Thermodynamic Insights into Symmetry Breaking: Exploring Energy Dissipation across Diverse Scales
Abstract
1. Introduction
2. Symmetry Breaking
3. Symmetry Breaking across Scales
3.1. Subatomic World
3.2. Molecular Level

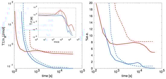
3.3. Enantiomeric Crystals
3.4. Mesoscopic Domain
3.5. Living Organisms
4. Discussion and Conclusions
Funding
Conflicts of Interest
References
- Smith, A. Speed Read: The Importance of Asymmetry. 2008. Available online: https://www.nobelprize.org/prizes/physics/2008/speedread/ (accessed on 10 November 2021).
- Kolb, E.W.; Wolfram, S. Spontaneous symmetry breaking and the expansion rate of the early universe. Astrophys. J. 1980, 239, 428–432. [Google Scholar] [CrossRef]
- Ideue, T.; Iwasa, Y. Symmetry Breaking and Nonlinear Electric Transport in van der Waals Nanostructures. Annu. Rev. Condens. Matter Phys. 2021, 12, 201–223. [Google Scholar] [CrossRef]
- Fischer, M.H.; Sigrist, M.; Agterberg, D.F.; Yanase, Y. Superconductivity and Local Inversion-Symmetry Breaking. Annu. Rev. Condens. Matter Phys. 2023, 14, 153–172. [Google Scholar] [CrossRef]
- Evans, N.; Morris, T.R.; Scott, M. Translational symmetry breaking in field theories and the cosmological constant. Phys. Rev. D 2016, 93, 025019. [Google Scholar] [CrossRef]
- Zhang, H.T.; Hiiragi, T. Symmetry Breaking in the Mammalian Embryo. Annu. Rev. Cell Dev. Biol. 2018, 34, 405–426. [Google Scholar] [CrossRef] [PubMed]
- Inagaki, N.; Toriyama, M.; Sakumura, Y. Systems biology of symmetry breaking during neuronal polarity formation. Dev. Neurobiol. 2011, 71, 584–593. [Google Scholar] [CrossRef] [PubMed]
- Korenić, A.; Perović, S.; Ćirković, M.M.; Miquel, P.A. Symmetry breaking and functional incompleteness in biological systems. Prog. Biophys. Mol. Biol. 2020, 150, 1–12. [Google Scholar] [CrossRef] [PubMed]
- Cho, A. Spontaneous Symmetry Breaking Decanted. Science 2012, 337, 1289. [Google Scholar] [CrossRef]
- Ribó, J.M. Chirality: The Backbone of Chemistry as a Natural Science. Symmetry 2020, 12, 1982. [Google Scholar] [CrossRef]
- Kondepudi, D.K.; Asakura, K. Chiral Autocatalysis, Spontaneous Symmetry Breaking, and Stochastic Behavior. Accounts Chem. Res. 2001, 34, 946–954. [Google Scholar] [CrossRef]
- Gross, D.J. The role of symmetry in fundamental physics. Proc. Natl. Acad. Sci. USA 1996, 93, 14256–14259. [Google Scholar] [CrossRef]
- Castellani, E.; Dardashti, R. Symmetry breaking. In The Routledge Companion to Philosophy of Physics; Routledge: London, UK, 2021; pp. 620–631. [Google Scholar]
- Prigogine, I.; Lefever, R. Symmetry Breaking Instabilities in Dissipative Systems. II. J. Chem. Phys. 1968, 48, 1695–1700. [Google Scholar] [CrossRef]
- Bernstein, J. Spontaneous symmetry breaking, gauge theories, the Higgs mechanism and all that. Rev. Mod. Phys. 1974, 46, 7–48. [Google Scholar] [CrossRef]
- Kapusta, J.I. Bose-Einstein condensation, spontaneous symmetry breaking, and gauge theories. Phys. Rev. D 1981, 24, 426–439. [Google Scholar] [CrossRef]
- Bowick, M.J.; Fakhri, N.; Marchetti, M.C.; Ramaswamy, S. Symmetry, Thermodynamics, and Topology in Active Matter. Phys. Rev. X 2022, 12, 010501. [Google Scholar] [CrossRef]
- Ribó, J.M.; Hochberg, D. Spontaneous mirror symmetry breaking: An entropy production survey of the racemate instability and the emergence of stable scalemic stationary states. Phys. Chem. Chem. Phys. 2020, 22, 14013–14025. [Google Scholar] [CrossRef] [PubMed]
- Qian, H.; Ao, P.; Tu, Y.; Wang, J. A framework towards understanding mesoscopic phenomena: Emergent unpredictability, symmetry breaking and dynamics across scales. Chem. Phys. Lett. 2016, 665, 153–161. [Google Scholar] [CrossRef]
- Cross, M.C.; Hohenberg, P.C. Pattern formation outside of equilibrium. Rev. Mod. Phys. 1993, 65, 851–1112. [Google Scholar] [CrossRef]
- Surovyatkina, E.D.; Kravtsov, Y.A.; Kurths, J. Fluctuation growth and saturation in nonlinear oscillators on the threshold of bifurcation of spontaneous symmetry breaking. Phys. Rev. E 2005, 72, 046125. [Google Scholar] [CrossRef] [PubMed]
- Hannukainen, J.; Larson, J. Dissipation-driven quantum phase transitions and symmetry breaking. Phys. Rev. A 2018, 98, 042113. [Google Scholar] [CrossRef]
- Coleman, S.; Weinberg, E. Radiative Corrections as the Origin of Spontaneous Symmetry Breaking. Phys. Rev. D 1973, 7, 1888–1910. [Google Scholar] [CrossRef]
- Laguna, P.; Zurek, W.H. Critical dynamics of symmetry breaking: Quenches, dissipation, and cosmology. Phys. Rev. D 1998, 58, 085021. [Google Scholar] [CrossRef]
- Goldstone, J.; Salam, A.; Weinberg, S. Broken Symmetries. Phys. Rev. 1962, 127, 965–970. [Google Scholar] [CrossRef]
- Higgs, P.W. Broken Symmetries and the Masses of Gauge Bosons. Phys. Rev. Lett. 1964, 13, 508–509. [Google Scholar] [CrossRef]
- Heylighen, F. Entanglement, symmetry breaking and collapse: Correspondences between quantum and self-organizing dynamics. Found. Sci. 2023, 28, 85–107. [Google Scholar] [CrossRef]
- Arango-Restrepo, A.; Barragán, D.; Rubi, J.M. A Criterion for the Formation of Nonequilibrium Self-Assembled Structures. J. Phys. Chem. B 2021, 125, 1838–1845. [Google Scholar] [CrossRef]
- Kamada, K.; Yamamoto, N.; Yang, D.L. Chiral effects in astrophysics and cosmology. Prog. Part. Nucl. Phys. 2023, 129, 104016. [Google Scholar] [CrossRef]
- Maes, S.H. More Matter Than Antimatter, All Falling Down. 2020. Available online: https://www.researchgate.net/publication/350772315_More_Matter_Than_Antimatter_All_Falling_Down (accessed on 29 January 2024).
- Shakarov, A. Symmetry Violation, C-Asymmetry and Baryonic Asymmetry of the Universe. Pisma Zh. Eksp. Teor. Fiz. 1967, 5, 32–35. [Google Scholar]
- Eliel, E.L.; Wilen, S.H.; Mander, L.N. Chirality in Molecules Devoid of Chiral Centers; Wiley: New York, NY, USA, 1994; Chapter 14; pp. 1172–1175. [Google Scholar]
- Garay, A. Origin and role of optical isomery in life. Nature 1968, 219, 338–340. [Google Scholar] [CrossRef]
- Kondepudi, D.K.; Kaufman, R.J.; Singh, N. Chiral symmetry breaking in sodium chlorate crystallizaton. Science 1990, 250, 975–976. [Google Scholar] [CrossRef]
- Niinomi, H.; Sugiyama, T.; Tagawa, M.; Harada, S.; Ujihara, T.; Uda, S.; Miyamoto, K.; Omatsu, T. In Situ Observation of Chiral Symmetry Breaking in NaClO3 Chiral Crystallization Realized by Thermoplasmonic Micro-Stirring. Cryst. Growth Des. 2018, 18, 4230–4239. [Google Scholar] [CrossRef]
- Ribó, J.M.; Crusats, J.; El-Hachemi, Z.; Moyano, A.; Blanco, C.; Hochberg, D. Spontaneous Mirror Symmetry Breaking in the Limited Enantioselective Autocatalysis Model: Abyssal Hydrothermal Vents as Scenario for the Emergence of Chirality in Prebiotic Chemistry. Astrobiology 2013, 13, 132–142. [Google Scholar] [CrossRef]
- Buhse, T.; Cruz, J.M.; Noble-Terán, M.E.; Hochberg, D.; Ribó, J.M.; Crusats, J.; Micheau, J.C. Spontaneous Deracemizations. Chem. Rev. 2021, 121, 2147–2229. [Google Scholar] [CrossRef] [PubMed]
- Szurgot, M. Parity Violation in Unstirred Crystallization from Achiral Solutions. In Crystallization and Materials Science of Modern Artificial and Natural Crystals; InTech: Rijeka, Croatia, 2012. [Google Scholar]
- Plasson, R.; Kondepudi, D.K.; Bersini, H.; Commeyras, A.; Asakura, K. Emergence of homochirality in far-from-equilibrium systems: Mechanisms and role in prebiotic chemistry. Chirality 2007, 19, 589–600. [Google Scholar] [CrossRef]
- Ribó, J.M.; Hochberg, D.; Crusats, J.; El-Hachemi, Z.; Moyano, A. Spontaneous mirror symmetry breaking and origin of biological homochirality. J. R. Soc. Interface 2017, 14, 20170699. [Google Scholar] [CrossRef] [PubMed]
- Ousaka, N.; MacLachlan, M.J.; Akine, S. Stapling strategy for slowing helicity interconversion of α-helical peptides and isolating chiral auxiliary-free one-handed forms. Nat. Commun. 2023, 14, 6834. [Google Scholar] [CrossRef] [PubMed]
- De Groot, S.R.; Mazur, P. Non-Equilibrium Thermodynamics; Courier Corporation: Chelmsford, MA, USA, 2013. [Google Scholar]
- Reguera, D.; Rubi, J.; Vilar, J. The Mesoscopic Dynamics of Thermodynamic Systems. J. Phys. Chem. B 2005, 109, 21502–21515. [Google Scholar] [CrossRef]
- Santamaría-Holek, I.; Pérez-Madrid, A.; Rubí, J.M. Local quasi-equilibrium description of slow relaxation systems. J. Chem. Phys. 2004, 120, 2818–2823. [Google Scholar] [CrossRef]
- Pérez-Madrid, A.; Rubí, J.; Mazur, P. Brownian motion in the presence of a temperature gradient. Phys. A Stat. Mech. Its Appl. 1994, 212, 231–238. [Google Scholar] [CrossRef]
- Nunez, M.C.; Garcia-Rubino, M.E.; Conejo-Garcia, A.; Cruz-Lopez, O.; Kimatrai, M.; Gallo, M.A.; Espinosa, A.; Campos, J.M. Homochiral Drugs: A Demanding Tendency of the Pharmaceutical Industry. Curr. Med. Chem. 2009, 16, 2064–2074. [Google Scholar] [CrossRef]
- Rajkumar, S.V. Thalidomide: Tragic past and promising future. Mayo Clin. Proc. 2004, 79, 899–903. [Google Scholar] [CrossRef]
- Xia, Y.; Zhou, Y.; Tang, Z. Chiral inorganic nanoparticles: Origin, optical properties and bioapplications. Nanoscale 2011, 3, 1374–1382. [Google Scholar] [CrossRef] [PubMed]
- Takanabe, A.; Tanaka, M.; Johmoto, K.; Uekusa, H.; Mori, T.; Koshima, H.; Asahi, T. Optical Activity and Optical Anisotropy in Photomechanical Crystals of Chiral Salicylidenephenylethylamines. J. Am. Chem. Soc. 2016, 138, 15066–15077. [Google Scholar] [CrossRef] [PubMed]
- Döring, A.; Ushakova, E.; Rogach, A.L. Chiral carbon dots: Synthesis, optical properties, and emerging applications. Light Sci. Appl. 2022, 11, 75. [Google Scholar] [CrossRef] [PubMed]
- Arango-Restrepo, A.; Arteaga, O.; Barragán, D.; Rubi, J.M. Chiral symmetry breaking induced by energy dissipation. Phys. Chem. Chem. Phys. 2023, 25, 9238–9248. [Google Scholar] [CrossRef] [PubMed]
- Viedma, C. Chiral Symmetry Breaking During Crystallization: Complete Chiral Purity Induced by Nonlinear Autocatalysis and Recycling. Phys. Rev. Lett. 2005, 94, 065504. [Google Scholar] [CrossRef] [PubMed]
- Sögütoglu, L.C.; Steendam, R.R.; Meekes, H.; Vlieg, E.; Rutjes, F.P. Viedma ripening: A reliable crystallisation method to reach single chirality. Chem. Soc. Rev. 2015, 44, 6723–6732. [Google Scholar] [CrossRef] [PubMed]
- Rekharsky, M.; Inoue, Y. Chiral Recognition Thermodynamics of β-Cyclodextrin: The Thermodynamic Origin of Enantioselectivity and the Enthalpy-Entropy Compensation Effect. J. Am. Chem. Soc. 2000, 122, 4418–4435. [Google Scholar] [CrossRef]
- Santamaría-Holek, I.; Gadomski, A.; Rubí, J.M. Controlling protein crystal growth rate by means of temperature. J. Phys. Condens. Matter 2011, 23, 235101. [Google Scholar] [CrossRef]
- Gadomski, A. Kinetic–thermodynamic effects accompanying model protein-like aggregation: The wave-like limit and beyond it. Phys. A Stat. Mech. Its Appl. 2007, 373, 43–57. [Google Scholar] [CrossRef]
- Gadomski, A.; Siódmiak, J. A Kinetic Model of Protein Crystal Growth in Mass Convection Regime. Cryst. Res. Technol. 2002, 37, 281–291. [Google Scholar] [CrossRef]
- Kauffman, S.A. The Origins of Order: Self-Organization and Selection in Evolution; Oxford University Press: New York, NY, USA, 1993. [Google Scholar]
- Tena-Solsona, M.; Wanzke, C.; Riess, B.; Bausch, A.R.; Boekhoven, J. Self-selection of dissipative assemblies driven by primitive chemical reaction networks. Nat. Commun. 2018, 9, 1–8. [Google Scholar] [CrossRef]
- Arango-Restrepo, A.; Barragán, D.; Rubi, J.M. Self-assembling outside equilibrium: Emergence of structures mediated by dissipation. Phys. Chem. Chem. Phys. 2019, 21, 17475–17493. [Google Scholar] [CrossRef]
- van Ravensteijn, B.G.; Voets, I.K.; Kegel, W.K.; Eelkema, R. Out-of-equilibrium colloidal assembly driven by chemical reaction networks. Langmuir 2020, 36, 10639–10656. [Google Scholar] [CrossRef]
- Hochberg, D.; Ribó, J.M. Entropic Analysis of Mirror Symmetry Breaking in Chiral Hypercycles. Life 2019, 9, 28. [Google Scholar] [CrossRef] [PubMed]
- Arango-Restrepo, A.; Rubi, J.M.; Barragán, D. The Role of Energy and Matter Dissipation in Determining the Architecture of Self-Assembled Structures. J. Phys. Chem. B 2019, 123, 5902–5908. [Google Scholar] [CrossRef] [PubMed]
- Arango-Restrepo, A.; Barragán, D.; Rubi, J.M. Variations in activation energy and nuclei size during nucleation explain chiral symmetry breaking. Phys. Chem. Chem. Phys. 2023, 25, 29032–29041. [Google Scholar] [CrossRef]
- Tretiakov, K.V.; Bishop, K.J.M.; Grzybowski, B.A. The dependence between forces and dissipation rates mediating dynamic self-assembly. Soft Matter 2009, 5, 1279. [Google Scholar] [CrossRef]
- Frank, F. On spontaneous asymmetric synthesis. Biochim. Biophys. Acta 1953, 11, 459–463. [Google Scholar] [CrossRef] [PubMed]
- Kuhn, H. Origin of life—Symmetry breaking in the universe: Emergence of homochirality. Curr. Opin. Colloid Interface Sci. 2008, 13, 3–11. [Google Scholar] [CrossRef]
- Shubin, N.; Tabin, C.; Carroll, S. Fossils, genes and the evolution of animal limbs. Nature 1997, 388, 639–648. [Google Scholar] [CrossRef]
- Arthur, W. The emerging conceptual framework of evolutionary developmental biology. Nature 2002, 415, 757–764. [Google Scholar] [CrossRef]
- Palmer, A.R. Symmetry Breaking and the Evolution of Development. Science 2004, 306, 828–833. [Google Scholar] [CrossRef] [PubMed]
- Arango-Restrepo, A.; Rubi, J. Predicting cancer stages from tissue energy dissipation. Sci. Rep. 2023, 13, 15894. [Google Scholar] [CrossRef]
- Marchant, L.F.; McGrew, W.C.; Eibl-Eibesfeldt, I. Is human handedness universal? Ethological analyses from three traditional cultures. Ethology 1995, 101, 239–258. [Google Scholar] [CrossRef]
- Corballis, M.C. Laterality and human evolution. Psychol. Rev. 1989, 96, 492. [Google Scholar] [CrossRef] [PubMed]
- Corballis, M.C. From mouth to hand: Gesture, speech, and the evolution of right-handedness. Behav. Brain Sci. 2003, 26, 199–208. [Google Scholar] [CrossRef] [PubMed]
- Marcori, A.J.; Okazaki, V.H.A. A historical, systematic review of handedness origins. Laterality 2020, 25, 87–108. [Google Scholar] [CrossRef]






Disclaimer/Publisher’s Note: The statements, opinions and data contained in all publications are solely those of the individual author(s) and contributor(s) and not of MDPI and/or the editor(s). MDPI and/or the editor(s) disclaim responsibility for any injury to people or property resulting from any ideas, methods, instructions or products referred to in the content. |
© 2024 by the authors. Licensee MDPI, Basel, Switzerland. This article is an open access article distributed under the terms and conditions of the Creative Commons Attribution (CC BY) license (https://creativecommons.org/licenses/by/4.0/).
Share and Cite
Arango-Restrepo, A.; Rubi, J.M. Thermodynamic Insights into Symmetry Breaking: Exploring Energy Dissipation across Diverse Scales. Entropy 2024, 26, 231. https://doi.org/10.3390/e26030231
Arango-Restrepo A, Rubi JM. Thermodynamic Insights into Symmetry Breaking: Exploring Energy Dissipation across Diverse Scales. Entropy. 2024; 26(3):231. https://doi.org/10.3390/e26030231
Chicago/Turabian StyleArango-Restrepo, Andrés, and J. Miguel Rubi. 2024. "Thermodynamic Insights into Symmetry Breaking: Exploring Energy Dissipation across Diverse Scales" Entropy 26, no. 3: 231. https://doi.org/10.3390/e26030231
APA StyleArango-Restrepo, A., & Rubi, J. M. (2024). Thermodynamic Insights into Symmetry Breaking: Exploring Energy Dissipation across Diverse Scales. Entropy, 26(3), 231. https://doi.org/10.3390/e26030231

