Functional Hypergraphs of Stock Markets
Abstract
1. Introduction
2. Methodology
2.1. Information-Theoretic Basics
2.2. Forman–Ricci Curvature
2.3. Von Neumann Entropy
3. Data
4. Results and Discussion
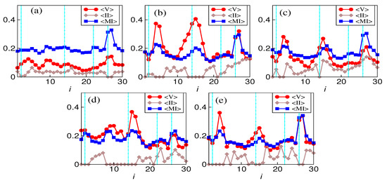
4.1. Average Mutual/Interaction Information and Average Volatility
4.2. Time Evolution of Number of Edges
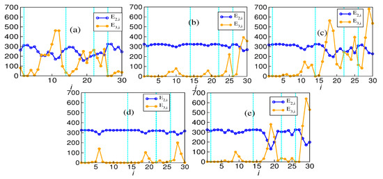
4.3. Forman–Ricci Curvature
4.4. Von Neumann Entropy
5. Conclusions
Author Contributions
Funding
Institutional Review Board Statement
Data Availability Statement
Acknowledgments
Conflicts of Interest
Abbreviations
| MDPI | Multidisciplinary Digital Publishing Institute |
| DOAJ | Directory of open-access journals |
| TLA | Three letter acronym |
| LD | Linear dichroism |
Appendix A
Appendix A.1. Data
| Stock Market | M | N |
|---|---|---|
| BSE | 100 | 26 |
| FTSE | 100 | 26 |
| DAX | 50 | 26 |
| NIKKEI | 225 | 26 |
| SP500 | 500 | 26 |
| i | 1 | 2 | 3 | 4 | 5 | 6 |
| T | 28/06/10 | 15/11/10 | 04/04/11 | 22/08/11 | 09/01/12 | 28/05/12 |
| i | 7 | 8 | 9 | 10 | 11 | 12 |
| T | 15/10/12 | 22/07/13 | 09/12/13 | 28/04/14 | 04/03/13 | 15/09/14 |
| i | 13 | 14 | 15 | 16 | 17 | 18 |
| T | 02/02/15 | 22/06/15 | 09/11/15 | 28/03/16 | 15/08/16 | 02/1/17 |
| i | 19 | 20 | 21 | 22 | 23 | 24 |
| T | 22/05/17 | 09/10/17 | 26/02/18 | 16/07/18 | 03/12/18 | 22/04/19 |
| i | 25 | 26 | 27 | 28 | 29 | 30 |
| T | 09/09/19 | 27/01/20 | 01/06/20 | 02/11/20 | 22/03/21 | 09/08/21 |
Appendix A.2. Permutation Test

Appendix B
Appendix B.1. Effect of Thresholding and Window Size



References
- Torres, L.; Blevins, A.S.; Bassett, D.; Eliassi-Rad, T. The why, how, and when of representations for complex systems. SIAM Rev. 2021, 63, 435–485. [Google Scholar] [CrossRef]
- Boccaletti, S.; Latora, V.; Moreno, Y.; Chavez, M.; Hwang, D.U. Complex networks: Structure and dynamics. Phys. Rep. 2006, 424, 175–308. [Google Scholar] [CrossRef]
- Bassett, D.S.; Bullmore, E.D. Small-world brain networks. Neuroscientist 2006, 12, 512–523. [Google Scholar] [CrossRef] [PubMed]
- de Regt, R.; von Ferber, C.; Holovatch, Y.; Lebovka, M. Public transportation in Great Britain viewed as a complex network. Transp. A Transp. Sci. 2019, 15, 722–748. [Google Scholar] [CrossRef]
- Pan, R.K.; Sinha, S. Collective behavior of stock price movements in an emerging market. Phys. Rev. E—Stat. Nonlinear Soft Matter Phys. 2007, 76, 046116. [Google Scholar] [CrossRef] [PubMed]
- Barabási, A.L.; Albert, R. Emergence of scaling in random networks. Science 1999, 286, 509–512. [Google Scholar] [CrossRef]
- Erdos, P.; Rényi, A. On the evolution of random graphs. Publ. Math. Inst. Hung. Acad. Sci. 1960, 5, 17–60. [Google Scholar]
- Tumminello, M.; Aste, T.; Di Matteo, T.; Mantegna, R.N. A tool for filtering information in complex systems. Proc. Natl. Acad. Sci. USA 2005, 102, 10421–10426. [Google Scholar] [CrossRef]
- Aste, T.; Di Matteo, T.; Hyde, S.T. Complex networks on hyperbolic surfaces. Physica A 2005, 346, 20–26. [Google Scholar] [CrossRef]
- Aste, T.; Gramatica, R.; Di Matteo, T. Exploring complex networks via topological embedding on surfaces. Phys. Rev. E 2012, 86, 036109. [Google Scholar] [CrossRef]
- Arenas, A.; Díaz-Guilera, A.; Kurths, J.; Moreno, Y.; Zhou, C. Synchronization in complex networks. Phys. Rep. 2008, 469, 93–153. [Google Scholar] [CrossRef]
- Giusti, C.; Ghrist, R.; Bassett, D.S. Two’s company, three (or more) is a simplex: Algebraic-topological tools for understanding higher-order structure in neural data. J. Comput. Neurosci. 2016, 41, 1–14. [Google Scholar] [CrossRef] [PubMed]
- Skardal, P.S.; Arenas, A. Higher order interactions in complex networks of phase oscillators promote abrupt synchronization switching. Commun. Phys. 2020, 3, 218. [Google Scholar] [CrossRef]
- Battiston, F.; Amico, E.; Barrat, A.; Bianconi, G.; Ferraz de Arruda, G.; Franceschiello, B.; Iacopini, I.; Kéfi, S.; Latora, V.; Moreno, Y.; et al. The physics of higher-order interactions in complex systems. Nat. Phys. 2021, 17, 1093–1098. [Google Scholar] [CrossRef]
- Boccaletti, S.; De Lellis, P.; Del Genio, C.I.; Alfaro-Bittner, K.; Criado, R.; Jalan, S.; Romance, M. The structure and dynamics of networks with higher order interactions. Phys. Rep. 2023, 1018, 1–64. [Google Scholar] [CrossRef]
- Battiston, F.; Cencetti, G.; Iacopini, I.; Latora, V.; Lucas, M.; Patania, A.; Young, J.G.; Petri, G. Networks beyond pairwise interactions: Structure and dynamics. Phys. Rep. 2020, 874, 1–92. [Google Scholar] [CrossRef]
- Sharma, C.; Habib, A. Mutual information based stock networks and portfolio selection for intraday traders using high frequency data: An Indian market case study. PLoS ONE 2019, 14, e0221910. [Google Scholar] [CrossRef]
- Plerou, V.; Gopikrishnan, P.; Rosenow, B.; Amaral, L.A.N.; Stanley, H.E. Universal and nonuniversal properties of cross correlations in financial time series. Phys. Rev. Lett. 1999, 83, 1471. [Google Scholar] [CrossRef]
- Raddant, M.; Di Matteo, T. A look at financial dependencies by means of econophysics and financial economics. J. Econ. Interact. Coord. 2023, 18, 701–734. [Google Scholar] [CrossRef]
- Samal, A.; Pharasi, H.K.; Ramaia, S.J.; Kannan, H.; Saucan, E.; Jost, J.; Chakraborti, A. Network geometry and market instability. R. Soc. Open Sci. 2021, 8, 201734. [Google Scholar] [CrossRef]
- Patania, A.; Petri, G.; Vaccarino, F. The shape of collaborations. EPJ Data Sci. 2017, 6, 1–16. [Google Scholar] [CrossRef]
- Petri, G.; Expert, P.; Turkheimer, F.; Carhart-Harris, R.; Nutt, D.; Hellyer, P.J.; Vaccarino, F. Homological scaffolds of brain functional networks. J. R. Soc. Interface 2014, 11, 20140873. [Google Scholar] [CrossRef]
- Murgas, K.A.; Saucan, E.; Sandhu, R. Hypergraph geometry reflects higher-order dynamics in protein interaction networks. Sci. Rep. 2022, 12, 20879. [Google Scholar] [CrossRef]
- Bairey, E.; Kelsic, E.D.; Kishony, R. High-order species interactions shape ecosystem diversity. Nat. Commun. 2016, 7, 12285. [Google Scholar] [CrossRef]
- Herzog, R.; Rosas, F.E.; Whelan, R.; Fittipaldi, S.; Santamaria-Garcia, H.; Cruzat, J.; Birba, A.; Moguilner, S.; Tagliazucchi, E.; Prado, P.; et al. Genuine high-order interactions in brain networks and neurodegeneration. Neurobiol. Dis. 2022, 175, 105918. [Google Scholar] [CrossRef]
- Chelaru, M.I.; Eagleman, S.; Andrei, A.R.; Milton, R.; Kharas, N.; Dragoi, V. High-order interactions explain the collective behavior of cortical populations in executive but not sensory areas. Neuron 2021, 109, 3954–3961. [Google Scholar] [CrossRef]
- Santoro, A.; Battiston, F.; Petri, G.; Amico, E. Unveiling the higher-order organization of multivariate time series. arXiv 2022, arXiv:2203.10702. [Google Scholar]
- Faes, L.; Mijatovic, G.; Antonacci, Y.; Pernice, R.; Barà, C.; Sparacino, L.; Sammartino, M.; Porta, A.; Marinazzo, D.; Stramaglia, S. A new framework for the time-and frequency-domain assessment of high-order interactions in networks of random processes. IEEE Trans. Signal Process. 2022, 70, 5766–5777. [Google Scholar] [CrossRef]
- Sawhney, R.; Agarwal, S.; Wadhwa, A.; Derr, T.; Shah, R.R. Stock selection viaspatiotemporal hypergraph attention network: A learning to rank approach. In Proceedings of the AAAI Conference on Artificial Intelligence, Online, 2–9 February 2021; Volume 35, pp. 497–504. [Google Scholar]
- Shannon, C.E. A mathematical theory of communication. Bell Syst. Tech. J. 1948, 27, 379–423. [Google Scholar] [CrossRef]
- Watanabe, S. Information theoretical analysis of multivariate correlation. IBM J. Res. Dev. 1960, 4, 66–82. [Google Scholar] [CrossRef]
- McGill, W. Multivariate information transmission. Trans. IRE Prof. Group Inf. Theory 1954, 4, 93–111. [Google Scholar] [CrossRef]
- Wyner, A.D. A definition of conditional mutual information for arbitrary ensembles. Inf. Control 1978, 38, 51–59. [Google Scholar] [CrossRef]
- Williams, P.L.; Beer, R.D. Nonnegative decomposition of multivariate information. arXiv 2010, arXiv:1004.2515. [Google Scholar]
- Lizier, J.T.; Bertschinger, N.; Jost, J.; Wibral, M. Information decomposition of target effects from multi-source interactions: Perspectives on previous, current and future work. Entropy 2018, 20, 307. [Google Scholar] [CrossRef]
- Marinazzo, D.; Van Roozendaal, J.; Rosas, F.E.; Stella, M.; Comolatti, R.; Colenbier, N.; Stramaglia, S.; Rosseel, Y. An information-theoretic approach to hypergraph psychometrics. arXiv 2022, arXiv:2205.01035. [Google Scholar] [CrossRef]
- Rosas, F.E.; Mediano, P.A.; Gastpar, M.; Jensen, H.J. Quantifying high-order interdependencies via multivariate extensions of the mutual information. Phys. Rev. E 2019, 100, 032305. [Google Scholar] [CrossRef]
- Gelfand, I.M.; IAglom, A.M. Calculation of the Amount of Information about a Random Function Contained Inanother Such Function; American Mathematical Society: Providence, RI, USA, 1959; pp. 199–224. [Google Scholar]
- Thorne, K.S.; Misner, C.W.; Wheeler, J.A. Gravitation; Freeman: San Francisco, CA, USA, 2000. [Google Scholar]
- Forman, R. Bochner’s method for cell complexes and combinatorial Ricci curvature. Discret. Comput. Geom. 2003, 29, 323–374. [Google Scholar] [CrossRef]
- Sreejith, R.P.; Mohanraj, K.; Jost, J.; Saucan, E.; Samal, A. Forman curvature for complex networks. J. Stat. Mech. Theory Exp. 2016, 2016, 063206. [Google Scholar] [CrossRef]
- Leal, W.; Restrepo, G.; Stadler, P.F.; Jost, J. Forman–Ricci curvature for hypergraphs. Adv. Complex Syst. 2021, 24, 2150003. [Google Scholar] [CrossRef]
- Bengtsson, I.; Życzkowski, K. Geometry of Quantum States: An Introduction to Quantum Entanglement; Cambridge University Press: Cambridge, UK, 2017. [Google Scholar]
- Braunstein, S.L.; Ghosh, S.; Severini, S. The Laplacian of a graph as a density matrix: A basic combinatorial approach to separability of mixed states. Ann. Comb. 2006, 10, 291–317. [Google Scholar] [CrossRef]
- Chen, C.; Rajapakse, I. Tensor entropy for uniform hypergraphs. IEEE Trans. Netw. Sci. Eng. 2020, 7, 2889–2900. [Google Scholar] [CrossRef]
- Ince, R.A.; Giordano, B.L.; Kayser, C.; Rousselet, G.A.; Gross, J.; Schyns, P.G. A statistical framework for neuroimaging data analysis based on mutual information estimated via a gaussian copula. Hum. Brain Mapp. 2017, 38, 1541–1573. [Google Scholar] [CrossRef] [PubMed]
- Ouvrard, X. Hypergraphs: An introduction and review. arXiv 2020, arXiv:2002.05014. [Google Scholar]
- Scagliarini, T.; Nuzzi, D.; Antonacci, Y.; Faes, L.; Rosas, F.E.; Marinazzo, D.; Stramaglia, S. Gradients of O-information: Low-order descriptors of high-order dependencies. Phys. Rev. Res. 2023, 5, 013025. [Google Scholar] [CrossRef]







| Stock Market | N | F | S | |||
|---|---|---|---|---|---|---|
| BSE | 0.19 | 0.97 | 0.19 | 0.77 | 0.01 | 0.37 |
| DAX | 0.05 | 1.96 | 0.05 | 1.59 | 0.002 | 0.752 |
| FTSE | 0.13 | 1.17 | 0.14 | 0.99 | 0.004 | 0.4 |
| NIKKEI | 0.042 | 2.06 | 0.03 | 2.02 | 0.008 | 0.92 |
| SP500 | 0.18 | 1.93 | 0.19 | 1.65 | 0.01 | 0.82 |
Disclaimer/Publisher’s Note: The statements, opinions and data contained in all publications are solely those of the individual author(s) and contributor(s) and not of MDPI and/or the editor(s). MDPI and/or the editor(s) disclaim responsibility for any injury to people or property resulting from any ideas, methods, instructions or products referred to in the content. |
© 2024 by the authors. Licensee MDPI, Basel, Switzerland. This article is an open access article distributed under the terms and conditions of the Creative Commons Attribution (CC BY) license (https://creativecommons.org/licenses/by/4.0/).
Share and Cite
David, J.J.; Sabhahit, N.G.; Stramaglia, S.; Matteo, T.D.; Boccaletti, S.; Jalan, S. Functional Hypergraphs of Stock Markets. Entropy 2024, 26, 848. https://doi.org/10.3390/e26100848
David JJ, Sabhahit NG, Stramaglia S, Matteo TD, Boccaletti S, Jalan S. Functional Hypergraphs of Stock Markets. Entropy. 2024; 26(10):848. https://doi.org/10.3390/e26100848
Chicago/Turabian StyleDavid, Jerry Jones, Narayan G. Sabhahit, Sebastiano Stramaglia, T. Di Matteo, Stefano Boccaletti, and Sarika Jalan. 2024. "Functional Hypergraphs of Stock Markets" Entropy 26, no. 10: 848. https://doi.org/10.3390/e26100848
APA StyleDavid, J. J., Sabhahit, N. G., Stramaglia, S., Matteo, T. D., Boccaletti, S., & Jalan, S. (2024). Functional Hypergraphs of Stock Markets. Entropy, 26(10), 848. https://doi.org/10.3390/e26100848

