Quadratic Growth of Out-of-Time-Ordered Correlators in Quantum Kicked Rotor Model
Abstract
1. Introduction
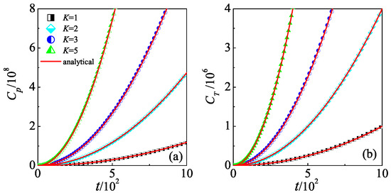
2. Model and Main Results
3. Theoretical Analysis
3.1. Derivation of the
3.2. Derivation of the
4. Conclusions and Discussion
Author Contributions
Funding
Institutional Review Board Statement
Data Availability Statement
Conflicts of Interest
References
- Yan, B.; Cincio, L.; Zurek, W.H. Information Scrambling and Loschmidt Echo. Phys. Rev. Lett. 2020, 124, 160603. [Google Scholar] [CrossRef]
- Yan, B.; Sinitsyn, N.A. Recovery of Damaged Information and the Out-of-Time-Ordered Correlators. Phys. Rev. Lett. 2020, 125, 040605. [Google Scholar] [CrossRef]
- Wang, J.H.; Cai, T.Q.; Han, X.Y.; Ma, Y.W.; Wang, Z.L.; Bao, Z.H.; Li, Y.; Wang, H.Y.; Zhang, H.Y.; Sun, L.Y.; et al. Information scrambling dynamics in a fully controllable quantum simulator. Phys. Rev. Res. 2022, 4, 043141. [Google Scholar] [CrossRef]
- Swingle, B. Unscrambling the physics of out-of-time-order correlators. Nat. Phys. 2018, 14, 988. [Google Scholar] [CrossRef]
- Omanakuttan, S.; Chinni, K.; Blocher, P.D.; Poggi, P.M. Scrambling and quantum chaos indicators from long-time properties of operator distributions. Phys. Rev. A 2023, 107, 032418. [Google Scholar] [CrossRef]
- García-Mata, I.; Jalabert, R.A.; Wisniacki, D.A. Out-of-time-order correlators and quantum chaos. Scholarpedia 2023, 18, 55237. [Google Scholar] [CrossRef]
- Hamazaki, R.; Fujimoto, K.; Ueda, M. Operator Noncommutativity and Irreversibility in Quantum Chaos. arXiv 2018, arXiv:1807.02360. [Google Scholar]
- Varikuti, N.D.; Sahu, A.; Lakshminarayan, A.; Madhok, V. Probing dynamical sensitivity of a non-Kolmogorov-Arnold-Moser system through out-of-time-order correlators. Phys. Rev. E 2024, 109, 014209. [Google Scholar] [CrossRef]
- Sreeram, P.G.; Vaibhav, M.; Arul, L. Out-of-time-ordered correlators and the Loschmidt echo in the quantum kicked top: How low can we go? J. Phys. D Appl. Phys. 2021, 54, 274004. [Google Scholar]
- Zhao, S.K.; Ge, Z.Y.; Xiang, Z.C.; Xue, G.M.; Yan, H.S.; Wang, Z.T.; Wang, Z.; Xu, H.K.; Su, F.F.; Yang, Z.H.; et al. Probing Operator Spreading via Floquet Engineering in a Superconducting Circuit. Phys. Rev. Lett. 2022, 129, 160602. [Google Scholar] [CrossRef]
- Dağ, C.B.; Sun, K.; Duan, L.M. Detection of Quantum Phases via Out-of-Time-Order Correlators. Phys. Rev. Lett. 2019, 123, 140602. [Google Scholar] [CrossRef]
- Zamani, S.; Jafari, R.; Langari, A. Out-of-time-order correlations and Floquet dynamical quantum phase transition. Phys. Rev. B 2022, 105, 094304. [Google Scholar] [CrossRef]
- Omanakuttan, S.; Lakshminarayan, A. Out-of-time-ordered correlators and quantum walks. Phys. Rev. E 2019, 99, 062128. [Google Scholar] [CrossRef] [PubMed]
- Yin, C.; Lucas, A. Quantum operator growth bounds for kicked tops and semiclassical spin chains. Phys. Rev. A 2021, 103, 042414. [Google Scholar] [CrossRef]
- Zhang, P.F.; Yu, Z.H. Dynamical Transition of Operator Size Growth in Quantum Systems Embedded in an Environment. Phys. Rev. Lett. 2023, 130, 250401. [Google Scholar] [CrossRef] [PubMed]
- Liu, F.L.; Garrison, J.R.; Deng, D.L.; Gong, Z.X.; Gorshkov, A.V. Asymmetric Particle Transport and Light-Cone Dynamics Induced by Anyonic Statistics. Phys. Rev. Lett. 2018, 121, 250404. [Google Scholar] [CrossRef] [PubMed]
- Das, A.; Chakrabarty, S.; Dhar, A.; Kundu, A.; Huse, D.A.; Moessner, R.; Ray, S.S.; Bhattacharjee, S. Light-Cone Spreading of Perturbations and the Butterfly Effect in a Classical Spin Chain. Phys. Rev. Lett. 2018, 121, 024101. [Google Scholar] [CrossRef]
- Keselman, A.; Nie, L.; Berg, E. Scrambling and Lyapunov exponent in spatially extended systems. Phys. Rev. B 2021, 103, L121111. [Google Scholar] [CrossRef]
- Mezei, M.; Sárosi, G. Chaos in the butterfly cone. J. High Energy Phys. 2020, 01, 186. [Google Scholar] [CrossRef]
- Pappalardi, S.; Kurchan, J. Quantum bounds on the generalized lyapunov exponents. Entropy 2023, 25, 246. [Google Scholar] [CrossRef]
- MacCormack, I.; Tan, M.T.; Kudler-Flam, J.; Ryu, S. Operator and entanglement growth in nonthermalizing systems: Many-body localization and the random singlet phase. Phys. Rev. B 2021, 104, 214202. [Google Scholar] [CrossRef]
- Kobrin, B.; Yang, Z.; Kahanamoku-Meyer, G.D.; Olund, C.T.; Moore, J.E.; Stanford, D.; Yao, N.Y. Many body chaos in the Sachdev-Ye-Kitaev model. Phys. Rev. Lett. 2021, 126, 030602. [Google Scholar] [CrossRef] [PubMed]
- Bilitewski, T.; Bhattacharjee, S.; Moessner, R. Classical many-body chaos with and without quasiparticles. Phys. Rev. B 2021, 103, 174302. [Google Scholar] [CrossRef]
- Xu, T.R.; Scaffidi, T.; Cao, X.Y. Does Scrambling Equal Chaos? Phys. Rev. Lett. 2020, 124, 140602. [Google Scholar] [CrossRef]
- Jaiswal, N.; Gautam, M.; Gill, A.; Sarkar, T. Fotoc complexity in the Lipkin-Meshkov-Glick model and its variant. Eur. Phys. J. B 2024, 97, 5. [Google Scholar] [CrossRef]
- Huh, K.-B.; Ikeda, K.; Jahnke, V.; Kim, K.-Y. Diagnosing first- and second-order phase transitions with probes of quantum chaos. Phys. Rev. E 2021, 104, 024136. [Google Scholar] [CrossRef]
- Zhao, W.L.; Wang, R.R.; Ke, H.; Liu, J. Scaling laws of the out-of-time-order correlators at the transition to the spontaneous PT-symmetry breaking in a Floquet system. Phys. Rev. A 2023, 107, 062201. [Google Scholar] [CrossRef]
- Zhao, W.L.; Liu, J. Superexponential behaviors of out-of-time ordered correlators and Loschmidt echo in a non-Hermitian interacting system. arXiv 2023, arXiv:2305.1215. [Google Scholar]
- Zhao, W.L.; Hu, Y.; Li, Z.; Wang, Q. Super-exponential growth of Out-of-time-ordered correlators. Phys. Rev. B 2021, 103, 184311. [Google Scholar] [CrossRef]
- Qi, Z.; Scaffidi, T.; Cao, X. Surprises in the deep Hilbert space of all-to-all systems: From superexponential scrambling to slow entanglement growth. Phys. Rev. B 2023, 108, 054301. [Google Scholar] [CrossRef]
- Santhanam, M.S.; Paul, S.; Kannan, J.B. Quantum kicked rotor and its variants: Chaos, localization and beyond. Phys. Rep. 2022, 956, 1. [Google Scholar] [CrossRef]
- Wang, J.; García-García, A.M. Anderson transition in a three-dimensional kicked rotor. Phys. Rev. E 2009, 79, 036206. [Google Scholar] [CrossRef]
- Scoquart, T.; Wellens, T.; Delande, D.; Cherroret, N. Quench dynamics of a weakly interacting disordered Bose gas in momentum space. Phys. Rev. Res. 2020, 2, 033349. [Google Scholar] [CrossRef]
- Ho, D.Y.H.; Gong, J.B. Quantized Adiabatic Transport In Momentum Space. Phys. Rev. Lett. 2012, 109, 010601. [Google Scholar] [CrossRef] [PubMed]
- Cheng, Q.Q.; Pan, Y.M.; Wang, H.Q.; Zhang, C.S.; Yu, D.; Gover, A.; Zhang, H.J.; Li, T.; Zhou, L.; Zhu, S.N. Observation of Anomalous π Modes in Photonic Floquet Engineering. Phys. Rev. Lett. 2019, 122, 173901. [Google Scholar] [CrossRef] [PubMed]
- Zhou, L.W.; Zhang, D.J. Non-Hermitian Floquet Topological Matter—A Review. Entropy 2023, 25, 1401. [Google Scholar] [CrossRef]
- Zhou, L.W. Entanglement spectrum and entropy in Floquet topological matter. Phys. Rev. Res. 2022, 4, 043164. [Google Scholar] [CrossRef]
- Wang, H.L.; Wang, J.; Guarneri, I.; Casati, G.; Gong, J.B. Exponential quantum spreading in a class of kicked rotor systems near high-order resonances. Phys. Rev. E 2013, 88, 052919. [Google Scholar] [CrossRef] [PubMed]
- Wang, J.; Gong, J.B. Proposal of a cold-atom realization of quantum maps with Hofstadter’s butterfly spectrum. Phys. Rev. A 2008, 77, 031405(R). [Google Scholar] [CrossRef]
- Wang, J.; Gong, J.B. Generating a fractal butterfly Floquet spectrum in a class of driven SU(2) systems. Phys. Rev. E 2010, 81, 026204. [Google Scholar] [CrossRef]
- Wang, H.L.; Ho, D.Y.H.; Lawton, W.; Wang, J.; Gong, J.B. Kicked-Harper model versus on-resonance double-kicked rotor model: From spectral difference to topological equivalence. Phys. Rev. E 2013, 88, 052920. [Google Scholar] [CrossRef]
- Faddeev, L.D.; Kashaev, R.M. Generalized Bethe ansatz equations for Hofstadter problem. Commun. Math. Phys. 1995, 169, 181. [Google Scholar] [CrossRef]
- Ikeda, K. Hofstadter’s butterfly and Langlands duality. J. Math. Phys. 2018, 59, 061704. [Google Scholar] [CrossRef]
- Kohmoto, M.; Sedrakyan, A. Hofstadter problem on the honeycomb and triangular lattices: Bethe ansatz solution. Phys. Rev. B 2006, 73, 235118. [Google Scholar] [CrossRef]
- Bomantara, R.W.; Raghava, G.N.; Zhou, L.W.; Gong, J.B. Floquet topological semimetal phases of an extended kicked Harper model. Phys. Rev. E 2016, 93, 022209. [Google Scholar] [CrossRef]
- Zhou, L.W. Floquet Second-Order Topological Phases in Momentum Space. Nanomaterials 2021, 11, 1170. [Google Scholar] [CrossRef]
- Chen, Y.; Tian, C.S. Planck’s Quantum-Driven Integer Quantum Hall Effect in Chaos. Phys. Rev. Lett. 2014, 113, 216802. [Google Scholar] [CrossRef]
- Tian, C.S.; Chen, Y.; Wang, J. Emergence of integer quantum Hall effect from chaos. Phys. Rev. B 2016, 93, 075403. [Google Scholar] [CrossRef]
- Summy, G.; Wimberger, S. Quantum random walk of a Bose–Einstein condensate in momentum space. Phys. Rev. A 2016, 93, 023638. [Google Scholar] [CrossRef]
- Dadras, S.; Gresch, A.; Groiseau, C.; Wimberger, S.; Summy, G.S. Quantum Walk in Momentum Space with a Bose–Einstein Condensate. Phys. Rev. Lett. 2018, 121, 070402. [Google Scholar] [CrossRef] [PubMed]
- Weiß, M.; Groiseau, C.; Lam, W.K.; Burioni, R.; Vezzani, A.; Summy, G.S.; Wimberger, S. Steering random walks with kicked ultracold atoms. Phys. Rev. A 2015, 92, 033606. [Google Scholar] [CrossRef]
- Dadras, S.; Gresch, A.; Groiseau, C.; Wimberger, S.; Summy, G.S. Experimental realization of a momentum-space quantum walk. Phys. Rev. A 2019, 99, 043617. [Google Scholar] [CrossRef]
- Delvecchio, M.; Groiseau, C.; Petiziol, F.; Summy, G.S.; Wimberger, S. Quantum search with a continuous-time quantum walk in momentum space. J. Phys. B At. Mol. Opt. Phys. 2020, 53, 065301. [Google Scholar] [CrossRef]
- Vakulchyk, I.; Fistul, M.V.; Flach, S. Wave Packet Spreading with Disordered Nonlinear Discrete-Time Quantum Walks. Phys. Rev. Lett. 2019, 122, 040501. [Google Scholar] [CrossRef]
- Casati, G.; Ford, J. Stochastic Behavior in Classical and Quantum Hamiltonian Systems. Lect. Notes Phys. 1979, 93, 770692. [Google Scholar]
- Moore, F.L.; Robinson, J.C.; Bharucha, C.F.; Sundaram, B.; Raizen, M.G. Atom optics realization of the quantum δ-kicked rotor. Phys. Rev. Lett. 1995, 75, 4598. [Google Scholar] [CrossRef]
- Li, J.; Fan, R.H.; Wang, H.Y.; Ye, B.T.; Zeng, B.; Zhai, H.; Peng, X.H.; Du, J.F. Measuring out-of-time-order correlators on a nuclear magnetic resonance quantum simulator. Phys. Rev. X 2017, 7, 031011. [Google Scholar] [CrossRef]
- Hashimoto, K.; Murata, K.; Yoshii, R. Out-of-time-order correlators in quantum mechanics. J. High Energ. Phys. 2017, 10, 138. [Google Scholar] [CrossRef]
- García-Mata, I.; Saraceno, M.; Jalabert, R.A.; Roncaglia, A.J.; Wisniacki, D.A. Chaos signatures in the short and long time behavior of the out-of-time ordered correlator. Phys. Rev. Lett. 2018, 121, 210601. [Google Scholar] [CrossRef]
- Zonnios, M.; Levinsen, J.; Parish, M.M.; Pollock, F.A.; Modi, K. Signatures of Quantum Chaos in an Out-of-Time-Order Tensor. Phys. Rev. Lett. 2022, 128, 150601. [Google Scholar] [CrossRef] [PubMed]
- Fan, R.H.; Zhang, P.F.; Shen, H.T.; Zhai, H. Out-of-Time Order Correlation for Many-Body Localization. Sci. Bull. 2017, 62, 707. [Google Scholar] [CrossRef]
- Lewis-Swan, R.J.; Safavi-Naini, A.; Bollinger, J.J.; Rey, A.M. Unifying scrambling, thermalization and entanglement through measurement of fidelity out-of-timeorder correlators in the Dicke model. Nat. Commun. 2019, 10, 1581. [Google Scholar] [CrossRef]
- Gärttner, M.; Hauke, P.; Rey, A.M. Relating Out-of-Time-Order Correlations to Entanglement via Multiple-Quantum Coherences. Phys. Rev. Lett. 2018, 120, 040402. [Google Scholar] [CrossRef]
- Li, S.C.; Pezzè, L.; Smerzi, A. Multiparticle entanglement dynamics of quantum chaos in a Bose–Einstein condensate. Phys. Rev. A 2021, 103, 052417. [Google Scholar] [CrossRef]
- Haake, F.; Shepelyansky, D.L. The kicked rotator as a limit of the kicked top. Europhys. Lett. 1988, 5, 671. [Google Scholar] [CrossRef]
- Wimberger, S.; Guarneri, I.; Fishman, S. Quantum resonances and decoherence for delta-kicked atoms. Nonlinearity 2003, 16, 1381. [Google Scholar] [CrossRef]
- Wimberger, S.; Guarneri, I.; Fishman, S. Classical Scaling Theory of Quantum Resonances. Phys. Rev. Lett. 2004, 92, 084102. [Google Scholar] [CrossRef]
- Zhao, W.L.; Liu, J. Quantum criticality at the boundary of the non-Hermitian regime of a Floquet system. arXiv 2023, arXiv:2307.00462. [Google Scholar]


Disclaimer/Publisher’s Note: The statements, opinions and data contained in all publications are solely those of the individual author(s) and contributor(s) and not of MDPI and/or the editor(s). MDPI and/or the editor(s) disclaim responsibility for any injury to people or property resulting from any ideas, methods, instructions or products referred to in the content. |
© 2024 by the authors. Licensee MDPI, Basel, Switzerland. This article is an open access article distributed under the terms and conditions of the Creative Commons Attribution (CC BY) license (https://creativecommons.org/licenses/by/4.0/).
Share and Cite
Li, G.; Zhao, W. Quadratic Growth of Out-of-Time-Ordered Correlators in Quantum Kicked Rotor Model. Entropy 2024, 26, 229. https://doi.org/10.3390/e26030229
Li G, Zhao W. Quadratic Growth of Out-of-Time-Ordered Correlators in Quantum Kicked Rotor Model. Entropy. 2024; 26(3):229. https://doi.org/10.3390/e26030229
Chicago/Turabian StyleLi, Guanling, and Wenlei Zhao. 2024. "Quadratic Growth of Out-of-Time-Ordered Correlators in Quantum Kicked Rotor Model" Entropy 26, no. 3: 229. https://doi.org/10.3390/e26030229
APA StyleLi, G., & Zhao, W. (2024). Quadratic Growth of Out-of-Time-Ordered Correlators in Quantum Kicked Rotor Model. Entropy, 26(3), 229. https://doi.org/10.3390/e26030229

