Infidelity Analysis of Digital Counter-Diabatic Driving in Simple Two-Qubit System
Abstract
1. Introduction
2. Digitized Counter-Diabatic Driving
3. Two-Qubit System
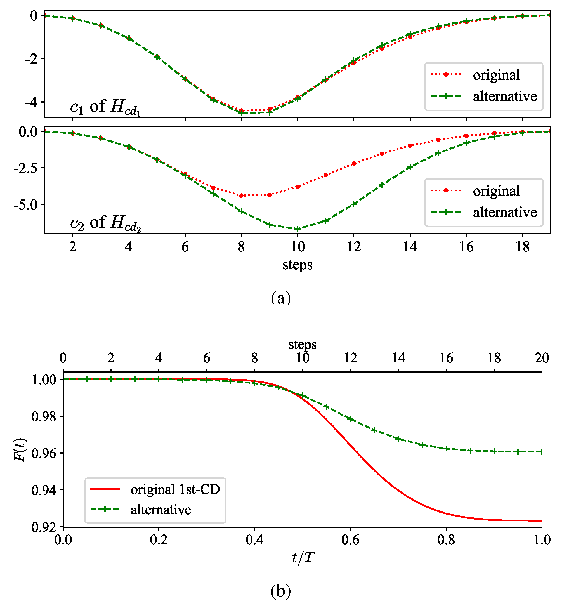
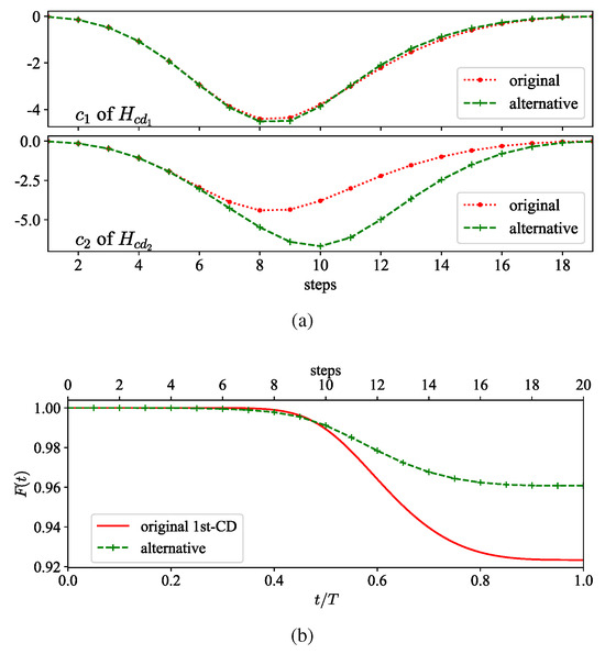
3.1. Improving Adiabatic Errors with CD
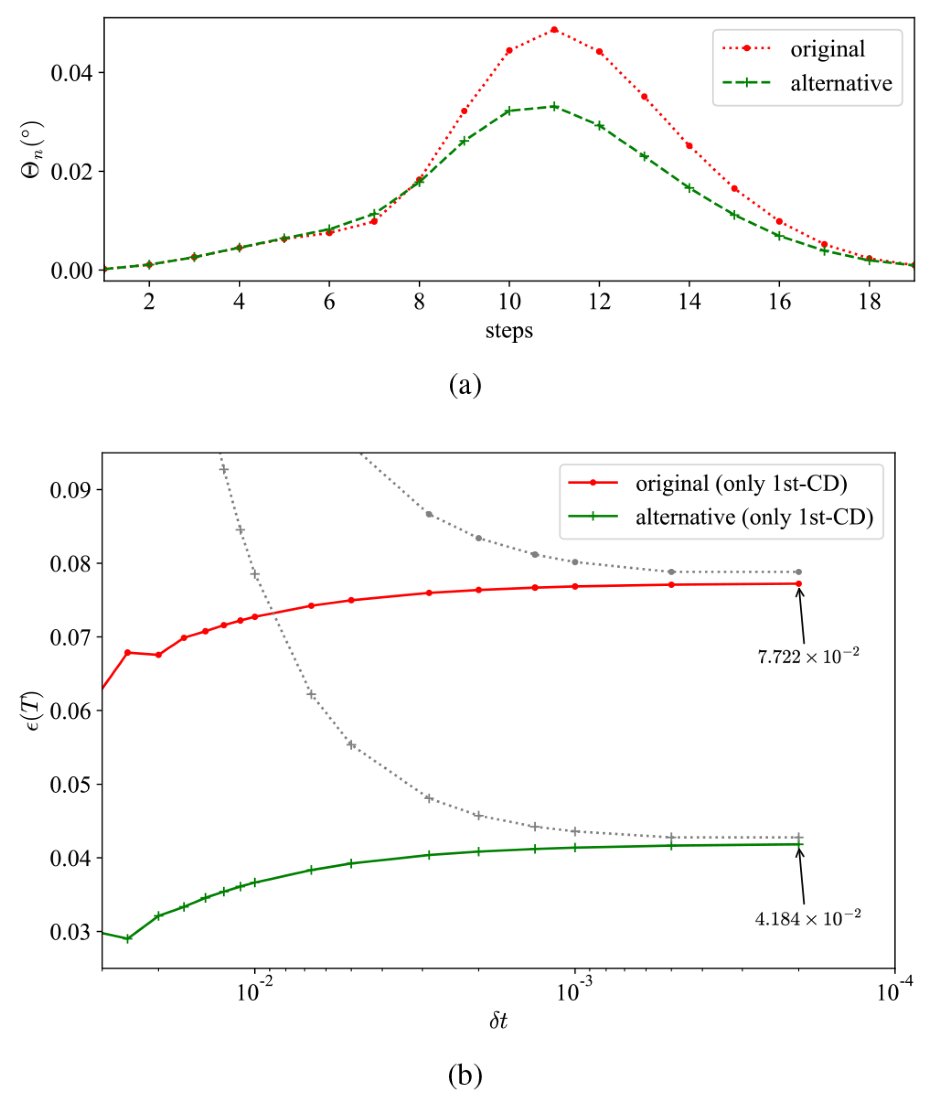
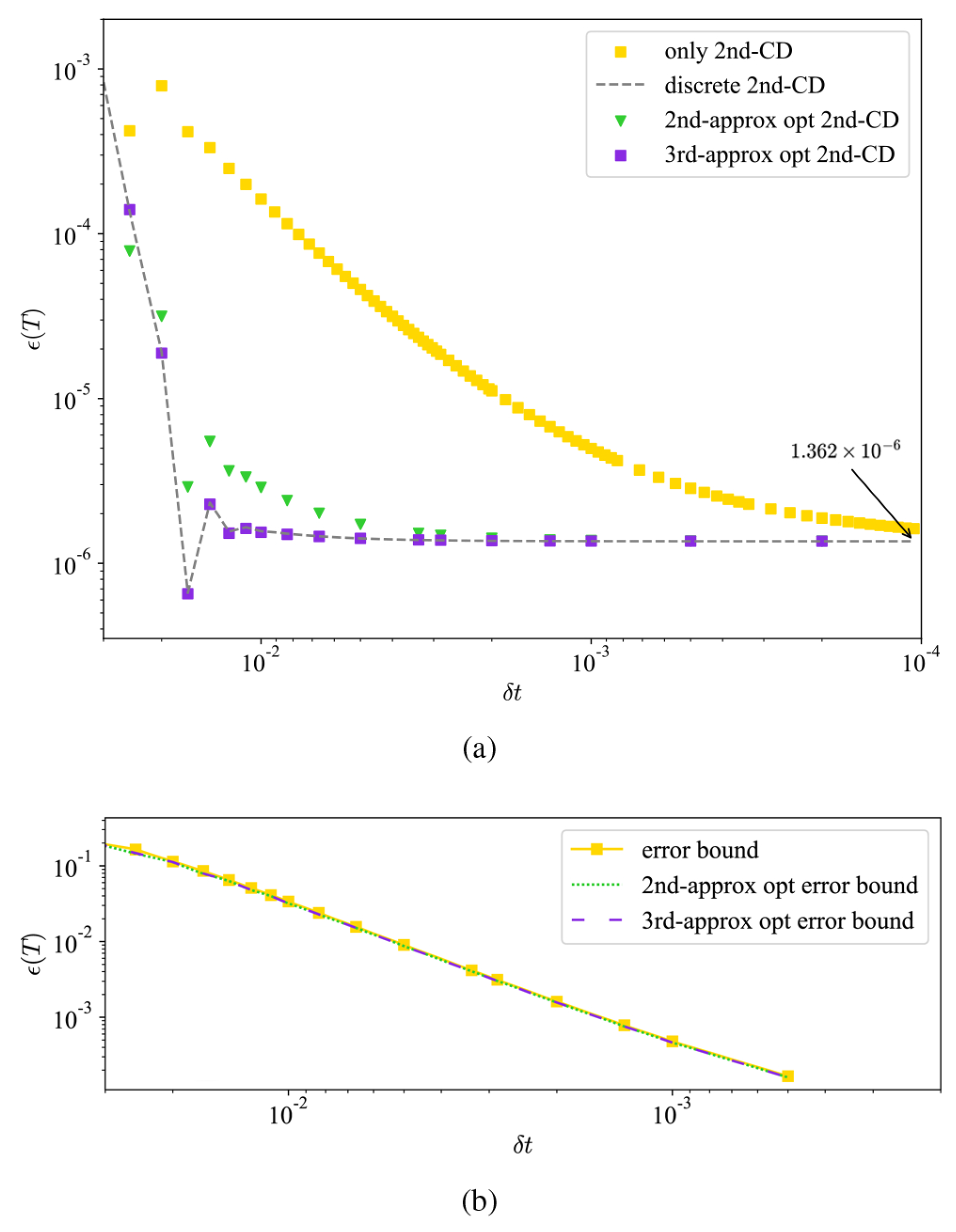
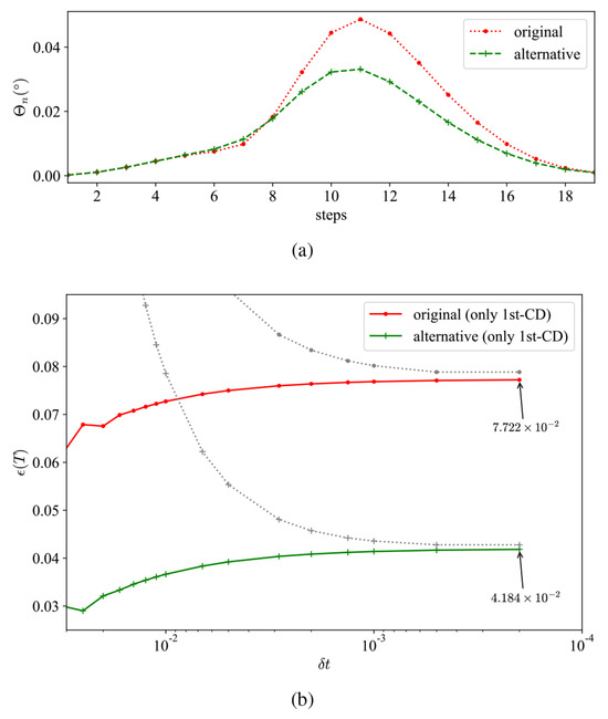
3.2. Improving Trotter Errors with CD
4. Extension to the Transverse Ising Chain
5. Conclusions
Funding
Institutional Review Board Statement
Data Availability Statement
Conflicts of Interest
Appendix A. Numerical Example of Analysis on the Improvement of Fidelity
| original | 0.99638 | 0.00403 | −0.00140 |
| alternative | 0.99638 | 0.00571 | −0.00260 |
References
- Farhi, E.; Goldstone, J.; Gutmann, S.; Lapan, J.; Lundgren, A.; Preda, D. A quantum adiabatic evolution algorithm applied to random instances of an np-complete problem. Science 2001, 292, 472. [Google Scholar] [CrossRef] [PubMed]
- Pastorello, D.; Blanzieri, E. Learning adiabatic quantum algorithms for solving optimization problems. arXiv 2019, arXiv:1909.06870. [Google Scholar]
- Das, A.; Chakrabarti, B.K. Colloquium: Quantum annealing and analog quantum computation. Rev. Mod. Phys. 2008, 80, 312–1061. [Google Scholar] [CrossRef]
- Albash, T.; Lidar, D.A. Adiabatic quantum computation. Rev. Mod. Phys. 2018, 90, 015002. [Google Scholar] [CrossRef]
- Schlosshauer, M. Quantum decoherence. Phys. Rep. 2019, 831, 1. [Google Scholar] [CrossRef]
- Pastorello, D.; Blanzieri, E. Quantum annealing learning search for solving qubo problems. Quantum Inf. Process. 2019, 316, 18. [Google Scholar] [CrossRef]
- Cruz-Santos, W.; Venegas-Andraca, S.E.; Lanzagorta, M. A qubo formulation of minimum multicut problem instances in trees 318 for d-wave quantum annealers. Sci. Rep. 2019, 9, 17216. [Google Scholar] [CrossRef]
- Holmes, A.; Johri, S.; Guerreschi, G.G.; Clarke, J.S.; Matsuura, A.Y. Impact of qubit connectivity on quantum algorithm 320 performance. Quantum Sci. Technol. 2020, 5, 025009. [Google Scholar] [CrossRef]
- Barends, R.; Shabani, A.; Lamata, L.; Kelly, J.; Mezzacapo, A.; Heras, U.L.; Babbush, R.; Fowler, A.G.; Campbell, B.; Chen, Y.; et al. Digitized adiabatic quantum computing with a superconducting circuit. Nature 2016, 534, 222. [Google Scholar] [CrossRef]
- Trotter, H.F. On the product of semi-groups of operators. Proc. Am. Math. Soc. 1959, 10, 545. [Google Scholar] [CrossRef]
- Suzuki, M. General theory of fractal path integrals with applications to many-body theories and statistical physics. J. Math. Phys. 1991, 32, 400. [Google Scholar] [CrossRef]
- Ruth, R.D. A can0nical integrati0n technique. IEEE Trans. Nucl. Sci. 1983, 30, 2669. [Google Scholar] [CrossRef]
- Childs, A.M.; Su, Y.; Tran, M.C.; Wiebe, N.; Zhu, S. Theory of trotter error with commutator scaling. Phys. Rev. X 2021, 11, 328. [Google Scholar] [CrossRef]
- Farhi, E.; Goldstone, J.; Gutmann, S. A quantum approximate optimization algorithm. arXiv 2014, arXiv:1411.4028. [Google Scholar]
- Chandarana, P.; Vieites, P.S.; Hegade, N.N.; Solano, E.; Ban, Y.; Chen, X. Meta-learning digitized-counterdiabatic quantum optimization. Quantum Sci. Technol. 2023, 8, 045007. [Google Scholar] [CrossRef]
- Chandarana, P.; Hegade, N.N.; Paul, K.; Albarrán-Arriagada, F.; Solano, E.; del Campo, A.; Chen, X. Digitized-counterdiabatic quantum approximate optimization algorithm. Phys. Rev. Res. 2022, 4, 013141. [Google Scholar] [CrossRef]
- Wurtz, J.; Love, P.J. Counterdiabaticity and the quantum approximate optimization algorithm. Quantum 2022, 6, 635. [Google Scholar] [CrossRef]
- Chai, Y.; Han, Y.-J.; Wu, Y.-C.; Li, Y.; Dou, M.; Guo, G.-P. Shortcuts to the quantum approximate optimization algorithm. Phys. Rev. A 2022, 105, 042415. [Google Scholar] [CrossRef]
- Demirplak, M.; Rice, S.A. Adiabatic population transfer with control fields. J. Phys. Chem A 2003, 107, 9937. [Google Scholar] [CrossRef]
- Demirplak, M.; Rice, S.A. Assisted adiabatic passage revisited. J. Phys. Chem. B 2005, 109, 6838. [Google Scholar] [CrossRef]
- Campo, A.D. Shortcuts to adiabaticity by counterdiabatic driving. Phys. Rev. Lett. 2013, 111, 100502. [Google Scholar] [CrossRef] [PubMed]
- Claeys, P.W.; Pandey, M.; Sels, D.; Polkovnikov, A. Floquet-engineering counterdiabatic protocols in quantum many-body systems. Phys. Rev. Lett. 2019, 123, 090602. [Google Scholar] [CrossRef]
- Takahashi, K. Shortcuts to adiabaticity for quantum annealing. Phys. Rev. A 2017, 95, 012309. [Google Scholar] [CrossRef]
- Sels, D.; Polkovnikov, A. Minimizing irreversible losses in quantum systems by local counterdiabatic driving. Proc. Natl. Acad. Sci. USA 2017, 114, E3909. [Google Scholar] [CrossRef] [PubMed]
- Passarelli, G.; Cataudella, V.; Fazio, R.; Lucignano, P. Counterdiabatic driving in the quantum annealing of the p-spin model: A variational approach. Phys. Rev. Res. 2020, 2, 013283. [Google Scholar] [CrossRef]
- Suzuki, M. Generalized trotter’s formula and systematic approximants of exponential operators and inner derivations with applications to many-body problems. Commun. Math. Phys. 1976, 51, 183. [Google Scholar] [CrossRef]
- Suzuki, M. Decomposition formulas of exponential operators and lie exponentials with some applications to quantum mechanics and statistical physics. J. Math. Phys. 1985, 26, 601. [Google Scholar] [CrossRef]
- Johansson, J.R.; Nation, P.D.; Nori, F. QuTiP: An open-source Python framework for the dynamics of open quantum systems. Comput. Phys. Commun. 2012, 183, 1760–1772. [Google Scholar] [CrossRef]
- Johansson, J.R.; Nation, P.D.; Nori, F. QuTiP 2: A Python framework for the dynamics of open quantum systems. Comput. Phys. Commun. 2013, 184, 1234. [Google Scholar] [CrossRef]
- Hatomura, T. State-dependent error bound for digital quantum simulation of driven systems. Phys. Rev. A 2022, 105, L050601. [Google Scholar] [CrossRef]
- Hatomura, T.; Takahashi, K. Controlling and exploring quantum systems by algebraic expression of adiabatic gauge potential. Phys. Rev. A 2021, 103, 012220. [Google Scholar] [CrossRef]





Disclaimer/Publisher’s Note: The statements, opinions and data contained in all publications are solely those of the individual author(s) and contributor(s) and not of MDPI and/or the editor(s). MDPI and/or the editor(s) disclaim responsibility for any injury to people or property resulting from any ideas, methods, instructions or products referred to in the content. |
© 2024 by the author. Licensee MDPI, Basel, Switzerland. This article is an open access article distributed under the terms and conditions of the Creative Commons Attribution (CC BY) license (https://creativecommons.org/licenses/by/4.0/).
Share and Cite
Lei, O. Infidelity Analysis of Digital Counter-Diabatic Driving in Simple Two-Qubit System. Entropy 2024, 26, 877. https://doi.org/10.3390/e26100877
Lei O. Infidelity Analysis of Digital Counter-Diabatic Driving in Simple Two-Qubit System. Entropy. 2024; 26(10):877. https://doi.org/10.3390/e26100877
Chicago/Turabian StyleLei, Ouyang. 2024. "Infidelity Analysis of Digital Counter-Diabatic Driving in Simple Two-Qubit System" Entropy 26, no. 10: 877. https://doi.org/10.3390/e26100877
APA StyleLei, O. (2024). Infidelity Analysis of Digital Counter-Diabatic Driving in Simple Two-Qubit System. Entropy, 26(10), 877. https://doi.org/10.3390/e26100877

