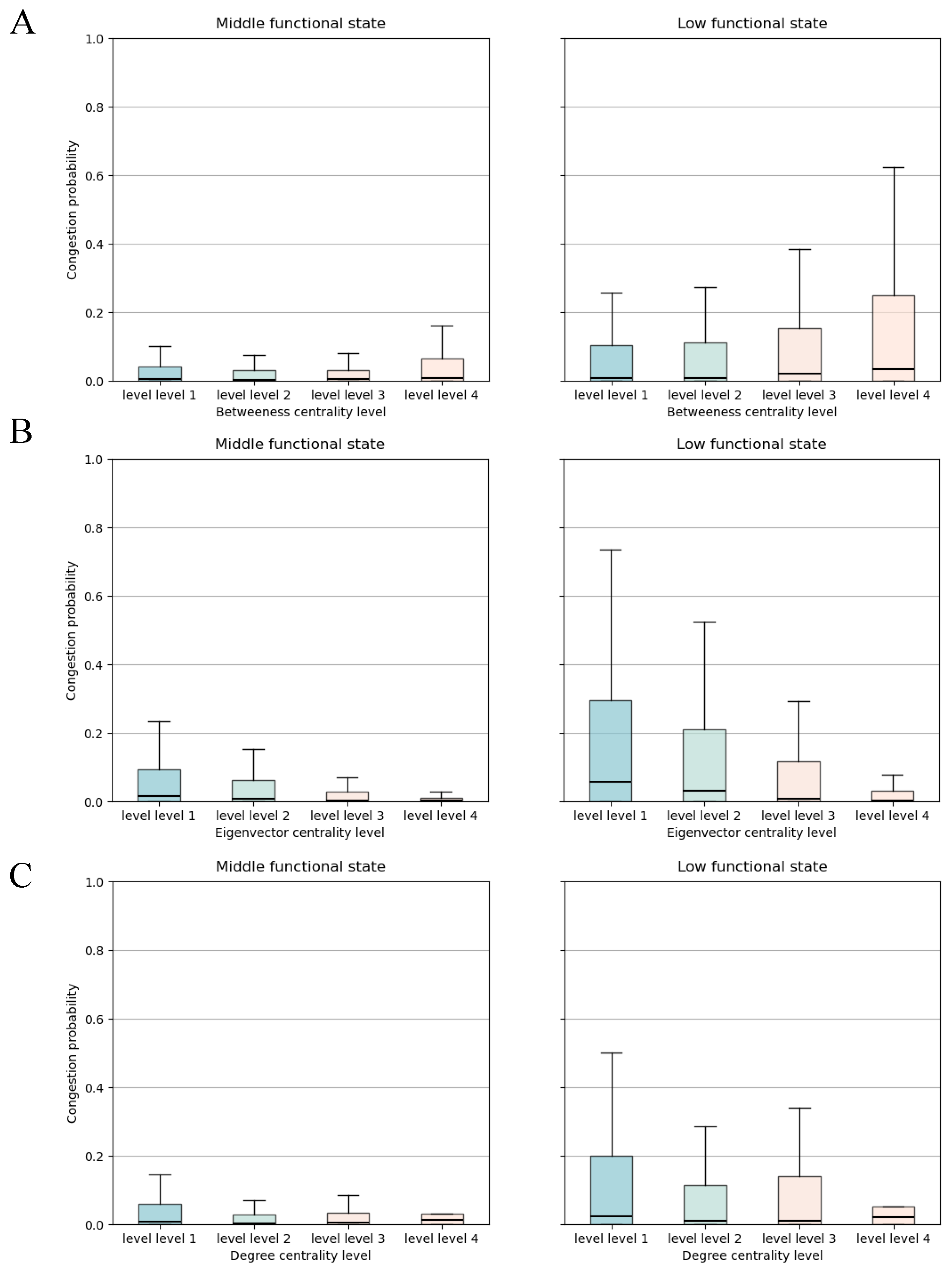
3.5. Predictive Power of Road Centrality in Network States
4. Discussion
Supplementary Materials
Author Contributions
Funding
Institutional Review Board Statement
Data Availability Statement
Acknowledgments
Conflicts of Interest
Abbreviations
| GDP | Gross Domestic Product |
| DBSCAN | Density-Based Spatial Clustering of Applications with Noise |
| XGBoost | eXtreme Gradient Boosting |
| AUC | Area Under the Curve |
| GNN | Graph Neural Networks |
References
- Lämmer, S.; Gehlsen, B.; Helbing, D. Scaling laws in the spatial structure of urban road networks. Phys. A Stat. Mech. Its Appl. 2006, 363, 89–95. [Google Scholar] [CrossRef]
- Karduni, A.; Kermanshah, A.; Derrible, S. A protocol to convert spatial polyline data to network formats and applications to world urban road networks. Sci. Data 2016, 3, 160046. [Google Scholar] [CrossRef] [PubMed]
- Zhao, J.; Li, D.; Sanhedrai, H.; Cohen, R.; Havlin, S. Spatio-temporal propagation of cascading overload failures in spatially embedded networks. Nat. Commun. 2016, 7, 10094. [Google Scholar] [CrossRef] [PubMed]
- Wei, X.; Ren, Y.; Shen, L.; Shu, T. Exploring the spatiotemporal pattern of traffic congestion performance of large cities in China: A real-time data based investigation. Environ. Impact Assess. Rev. 2022, 95, 106808. [Google Scholar] [CrossRef]
- Zhang, K.; Sejnowski, T.J. A universal scaling law between gray matter and white matter of cerebral cortex. Proc. Natl. Acad. Sci. USA 2000, 97, 5621–5626. [Google Scholar] [CrossRef]
- Bettencourt, L.M.; Lobo, J.; Helbing, D.; Kühnert, C.; West, G.B. Growth, innovation, scaling, and the pace of life in cities. Proc. Natl. Acad. Sci. USA 2007, 104, 7301–7306. [Google Scholar] [CrossRef]
- Ide, S.; Beroza, G.C.; Shelly, D.R.; Uchide, T. A scaling law for slow earthquakes. Nature 2007, 447, 76–79. [Google Scholar] [CrossRef]
- Duan, D.; Lv, C.; Si, S.; Wang, Z.; Li, D.; Gao, J.; Havlin, S.; Stanley, H.E.; Boccaletti, S. Universal behavior of cascading failures in interdependent networks. Proc. Natl. Acad. Sci. USA 2019, 116, 22452–22457. [Google Scholar] [CrossRef]
- Duan, J.; Li, D.; Huang, H.J. Reliability of the traffic network against cascading failures with individuals acting independently or collectively. Transp. Res. Part C Emerg. Technol. 2023, 147, 104017. [Google Scholar] [CrossRef]
- Li, D.; Fu, B.; Wang, Y.; Lu, G.; Berezin, Y.; Stanley, H.E.; Havlin, S. Percolation transition in dynamical traffic network with evolving critical bottlenecks. Proc. Natl. Acad. Sci. USA 2015, 112, 669–672. [Google Scholar] [CrossRef]
- Zeng, G.; Li, D.; Guo, S.; Gao, L.; Gao, Z.; Stanley, H.E.; Havlin, S. Switch between critical percolation modes in city traffic dynamics. Proc. Natl. Acad. Sci. USA 2019, 116, 23–28. [Google Scholar] [CrossRef] [PubMed]
- Hamedmoghadam, H.; Jalili, M.; Vu, H.L.; Stone, L. Percolation of heterogeneous flows uncovers the bottlenecks of infrastructure networks. Nat. Commun. 2021, 12, 1254. [Google Scholar] [CrossRef] [PubMed]
- Mitra, C.; Kurths, J.; Donner, R.V. An integrative quantifier of multistability in complex systems based on ecological resilience. Sci. Rep. 2015, 5, 16196. [Google Scholar] [CrossRef]
- Gao, J.; Barzel, B.; Barabási, A.L. Universal resilience patterns in complex networks. Nature 2016, 530, 307–312. [Google Scholar] [CrossRef]
- Cavalli, F.; Naimzada, A.; Pecora, N. Real and financial market interactions in a multiplier-accelerator model: Nonlinear dynamics, multistability and stylized facts. Chaos Interdiscip. J. Nonlinear Sci. 2017, 27, 103120. [Google Scholar] [CrossRef]
- Scheffer, M.; Carpenter, S.; Foley, J.A.; Folke, C.; Walker, B. Catastrophic shifts in ecosystems. Nature 2001, 413, 591–596. [Google Scholar] [CrossRef]
- Scheffer, M.; Carpenter, S.R.; Lenton, T.M.; Bascompte, J.; Brock, W.; Dakos, V.; van de Koppel, J.; van de Leemput, I.A.; Levin, S.A.; van Nes, E.H.; et al. Anticipating Critical Transitions. Science 2012, 338, 344–348. [Google Scholar] [CrossRef]
- Pisarchik, A.N.; Feudel, U. Control of multistability. Phys. Rep. 2014, 540, 167–218. [Google Scholar] [CrossRef]
- Laurent, M.; Kellershohn, N. Multistability: A major means of differentiation and evolution in biological systems. Trends Biochem. Sci. 1999, 24, 418–422. [Google Scholar] [CrossRef]
- Pisarchik, A.N.; Hramov, A.E. Multistability in Physical and Living Systems; Springer: Berlin/Heidelberg, Germany, 2022; Volume 2. [Google Scholar]
- Halekotte, L.; Feudel, U. Minimal fatal shocks in multistable complex networks. Sci. Rep. 2020, 10, 11783. [Google Scholar] [CrossRef]
- Walker, B.; Holling, C.S.; Carpenter, S.R.; Kinzig, A. Resilience, Adaptability and Transformability in Social–ecological Systems. Ecol. Soc. 2004, 9, 5. [Google Scholar] [CrossRef]
- Menck, P.J.; Heitzig, J.; Marwan, N.; Kurths, J. How basin stability complements the linear-stability paradigm. Nat. Phys. 2013, 9, 89–92. [Google Scholar] [CrossRef]
- Lundström, N.L.P. How to find simple nonlocal stability and resilience measures. Nonlinear Dyn. 2018, 93, 887–908. [Google Scholar] [CrossRef]
- Liu, X.; Li, D.; Ma, M.; Szymanski, B.K.; Stanley, H.E.; Gao, J. Network resilience. Phys. Rep. 2022, 971, 1–108. [Google Scholar] [CrossRef]
- Zeng, G.; Gao, J.; Shekhtman, L.; Guo, S.; Lv, W.; Wu, J.; Liu, H.; Levy, O.; Li, D.; Gao, Z.; et al. Multiple metastable network states in urban traffic. Proc. Natl. Acad. Sci. USA 2020, 117, 17528–17534. [Google Scholar] [CrossRef]
- Hamedmoghadam, H.; Zheng, N.; Li, D.; Vu, H.L. Percolation-based dynamic perimeter control for mitigating congestion propagation in urban road networks. Transp. Res. Part C Emerg. Technol. 2022, 145, 103922. [Google Scholar] [CrossRef]
- Zhang, L.; Zeng, G.; Li, D.; Huang, H.J.; Stanley, H.E.; Havlin, S. Scale-free resilience of real traffic jams. Proc. Natl. Acad. Sci. USA 2019, 116, 8673–8678. [Google Scholar] [CrossRef]
- Danziger, M.M.; Bonamassa, I.; Boccaletti, S.; Havlin, S. Dynamic interdependence and competition in multilayer networks. Nat. Phys. 2019, 15, 178–185. [Google Scholar] [CrossRef]
- Freeman, L.C. A Set of Measures of Centrality Based on Betweenness. Sociometry 1977, 40, 35–41. [Google Scholar] [CrossRef]
- Jiang, H.; Li, Q.; Jiang, Y.; Shen, G.; Sinnott, R.; Tian, C.; Xu, M. When machine learning meets congestion control: A survey and comparison. Comput. Netw. 2021, 192, 108033. [Google Scholar] [CrossRef]
- Akhtar, M.; Moridpour, S. A Review of Traffic Congestion Prediction Using Artificial Intelligence. J. Adv. Transp. 2021, 2021, 8878011. [Google Scholar] [CrossRef]
- OpenStreetMap Contributors. Planet Dump Retrieved from https://planet.osm.org. 2017. Available online: https://www.openstreetmap.org (accessed on 1 November 2023).
- Datseris, G.; Rossi, K.L.; Wagemakers, A. Framework for global stability analysis of dynamical systems. Chaos 2023, 33, 073151. [Google Scholar] [CrossRef] [PubMed]
- Ester, M.; Kriegel, H.P.; Sander, J.; Xu, X. A density-based algorithm for discovering clusters in large spatial databases with noise. In Proceedings of the Second International Conference on Knowledge Discovery and Data Mining (KDD’96), Portland, OR, USA, 2–4 August 1996; AAAI Press: Washington, DC, USA, 1996; pp. 226–231. [Google Scholar]
- Stender, M.; Hoffmann, N. bSTAB: An open-source software for computing the basin stability of multi-stable dynamical systems. Nonlinear Dyn. 2022, 107, 1451–1468. [Google Scholar] [CrossRef]
- Chen, T.; Guestrin, C. XGBoost: A Scalable Tree Boosting System. In Proceedings of the 22nd ACM SIGKDD International Conference on Knowledge Discovery and Data Mining (KDD ’16), San Francisco, CA, USA, 13–17 August 2016; Association for Computing Machinery: New York, NY, USA, 2016; pp. 785–794. [Google Scholar] [CrossRef]
- Zheng, Y.; Capra, L.; Wolfson, O.; Yang, H. Urban computing: Concepts, methodologies, and applications. ACM Trans. Intell. Syst. Technol. (TIST) 2014, 5, 1–55. [Google Scholar] [CrossRef]
- Fei, X.; Mahmassani, H.S.; Eisenman, S.M. Sensor coverage and location for real-time traffic prediction in large-scale networks. Transp. Res. Rec. 2007, 2039, 1–15. [Google Scholar] [CrossRef]





| City | Number of Road Segments | Number of Intersections |
|---|---|---|
| Nanjing | 19,394 | 32,116 |
| Chengdu | 22,966 | 33,737 |
| Jinan | 11,585 | 17,936 |
| Wuhan | 24,305 | 34,555 |
| Test Set | Training Set | |||||
|---|---|---|---|---|---|---|
| Segments | Accuracy | AUC | F1-Score | Accuracy | AUC | F1-Score |
| Top 0.05% | 0.8410 | 0.7656 | 0.7939 | 0.8624 | 0.7850 | 0.8206 |
| Top 0.1% | 0.8842 | 0.8220 | 0.8595 | 0.8966 | 0.8253 | 0.8809 |
| Top 0.5% | 0.9436 | 0.9479 | 0.9429 | 0.9753 | 0.9674 | 0.9743 |
| Top 1% | 0.9446 | 0.9557 | 0.9405 | 0.9876 | 0.9924 | 0.9874 |
| Test Set | Training Set | |||||
|---|---|---|---|---|---|---|
| Segments | MSE | MAE | MSE | MAE | ||
| Top 0.05% | 0.0359 | 0.1471 | 0.7042 | 0.0357 | 0.1363 | 0.7098 |
| Top 0.1% | 0.0266 | 0.0992 | 0.7808 | 0.0115 | 0.0653 | 0.9060 |
| Top 0.5% | 0.0204 | 0.0864 | 0.8320 | 0.0069 | 0.0463 | 0.9441 |
| Top 1% | 0.0158 | 0.0740 | 0.8698 | 0.0038 | 0.0340 | 0.9688 |
| Test Set | Training Set | |||||
|---|---|---|---|---|---|---|
| Segments | MSE | MAE | MSE | MAE | ||
| Top 0.05% | 0.0004 | 0.0162 | 0.7542 | 0.0005 | 0.0162 | 0.7303 |
| Top 0.1% | 0.0003 | 0.0121 | 0.8172 | 0.0002 | 0.0105 | 0.8733 |
| Top 0.5% | 0.0002 | 0.0104 | 0.8728 | 0.0002 | 0.0091 | 0.9031 |
| Top 1% | 0.0001 | 0.0059 | 0.9546 | 0.0001 | 0.0053 | 0.9650 |
Disclaimer/Publisher’s Note: The statements, opinions and data contained in all publications are solely those of the individual author(s) and contributor(s) and not of MDPI and/or the editor(s). MDPI and/or the editor(s) disclaim responsibility for any injury to people or property resulting from any ideas, methods, instructions or products referred to in the content. |
© 2025 by the authors. Licensee MDPI, Basel, Switzerland. This article is an open access article distributed under the terms and conditions of the Creative Commons Attribution (CC BY) license (https://creativecommons.org/licenses/by/4.0/).
Share and Cite
Chen, R.; Liu, J.; Li, Y.; Lin, Y. Unveiling Multistability in Urban Traffic Through Percolation Theory and Network Analysis. Entropy 2025, 27, 668. https://doi.org/10.3390/e27070668
Chen R, Liu J, Li Y, Lin Y. Unveiling Multistability in Urban Traffic Through Percolation Theory and Network Analysis. Entropy. 2025; 27(7):668. https://doi.org/10.3390/e27070668
Chicago/Turabian StyleChen, Rui, Jiazhen Liu, Yong Li, and Yuming Lin. 2025. "Unveiling Multistability in Urban Traffic Through Percolation Theory and Network Analysis" Entropy 27, no. 7: 668. https://doi.org/10.3390/e27070668
APA StyleChen, R., Liu, J., Li, Y., & Lin, Y. (2025). Unveiling Multistability in Urban Traffic Through Percolation Theory and Network Analysis. Entropy, 27(7), 668. https://doi.org/10.3390/e27070668

