Nonlinear Fokker–Planck Equations, H-Theorem and Generalized Entropy of a Composed System
Abstract
1. Introduction
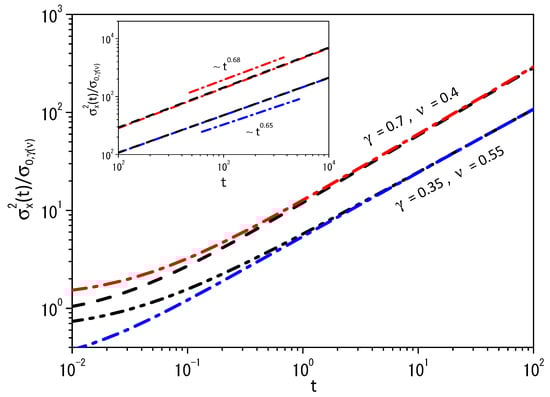
2. The Problem
2.1. H-Theorem
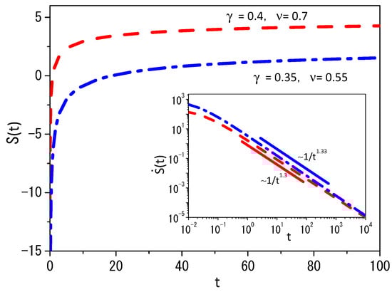
2.2. Entropy Production
3. Discussion and Conclusions
Author Contributions
Funding
Institutional Review Board Statement
Data Availability Statement
Acknowledgments
Conflicts of Interest
References
- Clausius, R. The Mechanical Theory of Heat: With Its Appli- cations to the Steam-Engine and to the Physical Properties of Bodies; Macmillan: New York, NY, USA, 1879. [Google Scholar]
- Bryan, G. Elementary principles in statistical mechanics. Nature 1902, 66, 291–292. [Google Scholar] [CrossRef]
- Penrose, O. Foundations of Statistical Mechanics: A Deductive Treatment; Courier Corporation: Washington, DC, USA, 2005. [Google Scholar]
- Sandler, S.I.; Woodcock, L.V. Historical observations on laws of thermodynamics. J. Chem. Eng. Data 2010, 55, 4485–4490. [Google Scholar] [CrossRef]
- Bogoliubov, N.N. Problems of Dynamic Theory in Statistical Physics; Technical Information Service, United States Atomic Energy Commission: Washington, DC, USA, 1960. [Google Scholar]
- Hill, T.L. Statistical Mechanics: Principles and Selected Applications; Courier Corporation: Washington, DC, USA, 2013. [Google Scholar]
- Abe, S.; Okamoto, Y. Nonextensive Statistical Mechanics and Its Applications; Springer Science & Business Media: Berlin/Heidelberg, Germany, 2001; Volume 560. [Google Scholar]
- Mukamel, D. Statistical mechanics of systems with long range interactions. In Proceedings of the AIP Conference Proceedings; American Institute of Physics: Melville, NY, USA, 2008; Volume 970, pp. 22–38. [Google Scholar]
- Singh, R.; Moessner, R.; Roy, D. Effect of long-range hopping and interactions on entanglement dynamics and many-body localization. Phys. Rev. B 2017, 95, 094205. [Google Scholar] [CrossRef]
- Tsallis, C. Possible generalization of Boltzmann-Gibbs statistics. J. Stat. Phys. 1988, 52, 479–487. [Google Scholar] [CrossRef]
- Nojiri, S.; Odintsov, S.D.; Faraoni, V. From nonextensive statistics and black hole entropy to the holographic dark universe. Phys. Rev. D 2022, 105, 044042. [Google Scholar] [CrossRef]
- Khordad, R.; Sedehi, H. Electrocaloric effect in quantum dots using the non-extensive formalism. Opt. Quantum Electron. 2022, 54, 511. [Google Scholar] [CrossRef]
- Chavanis, P.H. Nonlinear mean field Fokker-Planck equations. Application to the chemotaxis of biological populations. Eur. Phys. J. B 2008, 62, 179–208. [Google Scholar] [CrossRef]
- Megías, E.; Timóteo, V.; Gammal, A.; Deppman, A. Bose–Einstein condensation and non-extensive statistics for finite systems. Phys. A Stat. Mech. Its Appl. 2022, 585, 126440. [Google Scholar] [CrossRef]
- Rajagopal, A.; Mendes, R.; Lenzi, E. Quantum statistical mechanics for nonextensive systems: Prediction for possible experimental tests. Phys. Rev. Lett. 1998, 80, 3907. [Google Scholar] [CrossRef]
- Lenzi, E.; Mendes, R.; Da Silva, L. Statistical mechanics based on Renyi entropy. Phys. A Stat. Mech. Its Appl. 2000, 280, 337–345. [Google Scholar] [CrossRef]
- Lopes, A.M.; Machado, J.A.T. A review of fractional order entropies. Entropy 2020, 22, 1374. [Google Scholar] [CrossRef] [PubMed]
- Lenzi, E.; Scarfone, A. Extensive-like and intensive-like thermodynamical variables in generalized thermostatistics. Phys. A Stat. Mech. Its Appl. 2012, 391, 2543–2555. [Google Scholar] [CrossRef]
- da Silva, J.; da Silva, G.; Ramos, R. The Lambert-Kaniadakis Wκ function. Phys. Lett. A 2020, 384, 126175. [Google Scholar] [CrossRef]
- Kaniadakis, G. Maximum entropy principle and power-law tailed distributions. Eur. Phys. J. B 2009, 70, 3–13. [Google Scholar] [CrossRef]
- Oylukan, A.D.; Shizgal, B. Nonequilibrium distributions from the Fokker-Planck equation: Kappa distributions and Tsallis entropy. Phys. Rev. E 2023, 108, 014111. [Google Scholar] [CrossRef] [PubMed]
- Lutz, E. Anomalous diffusion and Tsallis statistics in an optical lattice. Phys. Rev. A 2003, 67, 051402. [Google Scholar] [CrossRef]
- Borland, L. Ito-Langevin equations within generalized thermostatistics. Phys. Lett. A 1998, 245, 67–72. [Google Scholar] [CrossRef]
- Chavanis, P.H. Generalized Euler, Smoluchowski and Schrödinger equations admitting self-similar solutions with a Tsallis invariant profile. Eur. Phys. J. Plus 2019, 134, 353. [Google Scholar] [CrossRef]
- Kaniadakis, G.; Lapenta, G. Microscopic dynamics underlying anomalous diffusion. Phys. Rev. E 2000, 62, 3246–3249. [Google Scholar] [CrossRef]
- Frank, T. A Langevin approach for the microscopic dynamics of nonlinear Fokker–Planck equations. Phys. A Stat. Mech. Its Appl. 2001, 301, 52–62. [Google Scholar] [CrossRef]
- Kaniadakis, G. H–theorem and generalized entropies within the framework of nonlinear kinetics. Phys. Lett. A 2001, 288, 283–291. [Google Scholar] [CrossRef]
- Plastino, A.; Wedemann, R.; Nobre, F. H–theorems for systems of coupled nonlinear Fokker-Planck equations. Europhys. Lett. 2022, 139, 11002. [Google Scholar] [CrossRef]
- Dos Santos, M.; Lenzi, E. Entropic nonadditivity, H theorem, and nonlinear Klein-Kramers equations. Phys. Rev. E 2017, 96, 052109. [Google Scholar] [CrossRef]
- dos Santos, M.; Lenzi, M.; Lenzi, E. Nonlinear Fokker–Planck equations, H–theorem, and entropies. Chin. J. Phys. 2017, 55, 1294–1299. [Google Scholar] [CrossRef]
- Casas, G.; Nobre, F.; Curado, E. Entropy production and nonlinear Fokker-Planck equations. Phys. Rev. E 2012, 86, 061136. [Google Scholar] [CrossRef] [PubMed]
- Frank, T.D. Nonlinear Fokker-Planck Equations: Fundamentals and Applications; Springer Science & Business Media: Berlin/Heidelberg, Germany, 2005. [Google Scholar]
- Schwämmle, V.; Nobre, F.D.; Curado, E.M. Consequences of the H theorem from nonlinear Fokker-Planck equations. Phys. Rev. E 2007, 76, 041123. [Google Scholar] [CrossRef] [PubMed]
- Schwämmle, V.; Curado, E.M.; Nobre, F.D. A general nonlinear Fokker-Planck equation and its associated entropy. Eur. Phys. J. B 2007, 58, 159–165. [Google Scholar] [CrossRef]
- Pedron, I.T.; Mendes, R.; Malacarne, L.C.; Lenzi, E.K. Nonlinear anomalous diffusion equation and fractal dimension: Exact generalized Gaussian solution. Phys. Rev. E 2002, 65, 041108. [Google Scholar] [CrossRef]
- Vázquez, J.L. The Porous Medium Equation: Mathematical Theory; Oxford University Press: Oxford, UK, 2007. [Google Scholar]
- Casas, G.A.; Nobre, F.D. Nonlinear Fokker-Planck equations in super-diffusive and sub-diffusive regimes. J. Math. Phys. 2019, 60, 053301. [Google Scholar] [CrossRef]
- Plastino, A.R.; Wedemann, R.S.; Tsallis, C. Nonlinear fokker-planck equation for an overdamped system with drag depending on direction. Symmetry 2021, 13, 1621. [Google Scholar] [CrossRef]
- Deppman, A.; Khalili Golmankhaneh, A.; Megías, E.; Pasechnik, R. From the Boltzmann equation with non-local correlations to a standard non-linear Fokker-Planck equation. Phys. Lett. B 2023, 839, 137752. [Google Scholar] [CrossRef]
- Tsallis, C. Introduction to Nonextensive Statistical Mechanics; Springer: Berlin/Heidelberg, Germany, 2009; Volume 34. [Google Scholar]
- Martınez, S.; Pennini, F.; Plastino, A. Thermodynamics’ zeroth law in a nonextensive scenario. Phys. A Stat. Mech. Its Appl. 2001, 295, 416–424. [Google Scholar] [CrossRef]
- Biró, T.; Ván, P. Zeroth law compatibility of nonadditive thermodynamics. Phys. Rev. E 2011, 83, 061147. [Google Scholar] [CrossRef]
- Wang, Q.A.; Le Méhauté, A. Unnormalized nonextensive expectation value and zeroth law of thermodynamics. Chaos Solitons Fractals 2003, 15, 537–541. [Google Scholar] [CrossRef]
- Tsallis, C.; Levy, S.V.; Souza, A.M.; Maynard, R. Statistical-mechanical foundation of the ubiquity of Lévy distributions in nature. Phys. Rev. Lett. 1995, 75, 3589–3592. [Google Scholar] [CrossRef] [PubMed]
- Lenzi, E.K.; Neto, R.M.; Tateishi, A.A.; Lenzi, M.K.; Ribeiro, H. Fractional diffusion equations coupled by reaction terms. Phys. A 2016, 458, 9–16. [Google Scholar] [CrossRef]
- Mendez, V.; Campos, D.; Bartumeus, F. Stochastic Foundations in Movement Ecology; Springer: Berlin/Heidelberg, Germany, 2014. [Google Scholar]
- Lenzi, E.; Lenzi, M.; Ribeiro, H.; Evangelista, L. Extensions and solutions for nonlinear diffusion equations and random walks. Proc. R. Soc. A 2019, 475, 20190432. [Google Scholar] [CrossRef]
- Marin, D.; Ribeiro, M.; Ribeiro, H.; Lenzi, E. A nonlinear Fokker–Planck equation approach for interacting systems: Anomalous diffusion and Tsallis statistics. Phys. Lett. A 2018, 382, 1903–1907. [Google Scholar] [CrossRef]
- Wang, Q.A.; Nivanen, L.; Méhauté, A.L. A composition of different q nonextensive systems with the normalized expectation based on escort probability. arXiv 2006, arXiv:cond-mat/0601255. [Google Scholar]
- Nivanen, L.; Pezeril, M.; Wang, Q.; Le Méhauté, A. Applying incomplete statistics to nonextensive systems with different q indices. Chaos Solitons Fractals 2005, 24, 1337–1342. [Google Scholar] [CrossRef][Green Version]
- Evangelista, L.R.; Lenzi, E.K. Fractional Diffusion Equations and Anomalous Diffusion; Cambridge University Press: Cambridge, UK, 2018. [Google Scholar]
- Evangelista, L.R.; Lenzi, E.K. An Introduction to Anomalous Diffusion and Relaxation; Springer: Berlin/Heidelberg, Germany, 2023. [Google Scholar]


Disclaimer/Publisher’s Note: The statements, opinions and data contained in all publications are solely those of the individual author(s) and contributor(s) and not of MDPI and/or the editor(s). MDPI and/or the editor(s) disclaim responsibility for any injury to people or property resulting from any ideas, methods, instructions or products referred to in the content. |
© 2023 by the authors. Licensee MDPI, Basel, Switzerland. This article is an open access article distributed under the terms and conditions of the Creative Commons Attribution (CC BY) license (https://creativecommons.org/licenses/by/4.0/).
Share and Cite
Evangelista, L.R.; Lenzi, E.K. Nonlinear Fokker–Planck Equations, H-Theorem and Generalized Entropy of a Composed System. Entropy 2023, 25, 1357. https://doi.org/10.3390/e25091357
Evangelista LR, Lenzi EK. Nonlinear Fokker–Planck Equations, H-Theorem and Generalized Entropy of a Composed System. Entropy. 2023; 25(9):1357. https://doi.org/10.3390/e25091357
Chicago/Turabian StyleEvangelista, Luiz R., and Ervin K. Lenzi. 2023. "Nonlinear Fokker–Planck Equations, H-Theorem and Generalized Entropy of a Composed System" Entropy 25, no. 9: 1357. https://doi.org/10.3390/e25091357
APA StyleEvangelista, L. R., & Lenzi, E. K. (2023). Nonlinear Fokker–Planck Equations, H-Theorem and Generalized Entropy of a Composed System. Entropy, 25(9), 1357. https://doi.org/10.3390/e25091357
