Robustness Analysis of Multilayer Infrastructure Networks Based on Incomplete Information Stackelberg Game: Considering Cascading Failures
Abstract
1. Introduction
2. Construction of Multilayer False Networks and Cascading Failures
2.1. Description of Multilayer Networks and Multilayer Node-Weighted Degree
2.2. Active Deceptive Link Hiding in Multilayer Networks
2.3. Cascading Failure Model in Multilayer Networks
2.4. Performance Metric for Multilayer Networks
3. MSGM-IICF: Multilayer Network Stackelberg Game Model with Incomplete Information Considering Cascading Failures
3.1. Basic Assumptions
- (1)
- We consider only one attacker and only one defender. The defender acts first, and the attacker observes the defender’s strategy before acting. The game lasts for only one round.
- (2)
- The players are fully rational and tend to choose strategies that result in higher payoffs.
- (3)
- The defender knows the actual network (AN) and the false network (FN), while the attacker only knows the FN intentionally disclosed by the defender and chooses their strategies based on the FN.
- (4)
- Both the attacker and the defender are aware of the effects of cascading failures and follow the same failure rules.
3.2. Cost Model
3.3. Strategies
- (1)
- If is protected, i.e., if , then the node is not deleted.
- (2)
- If is not protected, i.e., if , then:
- -
- If , then is retained.
- -
- If , then the analysis proceeds as follows. According to Equation (5), in order to successfully delete a node, the attacker must pay the cost . The attacker deploys attack resources based on calculated from the FN perspective. The resulting attack intensity may be less than the cost required to delete the node, causing an unsaturated attack. To describe this phenomenon, we define the deletion probability of an unprotected node after being attacked, as shown in Equation (10):where and represent the node properties from the attacker’s perspective and the defender’s perspective, respectively. In this paper, uses the multilayer node-weighted degree. Whether an unprotected node is deleted after being attacked depends on . We define its deletion rule as follows: if , then deletion occurs; otherwise, we take a random probability . If , then deletion occurs, while if then no deletion occurs.
3.4. Payoff Functions and Payoff Matrix
3.5. Solution
4. Experiments on Multilayer Scale-Free Networks
4.1. Analysis of Stackelberg Game Equilibrium Under Link Hiding
4.1.1. Defender’s Equilibrium Payoff
4.1.2. Attacker’s Equilibrium Payoff
4.1.3. Strategy Choices of Attacker and Defender
4.1.4. Impact of Link Hiding on the Multilayer Node-Weighted Degree
4.2. Equilibrium Analysis of Incomplete Information Stackelberg Game Considering Cascading Failures
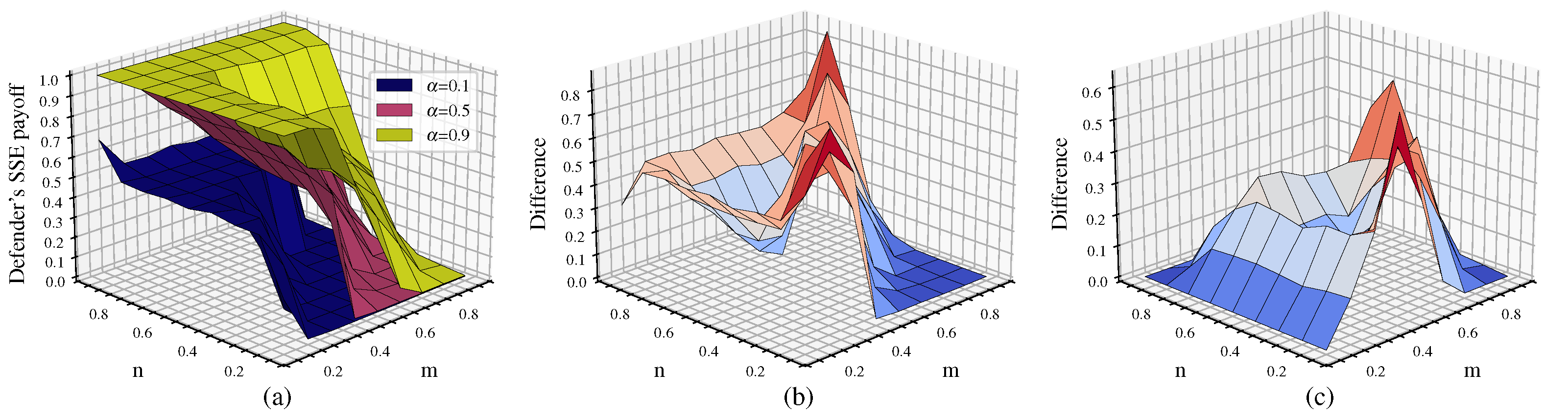
4.2.1. Defender’s Equilibrium Payoff Under Cascading Failures
4.2.2. Analysis of Defender’s Equilibrium Payoff Characteristics Under Cascading Failures
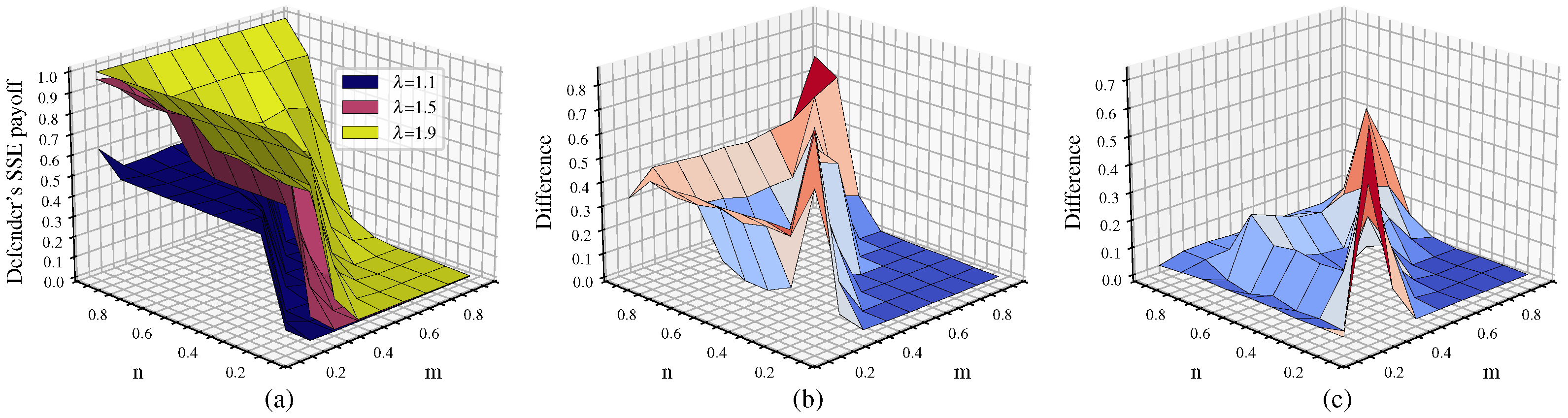
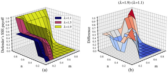
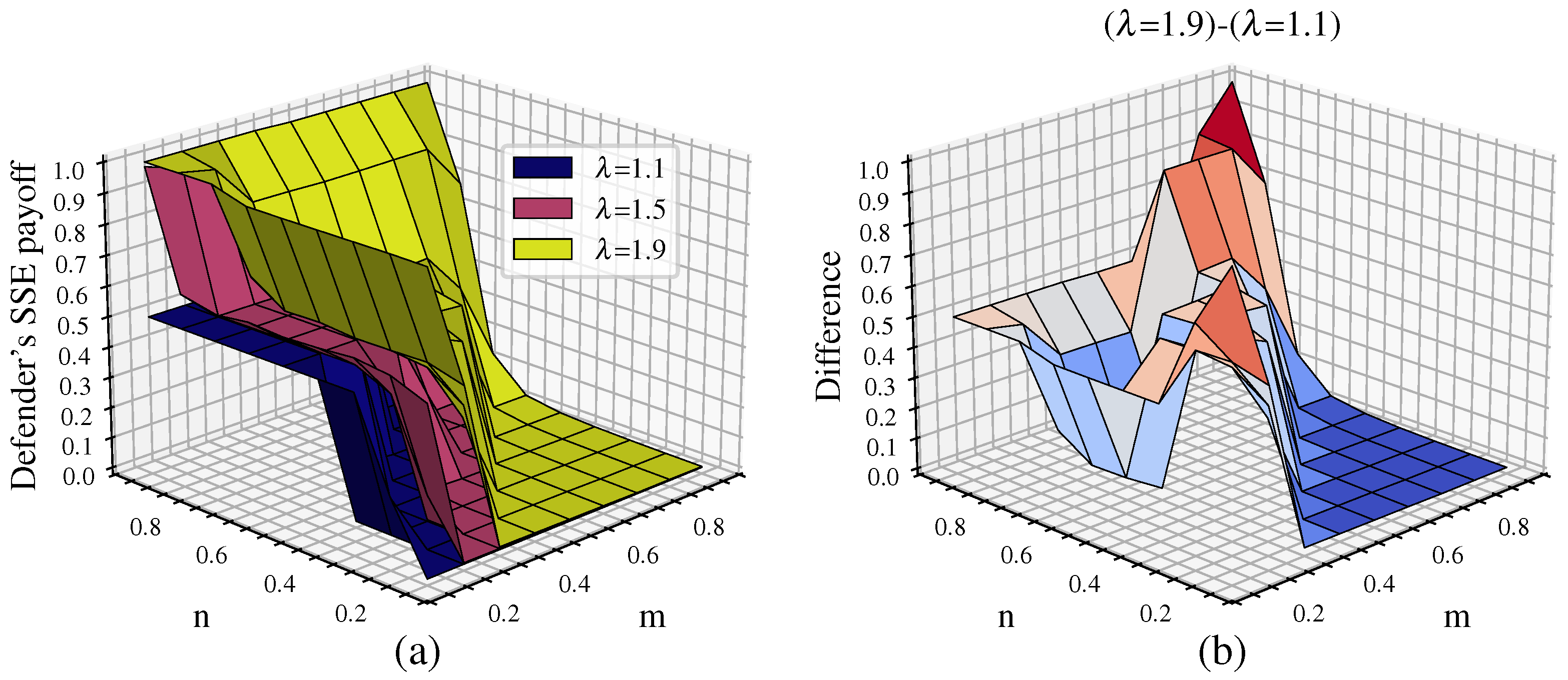
4.2.3. Changes in the Defender’s Equilibrium Payoff Under Different Tolerance Coefficients
4.2.4. Attacker’s Equilibrium Payoff Under Cascading Failures
4.2.5. Strategy Choices of Attacker and Defender Under Cascading Failures
4.3. Parameter Sensitivity Analysis
4.3.1. Analysis of Cost Sensitivity Coefficient
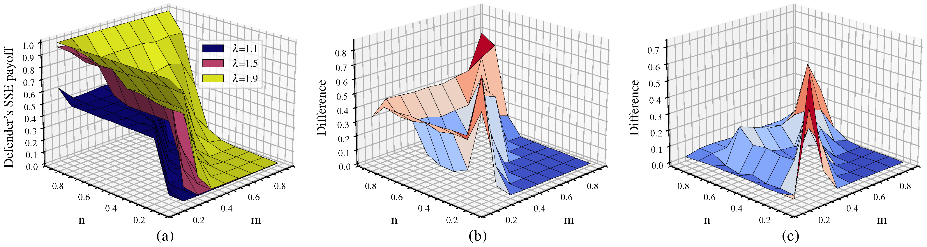
4.3.2. Analysis of Load Exponent ()
5. Experiments on Real-World Multilayer Networks
5.1. Analysis of Stackelberg Game Equilibrium Under Link Hiding
5.1.1. Defender’s Equilibrium Payoff
5.1.2. Strategy Choices of Attacker and Defender
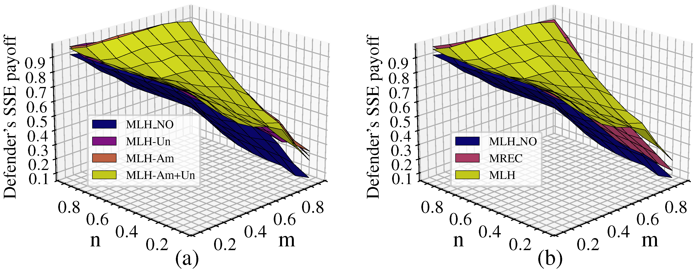
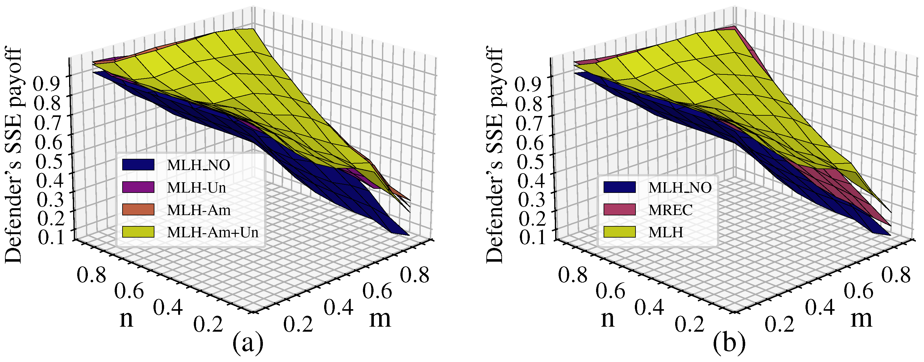
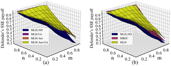
5.1.3. Comparison with Other Link Hiding Methods
5.2. Equilibrium Analysis of Incomplete Information Stackelberg Game Considering Cascading Failures
5.2.1. Changes in the Defender’s Equilibrium Payoff
5.2.2. Strategy Choices of Attacker and Defender
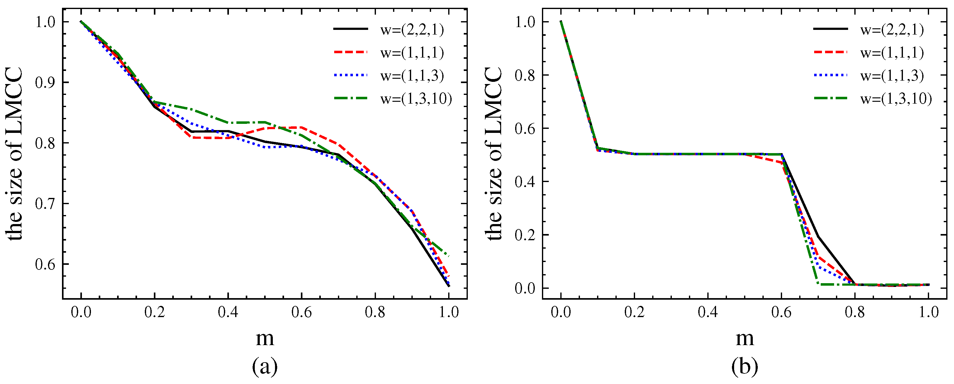
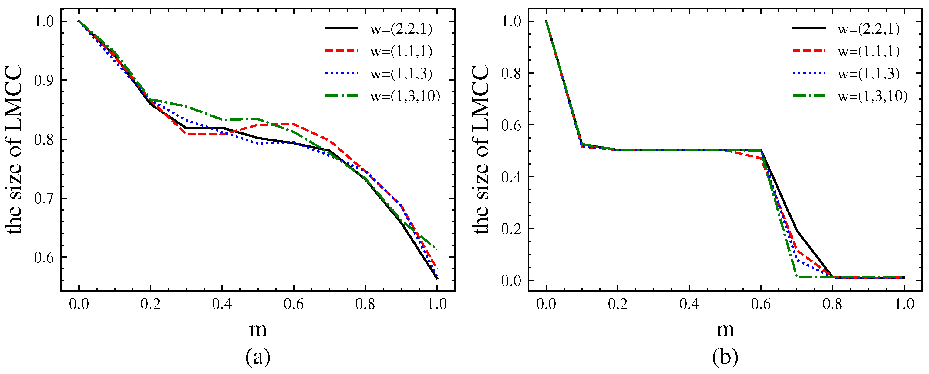
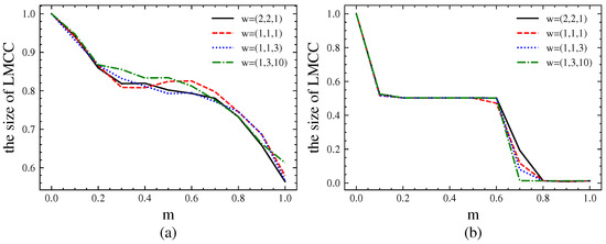
5.3. Analysis of Edge Weights (w)
5.4. Analysis of Cost Adjustment Factor
5.4.1. Changes in the Defender’s Equilibrium Payoff
5.4.2. Strategy Choices of Attacker and Defender
5.5. Analysis of Tolerance Coefficients
6. Conclusions
- When cascading failures are not considered, link hiding can increase the defender’s payoff and improve network robustness. The fundamental reason for this is the reduction in the multilayer node-weighted degree caused by link hiding.
- With the introduction of cascading failures, the impact of link hiding diminishes and cascading failures become the primary factor influencing network robustness. A higher tolerance coefficient leads to higher defender payoffs and better network robustness.
- When cascading failures are not considered, the cost sensitivity coefficient significantly influences the respective strategy choices of both the attacker and defender. When cascading failures are introduced, the influence of the cost sensitivity coefficient becomes less apparent, which further indicates that cascading failures are the main factor affecting the robustness of multilayer networks. The load exponent in the cascading failure model has a relatively small impact on the equilibrium strategy choice.
Author Contributions
Funding
Institutional Review Board Statement
Data Availability Statement
Conflicts of Interest
References
- Ficara, A.; Curreri, F.; Fiumara, G.; De Meo, P.; Liotta, A. Covert Network Construction, Disruption, and Resilience: A Survey. Mathematics 2022, 10, 2929. [Google Scholar] [CrossRef]
- Beikbabaei, M.; Montano, M.; Mehrizi-Sani, A.; Liu, C.C. Mitigating False Data Injection Attacks on Inverter Set Points in a 100% Inverter-Based Microgrid. In Proceedings of the 2024 IEEE Power & Energy Society Innovative Smart Grid Technologies Conference (ISGT), Washington, DC, USA, 19–22 February 2024; pp. 1–5. [Google Scholar] [CrossRef]
- Zang, T.; Gao, S.; Liu, B.; Huang, T.; Wang, T.; Wei, X. Integrated fault propagation model based vulnerability assessment of the electrical cyber-physical system under cyber attacks. Reliab. Eng. Syst. Saf. 2019, 189, 232–241. [Google Scholar] [CrossRef]
- Tu, H.; Xia, Y.; Chen, X. Vulnerability analysis of cyber physical systems under the false alarm cyber attacks. Phys. A 2022, 599, 127416. [Google Scholar] [CrossRef]
- Halimi, Z.; Bavafa, A.; Cui, Q. Barriers to Community Connectivity: An Assessment of Reconnecting Communities Pilot Program. In Proceedings of the International Conference on Transportation and Development 2024, Atlanta, GA, USA, 15–18 June 2024; pp. 83–91. [Google Scholar] [CrossRef]
- Liu, X.; Li, D.; Ma, M.; Szymanski, B.K.; Stanley, H.E.; Gao, J. Network resilience. Phys. Rep. 2022, 971, 1–108. [Google Scholar] [CrossRef]
- Artime, O.; Grassia, M.; De Domenico, M.; Gleeson, J.P.; Makse, H.A.; Mangioni, G.; Perc, M.; Radicchi, F. Robustness and resilience of complex networks. Nat. Rev. Phys. 2024, 6, 114–131. [Google Scholar] [CrossRef]
- Yang, K.; Li, J.; Liu, M.; Lei, T.; Xu, X.; Wu, H.; Cao, J.; Qi, G. Complex systems and network science: A survey. J. Syst. Eng. Electron. 2023, 34, 543–573. [Google Scholar] [CrossRef]
- Artime, O. Multilayer Network Science: From Cells to Societies, 1st ed.; Elements in Structure and Dynamics of Complex Networks; Cambridge University Press: Cambridge, UK; New York, NY, USA, 2022. [Google Scholar]
- Aleta, A.; Moreno, Y. Multilayer Networks in a Nutshell. Annu. Rev. Condens. Matter Phys. 2019, 10, 45–62. [Google Scholar] [CrossRef]
- De Domenico, M. More is different in real-world multilayer networks. Nat. Phys. 2023, 19, 1247–1262. [Google Scholar] [CrossRef]
- Hajibabaei, M.; Hesarkazzazi, S.; Minaei, A.; Dastgir, A.; Sitzenfrei, R. Using complex network theory for missing data reconstruction in water distribution networks. Sustain. Cities Soc. 2024, 101, 105114. [Google Scholar] [CrossRef]
- Ding, R.; Ujang, N.; Hamid, H.B.; Manan, M.S.A.; Li, R.; Albadareen, S.S.M.; Nochian, A.; Wu, J. Application of Complex Networks Theory in Urban Traffic Network Researches. Netw. Spat. Econ. 2019, 19, 1281–1317. [Google Scholar] [CrossRef]
- Bardoscia, M.; Barucca, P.; Battiston, S.; Caccioli, F.; Cimini, G.; Garlaschelli, D.; Saracco, F.; Squartini, T.; Caldarelli, G. The physics of financial networks. Nat. Rev. Phys. 2021, 3, 490–507. [Google Scholar] [CrossRef]
- Zhang, M.; Wang, X.; Jin, L.; Song, M.; Li, Z. A new approach for evaluating node importance in complex networks via deep learning methods. Neurocomputing 2022, 497, 13–27. [Google Scholar] [CrossRef]
- Lin, W.; Xu, L.; Fang, H. Finding influential edges in multilayer networks: Perspective from multilayer diffusion model. Chaos 2022, 32, 103131. [Google Scholar] [CrossRef] [PubMed]
- Artime, O.; De Domenico, M. Percolation on feature-enriched interconnected systems. Nat. Commun. 2021, 12, 2478. [Google Scholar] [CrossRef]
- Osat, S.; Faqeeh, A.; Radicchi, F. Optimal percolation on multiplex networks. Nat. Commun. 2017, 8, 1540. [Google Scholar] [CrossRef]
- Zeng, C.; Lu, L.; Liu, H.; Chen, J.; Zhou, Z. Multiplex network disintegration strategy inference based on deep network representation learning. Chaos 2022, 32, 053109. [Google Scholar] [CrossRef]
- Al Musawi, A.F.; Roy, S.; Ghosh, P. Examining indicators of complex network vulnerability across diverse attack scenarios. Sci. Rep. 2023, 13, 18208. [Google Scholar] [CrossRef]
- Dereich, S.; Mörters, P. Random networks with sublinear preferential attachment: The giant component. Ann. Probab. 2013, 41, 329–384. [Google Scholar] [CrossRef]
- Latora, V.; Marchiori, M. Efficient Behavior of Small-World Networks. Phys. Rev. Lett. 2001, 87, 198701. [Google Scholar] [CrossRef]
- Zhang, X.; Ding, S.; Ge, B.; Xia, B.; Pedrycz, W. Resource allocation among multiple targets for a defender-attacker game with false targets consideration. Reliab. Eng. Syst. Saf. 2021, 211, 107617. [Google Scholar] [CrossRef]
- Hunt, K.; Zhuang, J. A review of attacker-defender games: Current state and paths forward. Eur. J. Oper. Res. 2023, 313, 401–417. [Google Scholar] [CrossRef]
- Peng, R.; Wu, D.; Sun, M.; Wu, S. An attack-defense game on interdependent networks. J. Oper. Res. Soc. 2021, 72, 2331–2341. [Google Scholar] [CrossRef]
- Li, Y.; Tan, S.Y.; Deng, Y.; Wu, J. Attacker-defender game from a network science perspective. Chaos Interdiscip. J. Nonlinear Sci. 2018, 28, 051102. [Google Scholar] [CrossRef] [PubMed]
- Li, Y.; Xiao, Y.; Li, Y.; Wu, J. Which Targets to Protect in Critical Infrastructures—A Game-Theoretic Solution From a Network Science Perspective. IEEE Access 2018, 6, 56214–56221. [Google Scholar] [CrossRef]
- Wang, S.; Sun, J.; Zhang, J.; Dong, Q.; Gu, X.; Chen, C. Attack-Defense game analysis of critical infrastructure network based on Cournot model with fixed operating nodes. Int. J. Crit. Infrastruct. Prot. 2023, 40, 100583. [Google Scholar] [CrossRef]
- Li, Y.; Qiao, S.; Deng, Y.; Wu, J. Stackelberg game in critical infrastructures from a network science perspective. Phys. A 2019, 521, 705–714. [Google Scholar] [CrossRef]
- Qi, G.; Li, J.; Xu, X.; Chen, G.; Yang, K. An attack–defense game model in infrastructure networks under link hiding. Chaos Interdiscip. J. Nonlinear Sci. 2022, 32, 113109. [Google Scholar] [CrossRef]
- Liu, D.; Zhang, Z. Research on Robustness of Critical information infrastructure Based on Attack-Defensive Game Model. J. Phys. Conf. Ser. 2021, 1738, 012112. [Google Scholar] [CrossRef]
- Guo, Z.; Wang, Y.; Zhong, J.; Fu, C.; Sun, Y.; Li, J.; Chen, Z.; Wen, G. Effect of load-capacity heterogeneity on cascading overloads in networks. Chaos 2021, 31, 123104. [Google Scholar] [CrossRef]
- Crucitti, P.; Latora, V.; Marchiori, M. Model for cascading failures in complex networks. Phys. Rev. E 2004, 69, 045104. [Google Scholar] [CrossRef]
- Jing, K.; Du, X.; Shen, L.; Tang, L. Robustness of complex networks: Cascading failure mechanism by considering the characteristics of time delay and recovery strategy. Phys. A 2019, 534, 122061. [Google Scholar] [CrossRef]
- Duan, D.; Lv, C.; Si, S.; Wang, Z.; Li, D.; Gao, J.; Havlin, S.; Stanley, H.E.; Boccaletti, S. Universal behavior of cascading failures in interdependent networks. Proc. Natl. Acad. Sci. USA 2019, 116, 22452–22457. [Google Scholar] [CrossRef] [PubMed]
- Dui, H.; Meng, X.; Xiao, H.; Guo, J. Analysis of the cascading failure for scale-free networks based on a multi-strategy evolutionary game. Reliab. Eng. Syst. Saf. 2020, 199, 106919. [Google Scholar] [CrossRef]
- Chaoqi, F.; Yangjun, G.; Jilong, Z.; Yun, S.; Pengtao, Z.; Tao, W. Attack-defense game for critical infrastructure considering the cascade effect. Reliab. Eng. Syst. Saf. 2021, 216, 107958. [Google Scholar] [CrossRef]
- Wang, Z.; Wang, L.; Szolnoki, A.; Perc, M. Evolutionary games on multilayer networks: A colloquium. Eur. Phys. J. B 2015, 88, 124. [Google Scholar] [CrossRef]
- Li, Y.; Lin, J.; Zhang, C.; Zhu, H.; Zeng, S.; Sun, C. Joint optimization of structure and protection of interdependent infrastructure networks. Reliab. Eng. Syst. Saf. 2022, 218, 108163. [Google Scholar] [CrossRef]
- Liu, B.; Sun, J. Stackelberg game under asymmetric information in unmanned aerial vehicle swarm active deception defense: From a multi-layer network perspective. In Proceedings of the 2021 International Conference on Big Data and Intelligent Decision Making (BDIDM), Guilin, China, 23–25 July 2021; pp. 75–79. [Google Scholar] [CrossRef]
- Zeng, C.; Ren, B.; Li, M.; Liu, H.; Chen, J. Stackelberg game under asymmetric information in critical infrastructure system: From a complex network. Chaos Interdiscip. J. Nonlinear Sci. 2019, 29, 083129. [Google Scholar] [CrossRef]
- Motter, A.E.; Lai, Y.C. Cascade-based attacks on complex networks. Phys. Rev. E 2002, 66, 065102. [Google Scholar] [CrossRef]
- Wang, B.; Kim, B.J. A high-robustness and low-cost model for cascading failures. Europhys. Lett. 2007, 78, 48001. [Google Scholar] [CrossRef]
- Li, P.; Wang, B.H.; Sun, H.; Gao, P.; Zhou, T. A limited resource model of fault-tolerant capability against cascading failure of complex network. Eur. Phys. J. B 2008, 62, 101–104. [Google Scholar] [CrossRef]
- Başar, T.; Olsder, G.J. Dynamic Noncooperative Game Theory, 2nd ed.; Classics in Applied Mathematics, No. 23; SIAM: Philadelphia, PA, USA, 1999. [Google Scholar]
- Doe, J.; Smith, J.; Johnson, A. Computing the Optimal Strategy to Commit to. In Proceedings of the 7th ACM Conference on Electronic Commerce, Ann Arbor, MI, USA, 11–15 June 2006; pp. 101–110. [Google Scholar] [CrossRef]
- Radicchi, F. Percolation in real interdependent networks. Nat. Phys. 2015, 11, 597–602. [Google Scholar] [CrossRef]
- Bianconi, G.; Radicchi, F. Percolation in real multiplex networks. Phys. Rev. E 2016, 94, 060301. [Google Scholar] [CrossRef]
- Zeng, C.; Ren, B.; Liu, H.; Chen, J. Applying the Bayesian Stackelberg Active Deception Game for Securing Infrastructure Networks. Entropy 2019, 21, 909. [Google Scholar] [CrossRef]
- Fathi, A.E.; Ganji, M.; Boiroux, D.; Bengtsson, H.; Breton, M.D. Intermittent Control for Safe Long-Acting Insulin Intensification for Type 2 Diabetes: In-Silico Experiments. In Proceedings of the 2023 IEEE Conference on Control Technology and Applications (CCTA), Bridgetown, Barbados, 16–18 August 2023; pp. 534–539. [Google Scholar] [CrossRef]
- Ilbeigi, M.; Morteza, A.; Ehsani, R. An Infrastructure-Less Emergency Communication System: A Blockchain-Based Framework. J. Comput. Civ. Eng. 2022, 36, 04021041. [Google Scholar] [CrossRef]
- Ilbeigi, M.; Morteza, A.; Ehsani, R. Emergency Management in Smart Cities: Infrastructure-Less Communication Systems. In Proceedings of the Construction Research Congress 2022, Arlington, VA, USA, 9–12 March 2022; pp. 263–271. [Google Scholar] [CrossRef]
- Rajabi, M.S.; Taghaddos, H.; Zahrai, S.M. Improving Emergency Training for Earthquakes through Immersive Virtual Environments and Anxiety Tests: A Case Study. Buildings 2022, 12, 1850. [Google Scholar] [CrossRef]
- Halimi, Z.; SafariTaherkhani, M.; Cui, Q. A Generalized Framework for Assessing Equity in Ground Transportation Infrastructure: An Exploratory Study. arXiv 2024, arXiv:2409.19018. [Google Scholar] [CrossRef]
























| Strategy | HAS | LAS |
|---|---|---|
| HDS | (, ) | (, ) |
| LDS | (, | (, ) |
| 70 | 23 | 18 | 45 | 14 | 17 | 2 | 38 | 36 | 13 | 20 | 20 | 13 | 23 | 4 | |
| 32.13 | 17.26 | 14.14 | 25.24 | 10.9 | 13.57 | 1.44 | 23.15 | 22.81 | 11.03 | 15.8 | 15.41 | 10.92 | 17.71 | 3.4 | |
| 18.12 | 13.31 | 10.76 | 16.83 | 8.32 | 9.47 | 1.16 | 17.44 | 15.28 | 8.55 | 11.04 | 10.56 | 8.45 | 12.22 | 2.83 | |
| 9.53 | 7.24 | 7.01 | 7.5 | 4.32 | 5.94 | 1 | 8.03 | 7.64 | 6.48 | 6.8 | 5.9 | 6.19 | 8.05 | 2.09 |
| Network | Layers | N | E |
|---|---|---|---|
| US Air Transportation | American–Delta | 84 | 700 |
| American–United | 73 | 499 | |
| United–Delta | 82 | 686 |
Disclaimer/Publisher’s Note: The statements, opinions and data contained in all publications are solely those of the individual author(s) and contributor(s) and not of MDPI and/or the editor(s). MDPI and/or the editor(s) disclaim responsibility for any injury to people or property resulting from any ideas, methods, instructions or products referred to in the content. |
© 2024 by the authors. Licensee MDPI, Basel, Switzerland. This article is an open access article distributed under the terms and conditions of the Creative Commons Attribution (CC BY) license (https://creativecommons.org/licenses/by/4.0/).
Share and Cite
Li, H.; Ji, L.; Li, Y.; Liu, S. Robustness Analysis of Multilayer Infrastructure Networks Based on Incomplete Information Stackelberg Game: Considering Cascading Failures. Entropy 2024, 26, 976. https://doi.org/10.3390/e26110976
Li H, Ji L, Li Y, Liu S. Robustness Analysis of Multilayer Infrastructure Networks Based on Incomplete Information Stackelberg Game: Considering Cascading Failures. Entropy. 2024; 26(11):976. https://doi.org/10.3390/e26110976
Chicago/Turabian StyleLi, Haitao, Lixin Ji, Yingle Li, and Shuxin Liu. 2024. "Robustness Analysis of Multilayer Infrastructure Networks Based on Incomplete Information Stackelberg Game: Considering Cascading Failures" Entropy 26, no. 11: 976. https://doi.org/10.3390/e26110976
APA StyleLi, H., Ji, L., Li, Y., & Liu, S. (2024). Robustness Analysis of Multilayer Infrastructure Networks Based on Incomplete Information Stackelberg Game: Considering Cascading Failures. Entropy, 26(11), 976. https://doi.org/10.3390/e26110976

