Exploring Numerical Correlations: Models and Thermodynamic Kappa
Abstract
1. Introduction
2. Numerical Models and Results
2.1. The Original Model
2.2. Long-Range Models
2.2.1. The Short-Range Case Close to the CP
2.2.2. The Long-Range Case Around the CP
2.2.3. Long-Range Correlations at Range m
2.3. Multiparticle Interactions
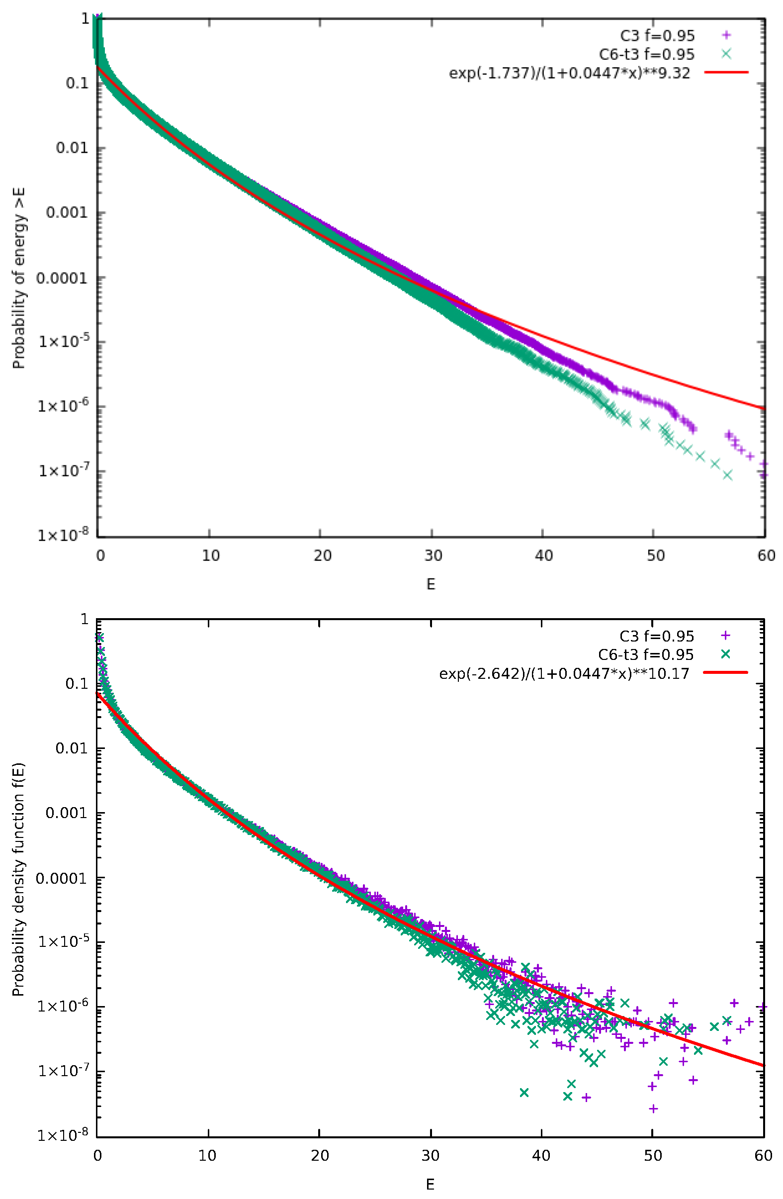
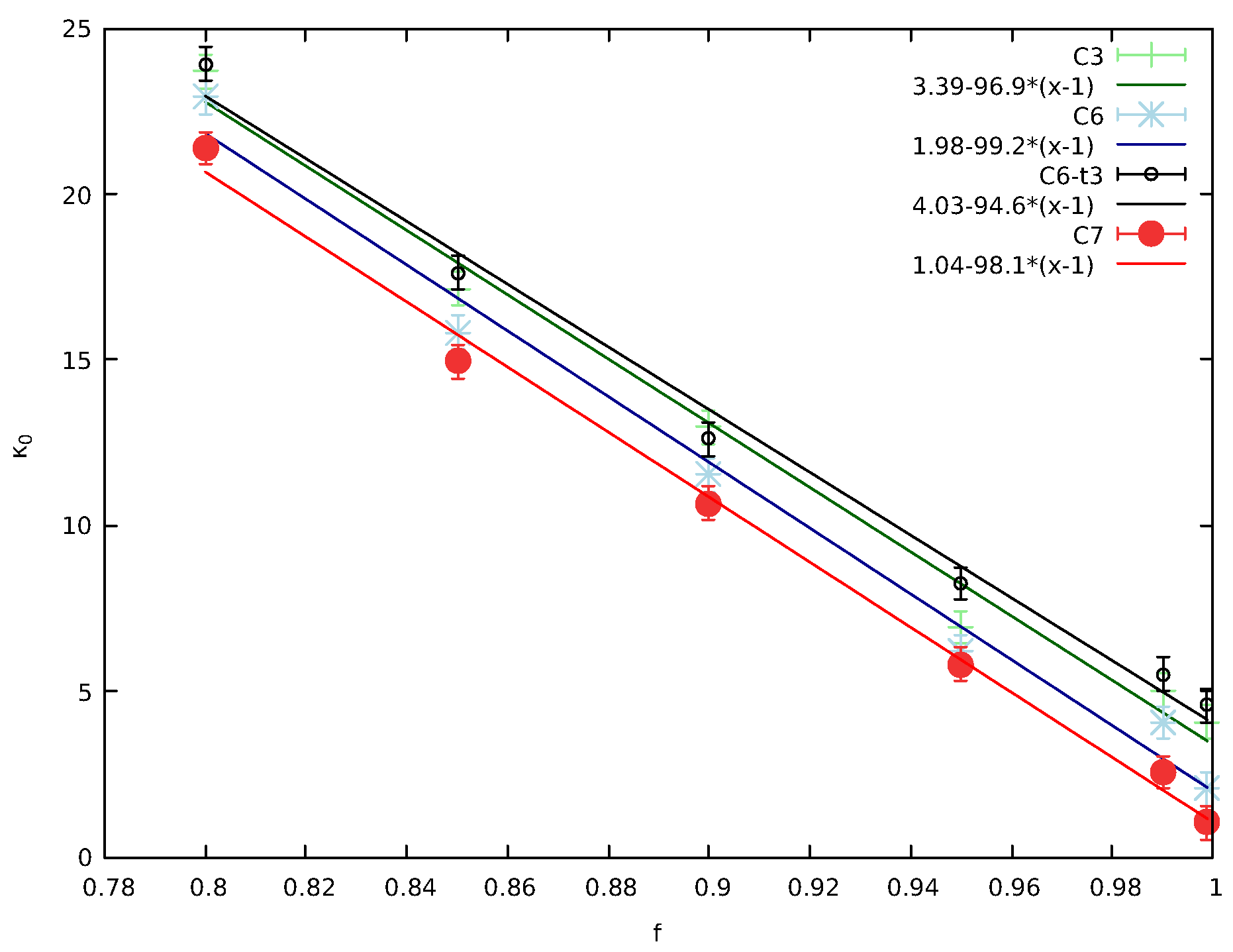
2.4. Correlation Clusters
Limiting the Correlation Cluster
3. Discussion
4. Conclusions
- when long-range correlations are interwoven with CP the resulting thermodynamic kappa are described as an “interatomic” potential interaction among the particles;
- searching for a closer description of heliospheric plasmas, we found that pairwise correlations of the short-range type are sufficient to lead to the appropriate values of thermodynamic kappa especially when combined with the formation of correlated clusters;
- simultaneous multi-particle correlation interactions do not lead to thermodynamic stationary states like kappa distributions;
- the optimal model mimics exactly the stationary states in space plasmas described by kappa distributions, which are characterized by long-range interactions and pair collisions within a cluster of correlations.
Author Contributions
Funding
Institutional Review Board Statement
Data Availability Statement
Acknowledgments
Conflicts of Interest
References
- Livadiotis, G.; McComas, D.J. Understanding Kappa Distributions: A Toolbox for Space Science and Astrophysics. Space Sci. Rev. 2013, 175, 183–214. [Google Scholar] [CrossRef]
- Livadiotis, G. Kappa Distributions: Theory and Applications in Plasmas; Elsevier: Amsterdam, The Netherlands, 2017; 738p. [Google Scholar]
- Binsack, J.H. Plasma Studies with the IMP-2 Satellite. Ph.D. Thesis, MIT, Cambridge, MA, USA, 1966. [Google Scholar]
- Olbert, S. Summary of Experimental Results from M.I.T. Detector on IMP-1. In Proceedings of the Physics of the Magnetosphere: Based upon the Proceedings of the Conference Held at Boston College June 19–28, 1967; Carovillano, R.D.L., McClay, J.F., Radoski, H.R., Eds.; Astrophysics and Space Science Library Series; D. Reidel Publishing Company: Dordrecht, The Netherlands, 1968; Volume 10, p. 641. [Google Scholar] [CrossRef]
- Vasyliunas, V.M. A survey of low-energy electrons in the evening sector of the magnetosphere with OGO 1 and OGO 3. J. Geophys. Res. 1968, 73, 2839–2884. [Google Scholar] [CrossRef]
- Vocks, C.; Mann, G.; Rausche, G. Formation of suprathermal electron distributions in the quiet solar corona. Astron. Astrophys. 2008, 480, 527–536. [Google Scholar] [CrossRef]
- Xiao, F.; Shen, C.; Wang, Y.; Zheng, H.; Wang, S. Energetic electron distributions fitted with a relativistic kappa-type function at geosynchronous orbit. J. Geophys. Res. (Space Phys.) 2008, 113, A05203. [Google Scholar] [CrossRef]
- Laming, J.M.; Moses, J.D.; Ko, Y.K.; Ng, C.K.; Rakowski, C.E.; Tylka, A.J. On the Remote Detection of Suprathermal Ions in the Solar Corona and their Role as Seeds for Solar Energetic Particle Production. Astrophys. J. 2013, 770, 73. [Google Scholar] [CrossRef]
- Schwadron, N.A.; Bale, S.; Bonnell, J.; Case, A.; Christian, E.R.; Cohen, C.M.S.; Cummings, A.C.; Davis, A.J.; Dudok de Wit, T.; de Wet, W.; et al. Seed Population Preconditioning and Acceleration Observed by the Parker Solar Probe. Astrophys. J. Suppl. Ser. 2020, 246, 33. [Google Scholar] [CrossRef]
- Sarlis, N.V.; Livadiotis, G.; McComas, D.J.; Cuesta, M.E.; Khoo, L.Y.; Cohen, C.M.S.; Mitchell, D.G.; Schwadron, N.A. Persistent Behavior in Solar Energetic Particle Time Series. Astrophys. J. 2024, 969, 64. [Google Scholar] [CrossRef]
- Livadiotis, G.; Cummings, A.T.; Cuesta, M.E.; Bandyopadhyay, R.; Farooki, H.A.; Khoo, L.Y.; McComas, D.J.; Rankin, J.S.; Sharma, T.; Shen, M.M.; et al. Kappa-tail Technique: Modeling and Application to Solar Energetic Particles Observed by Parker Solar Probe. Astrophys. J. 2024, 973, 6. [Google Scholar] [CrossRef]
- Cohen, C.M.S.; Leske, R.A.; Christian, E.R.; Cummings, A.C.; de Nolfo, G.A.; Desai, M.I.; Giacalone, J.; Hill, M.E.; Labrador, A.W.; McComas, D.J.; et al. Observations of the 2022 September 5 Solar Energetic Particle Event at 15 Solar Radii. Astrophys. J. 2024, 966, 148. [Google Scholar] [CrossRef]
- Cuesta, M.E.; Cummings, A.T.; Livadiotis, G.; McComas, D.J.; Cohen, C.M.S.; Khoo, L.Y.; Sharma, T.; Shen, M.M.; Bandyopadhyay, R.; Rankin, J.S.; et al. Observations of Kappa Distributions in Solar Energetic Protons and Derived Thermodynamic Properties. Astrophys. J. 2024, 973, 76. [Google Scholar] [CrossRef]
- Mann, G.; Warmuth, A.; Aurass, H. Generation of highly energetic electrons at reconnection outflow shocks during solar flares. Astron. Astrophys. 2009, 494, 669–675. [Google Scholar] [CrossRef]
- Livadiotis, G.; McComas, D.J. Evidence of Large-Scale Quantization in Space Plasmas. Entropy 2013, 15, 1118–1134. [Google Scholar] [CrossRef]
- Schmidt, J.M.; Cairns, I.H. Quantitative prediction of type II solar radio emission from the Sun to 1 AU. Geophys. Res. Lett. 2016, 43, 50–57. [Google Scholar] [CrossRef]
- Nicholls, D.C.; Dopita, M.A.; Sutherland, R.S.; Kewley, L.J.; Palay, E. Measuring Nebular Temperatures: The Effect of New Collision Strengths with Equilibrium and κ-Distributed Electron Energies. Astrophys. J. Suppl. Ser. 2013, 207, 21. [Google Scholar] [CrossRef]
- McComas, D.J.; Livadiotis, G.; Sarlis, N.V. Correlations and Kappa Distributions: Numerical Experiment and Physical Understanding. Entropy 2025, 27, 375. [Google Scholar] [CrossRef]
- Treumann, R.A. Theory of super-diffusion for the magnetopause. Geophys. Res. Lett. 1997, 24, 1727–1730. [Google Scholar] [CrossRef]
- Milovanov, A.V.; Zelenyi, L.M. Functional background of the Tsallis entropy: “coarse-grained” systems and “kappa” distribution functions. Nonlinear Process. Geophys. 2000, 7, 211–221. [Google Scholar] [CrossRef]
- Leubner, M.P. A Nonextensive Entropy Approach to Kappa-Distributions. Astrophys. Space Sci. 2002, 282, 573–579. [Google Scholar] [CrossRef]
- Livadiotis, G.; McComas, D.J. Beyond kappa distributions: Exploiting Tsallis statistical mechanics in space plasmas. J. Geophys. Res. (Space Phys.) 2009, 114, A11105. [Google Scholar] [CrossRef]
- Livadiotis, G. “Lagrangian Temperature”: Derivation and Physical Meaning for Systems Described by Kappa Distributions. Entropy 2014, 16, 4290–4308. [Google Scholar] [CrossRef]
- Tsallis, C. Introduction to Nonextensive Statistical Mechanics: Approaching a Complex World; Springer: Cham, Switzerland, 2023. [Google Scholar] [CrossRef]
- Livadiotis, G. Introduction to special section on Origins and Properties of Kappa Distributions: Statistical Background and Properties of Kappa Distributions in Space Plasmas. J. Geophys. Res. (Space Phys.) 2015, 120, 1607–1619. [Google Scholar] [CrossRef]
- Livadiotis, G.; McComas, D.J. Universality of kappa distributions. EPL (Europhys. Lett.) 2024, 146, 41003. [Google Scholar] [CrossRef]
- Livadiotis, G.; McComas, D.J. Measure of the departure of the q-metastable stationary states from equilibrium. Phys. Scr. 2010, 82, 035003. [Google Scholar] [CrossRef]
- Yoon, P.H. Classical Kinetic Theory of Weakly Turbulent Nonlinear Plasma Processes; Cambridge University Press: Cambridge, UK, 2019. [Google Scholar] [CrossRef]
- Pierrard, V.; Lazar, M. Kappa Distributions: Theory and Applications in Space Plasmas. Sol. Phys. 2010, 267, 153–174. [Google Scholar] [CrossRef]
- Livadiotis, G.; McComas, D.J. Exploring Transitions of Space Plasmas Out of Equilibrium. Astrophys. J. 2010, 714, 971–987. [Google Scholar] [CrossRef]
- Livadiotis, G.; McComas, D.J. Transport Equation of Kappa Distributions in the Heliosphere. Astrophys. J. 2023, 954, 72. [Google Scholar] [CrossRef]
- Nicolaou, G.; Livadiotis, G. Misestimation of temperature when applying Maxwellian distributions to space plasmas described by kappa distributions. Astrophys. Space Sci. 2016, 361, 359. [Google Scholar] [CrossRef]
- Abe, S. General pseudoadditivity of composable entropy prescribed by the existence of equilibrium. Phys. Rev. E 2001, 63, 061105. [Google Scholar] [CrossRef]
- Enciso, A.; Tempesta, P. Uniqueness and characterization theorems for generalized entropies. J. Stat. Mech. Theory Exp. 2017, 12, 123101. [Google Scholar] [CrossRef]
- Livadiotis, G.; McComas, D.J. Thermodynamic Definitions of Temperature and Kappa and Introduction of the Entropy Defect. Entropy 2021, 23, 1683. [Google Scholar] [CrossRef]
- Livadiotis, G.; McComas, D.J.; Shrestha, B.L. Thermodynamics of Pickup Ions in the Heliosphere. Astrophys. J. 2024, 968, 66. [Google Scholar] [CrossRef]
- Livadiotis, G. Thermodynamic origin of kappa distributions. EPL (Europhys. Lett.) 2018, 122, 50001. [Google Scholar] [CrossRef]
- Livadiotis, G.; McComas, D.J. Entropy defect in thermodynamics. Sci. Rep. 2023, 13, 9033. [Google Scholar] [CrossRef] [PubMed]
- Livadiotis, G.; McComas, D.J. The theory of thermodynamic relativity. Sci. Rep. 2024, 14, 22641. [Google Scholar] [CrossRef] [PubMed]
- Ourabah, K. Superstatistics from a dynamical perspective: Entropy and relaxation. Phys. Rev. E 2024, 109, 014127. [Google Scholar] [CrossRef] [PubMed]
- Livadiotis, G.; McComas, D.J. What Defines Stationarity in Space Plasmas. Astrophys. J. 2025, 982, 169. [Google Scholar] [CrossRef]
- Livadiotis, G.; McComas, D.J. Physical Correlations Lead to Kappa Distributions. Astrophys. J. 2022, 940, 83. [Google Scholar] [CrossRef]
- Livadiotis, G.; McComas, D.J. Invariant Kappa Distribution in Space Plasmas Out of Equilibrium. Astrophys. J. 2011, 741, 88. [Google Scholar] [CrossRef]
- Livadiotis, G. Kappa and q Indices: Dependence on the Degrees of Freedom. Entropy 2015, 17, 2062–2081. [Google Scholar] [CrossRef]
- Livadiotis, G.; Nicolaou, G.; Allegrini, F. Anisotropic Kappa Distributions. I. Formulation Based on Particle Correlations. Astrophys. J. Suppl. Ser. 2021, 253, 16. [Google Scholar] [CrossRef]
- Livadiotis, G. Approach on Tsallis statistical interpretation of hydrogen-atom by adopting the generalized radial distribution function. J. Math. Chem. 2009, 45, 930. [Google Scholar] [CrossRef]
- Livadiotis, G.; McComas, D.J.; Dayeh, M.A.; Funsten, H.O.; Schwadron, N.A. First Sky Map of the Inner Heliosheath Temperature Using IBEX Spectra. Astrophys. J. 2011, 734, 1. [Google Scholar] [CrossRef]
- Livadiotis, G.; McComas, D.J.; Randol, B.M.; Funsten, H.O.; Möbius, E.S.; Schwadron, N.A.; Dayeh, M.A.; Zank, G.P.; Frisch, P.C. Pick-up Ion Distributions and Their Influence on Energetic Neutral Atom Spectral Curvature. Astrophys. J. 2012, 751, 64. [Google Scholar] [CrossRef]
- Livadiotis, G.; McComas, D.J.; Schwadron, N.A.; Funsten, H.O.; Fuselier, S.A. Pressure of the Proton Plasma in the Inner Heliosheath. Astrophys. J. 2013, 762, 134. [Google Scholar] [CrossRef]
- Livadiotis, G.; McComas, D.J.; Funsten, H.O.; Schwadron, N.A.; Szalay, J.R.; Zirnstein, E. Thermodynamics of the Inner Heliosheath. Astrophys. J. Suppl. Ser. 2022, 262, 53. [Google Scholar] [CrossRef]
- Livadiotis, G.; McComas, D.J.; Zirnstein, E.J. Temperature of the Polar Inner Heliosheath: Connection to Solar Activity. Astrophys. J. 2023, 951, 21. [Google Scholar] [CrossRef]
- Livadiotis, G.; McComas, D.J. Entropy defect: Algebra and thermodynamics. EPL (Europhys. Lett.) 2023, 144, 21001. [Google Scholar] [CrossRef]
- Livadiotis, G.; McComas, D.J. Extensive entropy: The case of zero entropy defect. Phys. Scr. 2023, 98, 105605. [Google Scholar] [CrossRef]
- Beck, C.; Cohen, E.G.D. Superstatistics. Phys. A Stat. Mech. Appl. 2003, 322, 267–275. [Google Scholar] [CrossRef]
- Schwadron, N.A.; Dayeh, M.A.; Desai, M.; Fahr, H.; Jokipii, J.R.; Lee, M.A. Superposition of Stochastic Processes and the Resulting Particle Distributions. Astrophys. J. 2010, 713, 1386–1392. [Google Scholar] [CrossRef]
- Hanel, R.; Thurner, S.; Gell-Mann, M. Generalized entropies and the transformation group of superstatistics. Proc. Natl. Acad. Sci. USA 2011, 108, 6390–6394. [Google Scholar] [CrossRef]
- Livadiotis, G.; Assas, L.; Dennis, B.; Elaydi, S.; Kwessi, E. KAPPA FUNCTION AS A UNIFYING FRAMEWORK FOR DISCRETE POPULATION MODELING. Nat. Resour. Model. 2016, 29, 130–144. [Google Scholar] [CrossRef]
- Livadiotis, G. Rankine-Hugoniot Shock Conditions for Space and Astrophysical Plasmas Described by Kappa Distributions. Astrophys. J. 2019, 886, 3. [Google Scholar] [CrossRef]
- Gravanis, E.; Akylas, E.; Livadiotis, G. Physical meaning of temperature in superstatistics. EPL (Europhys. Lett.) 2020, 130, 30005. [Google Scholar] [CrossRef]
- Sánchez, E.; González-Navarrete, M.; Caamaño-Carrillo, C. Bivariate superstatistics: An application to statistical plasma physics. Eur. Phys. J. B 2021, 94, 55. [Google Scholar] [CrossRef]
- Zank, G.P.; Li, G.; Florinski, V.; Hu, Q.; Lario, D.; Smith, C.W. Particle acceleration at perpendicular shock waves: Model and observations. J. Geophys. Res. (Space Phys.) 2006, 111, A06108. [Google Scholar] [CrossRef]
- Yoon, P.H.; Ziebell, L.F.; Gaelzer, R.; Lin, R.P.; Wang, L. Langmuir Turbulence and Suprathermal Electrons. Space Sci. Rev. 2012, 173, 459–489. [Google Scholar] [CrossRef]
- Yoon, P.H.; López, R.A.; Salem, C.S.; Bonnell, J.W.; Kim, S. Non-Thermal Solar Wind Electron Velocity Distribution Function. Entropy 2024, 26, 310. [Google Scholar] [CrossRef]
- Bian, N.H.; Emslie, A.G.; Stackhouse, D.J.; Kontar, E.P. The Formation of Kappa-Distribution Accelerated Electron Populations in Solar Flares. Astrophys. J. 2014, 796, 142. [Google Scholar] [CrossRef]
- Yoon, P.H. Electron kappa distribution and quasi-thermal noise. J. Geophys. Res. (Space Phys.) 2014, 119, 7074–7087. [Google Scholar] [CrossRef]
- Fisk, L.A.; Gloeckler, G. The case for a common spectrum of particles accelerated in the heliosphere: Observations and theory. J. Geophys. Res. (Space Phys.) 2014, 119, 8733–8749. [Google Scholar] [CrossRef]
- Randol, B.M.; Christian, E.R. Simulations of plasma obeying Coulomb’s law and the formation of suprathermal ion tails in the solar wind. J. Geophys. Res. (Space Phys.) 2014, 119, 7025–7037. [Google Scholar] [CrossRef]
- Sadeghzadeh, S.; Yang, J.; Toffoletto, F.; Wolf, R.; Mousavi, A.; Espinoza, C.M. RCM Modeling of Bubble Injections Into the Inner Magnetosphere: Spectral Properties of Plasma Sheet Particles. J. Geophys. Res. (Space Phys.) 2023, 128, e2022JA030673. [Google Scholar] [CrossRef]
- Zenitani, S.; Nakano, S. Loading Loss-Cone Distributions in Particle Simulations. J. Geophys. Res. (Space Phys.) 2023, 128, e2023JA031983. [Google Scholar] [CrossRef]
- Peterson, J.; Dixit, P.D.; Dill, K.A. A maximum entropy framework for nonexponential distributions. Proc. Natl. Acad. Sci. USA 2013, 110, 20380–20385. [Google Scholar] [CrossRef]
- Meyer-Vernet, N.; Moncuquet, M.; Hoang, S. Temperature inversion in the Io plasma torus. Icarus 1995, 116, 202–213. [Google Scholar] [CrossRef]
- Livadiotis, G. On the Origin of Polytropic Behavior in Space and Astrophysical Plasmas. Astrophys. J. 2019, 874, 10. [Google Scholar] [CrossRef]
- Nicolaou, G.; Livadiotis, G. Long-term Correlations of Polytropic Indices with Kappa Distributions in Solar Wind Plasma near 1 au. Astrophys. J. 2019, 884, 52. [Google Scholar] [CrossRef]
- Nicolaou, G.; Livadiotis, G.; Wicks, R.T.; Verscharen, D.; Maruca, B.A. Polytropic Behavior of Solar Wind Protons Observed by Parker Solar Probe. Astrophys. J. 2020, 901, 26. [Google Scholar] [CrossRef]
- Katsavrias, C.; Nicolaou, G.; Di Matteo, S.; Kepko, L.; Viall, N.M.; Aminalragia-Giamini, S.; Livadiotis, G. Proton polytropic behavior of periodic density structures in the solar wind. Astron. Astrophys. 2024, 686, L10. [Google Scholar] [CrossRef]
- Mercik, S.; Weron, K.; Siwy, Z. Statistical analysis of ionic current fluctuations in membrane channels. Phys. Rev. E 1999, 60, 7343–7348. [Google Scholar] [CrossRef] [PubMed]
- Mercik, S.; Weron, K. Stochastic origins of the long-range correlations of ionic current fluctuations in membrane channels. Phys. Rev. E 2001, 63, 051910. [Google Scholar] [CrossRef] [PubMed]
- Gradsteyn, I.S.; Ryzhik, I.M. Table of Integrals, Series and Products; Academic Press: San Diego, CA, USA, 1980; p. 1160. [Google Scholar]
- Williams, T.; Kelley, C. Gnuplot 5.4: An Interactive Plotting Program. 2021. Available online: http://www.gnuplot.info/ (accessed on 24 December 2021).
- Livadiotis, G. Using Kappa Distributions to Identify the Potential Energy. J. Geophys. Res. (Space Phys.) 2018, 123, 1050–1060. [Google Scholar] [CrossRef]
- Jackson, J.D. Classical Electrodynamics, 2nd ed.; Wiley: New York, NY, USA, 1975. [Google Scholar]
- Malthe-Sørenssen, A. Percolation Theory Using Python; Springer Nature: Cham, Switzerland, 2024; p. 214. [Google Scholar] [CrossRef]
- Barabási, A.L.; Albert, R. Emergence of Scaling in Random Networks. Science 1999, 286, 509–512. [Google Scholar] [CrossRef] [PubMed]
- Barabási, A.L. Network science: Luck or reason. Nature 2012, 489, 507–508. [Google Scholar] [CrossRef]
- Barabási, A.L.; Pósfai, M. Network Science; Cambridge University Press: Cambridge, UK, 2016. [Google Scholar]

















Disclaimer/Publisher’s Note: The statements, opinions and data contained in all publications are solely those of the individual author(s) and contributor(s) and not of MDPI and/or the editor(s). MDPI and/or the editor(s) disclaim responsibility for any injury to people or property resulting from any ideas, methods, instructions or products referred to in the content. |
© 2025 by the authors. Licensee MDPI, Basel, Switzerland. This article is an open access article distributed under the terms and conditions of the Creative Commons Attribution (CC BY) license (https://creativecommons.org/licenses/by/4.0/).
Share and Cite
Sarlis, N.V.; McComas, D.J.; Livadiotis, G. Exploring Numerical Correlations: Models and Thermodynamic Kappa. Entropy 2025, 27, 646. https://doi.org/10.3390/e27060646
Sarlis NV, McComas DJ, Livadiotis G. Exploring Numerical Correlations: Models and Thermodynamic Kappa. Entropy. 2025; 27(6):646. https://doi.org/10.3390/e27060646
Chicago/Turabian StyleSarlis, Nicholas V., David J. McComas, and George Livadiotis. 2025. "Exploring Numerical Correlations: Models and Thermodynamic Kappa" Entropy 27, no. 6: 646. https://doi.org/10.3390/e27060646
APA StyleSarlis, N. V., McComas, D. J., & Livadiotis, G. (2025). Exploring Numerical Correlations: Models and Thermodynamic Kappa. Entropy, 27(6), 646. https://doi.org/10.3390/e27060646

