Fast and Accurate Numerical Integration of the Langevin Equation with Multiplicative Gaussian White Noise
Abstract
1. Introduction
2. Standard Integration of the Langevin Equation
3. Improved Second-Order Integration Scheme
3.1. Description of the Method
3.2. Calculation of the Moments
4. Case Study: Free Diffusion with Velocity-Dependent Friction
4.1. The Model
4.2. Validation of the Numerical Scheme
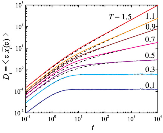
4.3. Time-Dependent Diffusion Coefficient
5. Conclusions
Author Contributions
Funding
Institutional Review Board Statement
Data Availability Statement
Acknowledgments
Conflicts of Interest
References
- Coffey, W.T.; Kalmykov, Y.P. Langevin Equation: With Applications to Stochastic Problems in Physics, Chemistry, and Electrical Engineering; World Scientific: Singapore, 2012. [Google Scholar] [CrossRef]
- Risken, H. Fokker-Planck Equation; Springer: Berlin/Heidelberg, Germany, 1989. [Google Scholar]
- Lacasta, A.; Sancho, J.; Romero, A.; Sokolov, I.; Lindenberg, K. From subdiffusion to superdiffusion of particles on solid surfaces. Phys. Rev. E 2004, 70, 051104. [Google Scholar] [CrossRef] [PubMed]
- Cherstvy, A.; Chechkin, A.; Metzler, R. Anomalous diffusion and ergodicity breaking in heterogeneous diffusion processes. New J. Phys. 2013, 15, 083039. [Google Scholar] [CrossRef]
- Cherstvy, A.; Metzler, R. Population splitting, trapping, and non-ergodicity in heterogeneous diffusion processes. Phys. Chem. Chem. Phys. 2013, 15, 20220. [Google Scholar] [CrossRef] [PubMed]
- Braun, O.; Ferrando, R. Role of long jumps in surface diffusion. Phys. Rev. E 2002, 65, 061107. [Google Scholar] [CrossRef] [PubMed]
- Evstigneev, M.; Kaffashnia, A. Diffusion coefficient scaling of a free Brownian particle with velocity-dependent damping. Phys. Rev. E 2023, 107, 064129. [Google Scholar] [CrossRef] [PubMed]
- Milstein, G. Numerical Integration of Stochastic Differential Equations; Springer: Berlin/Heidelberg, Germany, 1995. [Google Scholar]
- Ermak, D.L.; Buckholz, H. Numerical integration of the Langevin equation: Monte Carlo simulation. J. Comput. Phys. 1980, 35, 169–182. [Google Scholar] [CrossRef]
- Greiner, A.; Strittmatter, W.; Honerkamp, J. Numerical integration of stochastic differential equations. J. Stat. Phys. 1988, 51, 95–108. [Google Scholar] [CrossRef]
- Dünweg, B.; Paul, W. Brownian dynamics simulations without Gaussian random numbers. Int. J. Mod. Phys. C 1991, 2, 817–827. [Google Scholar] [CrossRef]
- Kloeden, P.; Platen, E. Higher-order implicit dtrong numerical schemes for stochastic differential equations. J. Stat. Phys. 1992, 66, 283–314. [Google Scholar] [CrossRef]
- Ramírez-Piscina, L.; Sancho, J.; Hernándes-Machado, A. Numerical algorithm for Ginzburg-Landau equations with multiplicative noise: Application to domain growth. Phys. Rev. B 1993, 48, 125–131. [Google Scholar] [CrossRef] [PubMed]
- Brańka, A.; Heyes, D. Algorithms for Brownian dynamics computer simulations: Multivariable case. Phys. Rev. E 1999, 60, 2381–2387. [Google Scholar] [CrossRef] [PubMed]
- Arnold, P. Langevin equations with multiplicative noise: Resolution of time discretization ambiguities for equilibrium systems. Phys. Rev. E 2000, 61, 6091–6098. [Google Scholar] [CrossRef] [PubMed]
- Qiang, J.; Habib, S. Second-order stochastic leapfrog algorithm for multiplicative noise Brownian motion. Phys. Rev. E 2000, 62, 7430–7437. [Google Scholar] [CrossRef] [PubMed]
- Cao, R.; Pope, S.B. Numerical integration of stochastic differential equations: Weak second-order mid-point scheme for application in the composition PDF method. J. Comput. Phys. 2003, 185, 194–212. [Google Scholar] [CrossRef]
- Mannella, R. Quasisymplectic integrators for stochastic differential equations. Phys. Rev. E 2004, 69, 041107. [Google Scholar] [CrossRef] [PubMed]
- Lau, A.; Lubensky, T. State-dependent diffusion: Thermodynamic consistency and its path integral formulation. Phys. Rev. E 2007, 76, 011123. [Google Scholar] [CrossRef] [PubMed]
- Grønbech-Jensen, N. On the application of non-Gaussian noise in stochastic Langevin simulations. J. Stat. Phys. 2023, 190, 96. [Google Scholar] [CrossRef]
- Stratonovich, R. A new representation for stochastic integrals and equations. J. SIAM Control 1966, 4, 362–371. [Google Scholar] [CrossRef]
- Sangiovanni, D. Copper adatom, admolecule transport, and island nucleation on TiN(0 0 1) via ab initio molecular dynamics. Appl. Surf. Sci. 2018, 450, 180–189. [Google Scholar] [CrossRef]
- Gervilla, V.; Zarshenas, M.; Sangiovanni, D.G.; Sarakinos, K. Anomalous versus normal room-temperature diffusion of metal adatoms on graphene. J. Phys. Chem. Lett. 2020, 11, 8930–8936. [Google Scholar] [CrossRef] [PubMed]



Disclaimer/Publisher’s Note: The statements, opinions and data contained in all publications are solely those of the individual author(s) and contributor(s) and not of MDPI and/or the editor(s). MDPI and/or the editor(s) disclaim responsibility for any injury to people or property resulting from any ideas, methods, instructions or products referred to in the content. |
© 2024 by the authors. Licensee MDPI, Basel, Switzerland. This article is an open access article distributed under the terms and conditions of the Creative Commons Attribution (CC BY) license (https://creativecommons.org/licenses/by/4.0/).
Share and Cite
Evstigneev, M.; Kacmazer, D. Fast and Accurate Numerical Integration of the Langevin Equation with Multiplicative Gaussian White Noise. Entropy 2024, 26, 879. https://doi.org/10.3390/e26100879
Evstigneev M, Kacmazer D. Fast and Accurate Numerical Integration of the Langevin Equation with Multiplicative Gaussian White Noise. Entropy. 2024; 26(10):879. https://doi.org/10.3390/e26100879
Chicago/Turabian StyleEvstigneev, Mykhaylo, and Deniz Kacmazer. 2024. "Fast and Accurate Numerical Integration of the Langevin Equation with Multiplicative Gaussian White Noise" Entropy 26, no. 10: 879. https://doi.org/10.3390/e26100879
APA StyleEvstigneev, M., & Kacmazer, D. (2024). Fast and Accurate Numerical Integration of the Langevin Equation with Multiplicative Gaussian White Noise. Entropy, 26(10), 879. https://doi.org/10.3390/e26100879

