Joint User Association and Deployment Optimization for Energy-Efficient Heterogeneous UAV-Enabled MEC Networks
Abstract
:1. Introduction
1.1. Related Works
1.2. Our Work and Contributions
- Firstly, we consider heterogeneous UAV-enabled MEC networks and formulate a problem to minimize the UAV energy consumption, where UAVs with varying communication and computing capabilities co-exist. The problem is decomposed into two parts, i.e., user association sub-problem and UAV deployment sub-problem, which are solved jointly.
- Secondly, the user association sub-problem is modeled as a semi-discrete optimal transport problem. We prove the existence of the optimal solution by using optimal transport theory (OTT) and characterize the solution space. The dragonfly algorithm (DA) is introduced to find the optimal deployment of multiple UAVs. The fitness of the DA is determined by formulating the optimal association scheme and subsequently computing the corresponding energy consumption.
- Finally, we test the performance of the proposed algorithm with different user distribution models. Compared with the benchmarks, the proposed algorithm that jointly optimizes user association and UAV deployment reduces the energy consumption by up to 39%. Moreover, the convergence and complexity analysis of our algorithms are provided.
2. System Model and Problem Formulation
2.1. Computing and Computing Model
2.2. Energy Consumption Model
2.3. Problem Formulation
3. Problem Analysis and Algorithm Design
3.1. Optimization of User Association
| Algorithm 1 Iterative Algorithm for User Association |
|
3.2. Optimization of UAV Deployment
| Algorithm 2 Joint User association and Deployment Optimization for Energy-efficient UAV-aided MEC Networks |
|
4. Numerical Results
- •
- Uniform+OTT: UAVs are deployed uniformly and users access the BS by the OTT algorithm.
- •
- Uniform+SNR: UAVs are deployed uniformly and users access the BS with the largest SNR.
- •
- K-means: The UAV deployment and user association are determined by the K-means algorithm [11].
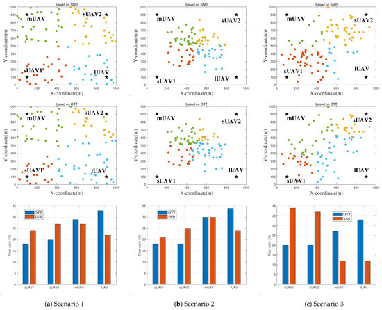
4.1. Superiority of the Proposed OTT-Based User Association Algorithm
4.2. Superiority of the Proposed Joint User Association and UAV Deployment Optimization Algorithm
5. Conclusions
Author Contributions
Funding
Institutional Review Board Statement
Data Availability Statement
Conflicts of Interest
References
- Xu, T.; Zhou, T.; Tian, J.; Sang, J.; Hu, H. Intelligent Spectrum Sensing: When Reinforcement Learning Meets Automatic Repeat Sensing in 5G Communications. IEEE Wirel. Commun. 2020, 27, 46–53. [Google Scholar] [CrossRef]
- Yang, L.; Hu, H.; Zhou, T.; Xu, T. Joint coded caching and BS sleeping strategy to reduce energy consumption in 6G edge networks. Internet Things 2023, 24, 100915. [Google Scholar] [CrossRef]
- Lu, W.; Ding, Y.; Gao, Y.; Chen, Y.; Zhao, N.; Ding, Z.; Nallanathan, A. Secure NOMA-Based UAV-MEC Network towards a Flying Eavesdropper. IEEE Trans. Commun. 2022, 70, 3364–3376. [Google Scholar] [CrossRef]
- Ding, Y.; Feng, Y.; Lu, W.; Zheng, S.; Zhao, N.; Meng, L.; Nallanathan, A.; Yang, X. Online Edge Learning Offloading and Resource Management for UAV-Assisted MEC Secure Communications. IEEE J. Sel. Top. Signal Process. 2023, 17, 54–65. [Google Scholar] [CrossRef]
- Qiu, C.; Wei, Z.; Yuan, X.; Feng, Z.; Zhang, P. Multiple UAV-Mounted Base Station Placement and User Association with Joint Fronthaul and Backhaul Optimization. IEEE Trans. Commun. 2020, 68, 5864–5877. [Google Scholar] [CrossRef]
- Zhu, C.; Zhang, G.; Yang, K. Fairness-aware task loss rate minimization for multi-UAV enabled mobile edge computing. IEEE Wirel. Commun. Lett. 2023, 12, 94–98. [Google Scholar] [CrossRef]
- Mozaffari, M.; Saad, W.; Bennis, M.; Debbah, M. Optimal Transport Theory for Cell Association in UAV-Enabled Cellular Networks. IEEE Commun. Lett. 2017, 21, 2053–2056. [Google Scholar] [CrossRef]
- Wang, D.; Tian, J.; Zhang, H.; Wu, D. Task Offloading and Trajectory Scheduling for UAV-Enabled MEC Networks: An Optimal Transport Theory Perspective. IEEE Wirel. Commun. Lett. 2022, 11, 150–154. [Google Scholar] [CrossRef]
- Sun, G.; Li, J.; Wang, A.; Wu, Q.; Sun, Z.; Liu, Y. Secure and Energy-Efficient UAV Relay Communications Exploiting Collaborative Beamforming. IEEE Trans. Commun. 2022, 70, 5401–5416. [Google Scholar] [CrossRef]
- Bera, A.; Misra, S.; Chatterjee, C. QoE Analysis in Cache-Enabled Multi-UAV Networks. IEEE Trans. Veh. Technol. 2020, 69, 6680–6687. [Google Scholar] [CrossRef]
- Luo, J.; Song, J.; Zheng, F.C.; Gao, L.; Wang, T. User-Centric UAV Deployment and Content Placement in Cache-Enabled Multi-UAV Networks. IEEE Trans. Veh. Technol. 2022, 71, 5656–5660. [Google Scholar] [CrossRef]
- Al-Hourani, A.; Kandeepan, S.; Lardner, S. Optimal LAP Altitude for Maximum Coverage. IEEE Wirel. Commun. Lett. 2014, 3, 569–572. [Google Scholar] [CrossRef]
- Han, Z.; Zhou, T.; Xu, T.; Hu, H. Joint User Association and Deployment Optimization for Delay-minimized UAV-aided MEC Networks. IEEE Wirel. Commun. Lett. 2023. early access. [Google Scholar] [CrossRef]
- Mozaffari, M.; Taleb Zadeh Kasgari, A.; Saad, W.; Bennis, M.; Debbah, M. Beyond 5G With UAVs: Foundations of a 3D Wireless Cellular Network. IEEE Trans. Wirel. Commun. 2019, 18, 357–372. [Google Scholar] [CrossRef]
- Sun, C.; Ni, W.; Wang, X. Joint Computation Offloading and Trajectory Planning for UAV-Assisted Edge Computing. IEEE Trans. Wirel. Commun. 2021, 20, 5343–5358. [Google Scholar] [CrossRef]
- Stolaroff, J.K.; Samaras, C.; O’Neill, E.R.; Lubers, A.; Mitchell, A.S.; Ceperley, D. Energy use and life cycle greenhouse gas emissions of drones for commercial package delivery. Nat. Commun. 2018, 9, 409. [Google Scholar] [CrossRef]
- Villani, C. Topics in Optimal Transportation; AMS: Providence, RI, USA, 2003. [Google Scholar]
- Crippa, G.; Jimenez, C.; Pratelli, A. Optimum and equilibrium in a transport problem with queue penalization effect. Adv. Calc. Var. 2009, 2, 207–246. [Google Scholar] [CrossRef]
- Mirjalili, S. Dragonfly algorithm: A new meta-heuristic optimization technique for solving single-objective, discrete, and multi-objective problems. Neural Comput. Appl. 2016, 27, 1053–1073. [Google Scholar] [CrossRef]
- Traspadini, A.; Giordani, M.; Giambene, G.; Zorzi, M. Real-Time HAP-Assisted Vehicular Edge Computing for Rural Areas. IEEE Wirel. Commun. Lett. 2023, 12, 674–678. [Google Scholar] [CrossRef]
- Galkin, B.; Kibiłda, J.; DaSilva, L.A. A Stochastic Model for UAV Networks Positioned Above Demand Hotspots in Urban Environments. IEEE Trans. Veh. Technol. 2019, 68, 6985–6996. [Google Scholar] [CrossRef]
- Mok, J.; Lee, Y.; Ko, S.; Choi, I.; Choi, H.S. Gaussian-mixture based potential field approach for UAV collision avoidance. In Proceedings of the 2017 56th Annual Conference of the Society of Instrument and Control Engineers of Japan (SICE), Kanazawa, Japan, 19–22 September 2017; pp. 1316–1319. [Google Scholar] [CrossRef]
- Cui, X.; Li, Y.; Fan, J.; Wang, T.; Zheng, Y. A Hybrid Improved Dragonfly Algorithm for Feature Selection. IEEE Access 2020, 8, 155619–155629. [Google Scholar] [CrossRef]






| Parameters | Description | Value |
|---|---|---|
| Carrier frequency for UAVs | 2 GHz | |
| c | Speed of light | m/s |
| m | Weight of UAVs | 50 kg |
| N | Total number of users | 100 |
| M | Data size of each task | 1 Mb |
| Effective capacitance coefficient | ||
| Computing parameter | 1.2 | |
| Air density | ||
| n | Rotor numbers of UAVs | 4 |
| d | Rotor diameter | 1 m |
| L | Average computational load for a task | 60 GFLOPs |
| User transmit power | 2 W | |
| Noise power | −110 dBm | |
| Additional path loss for LoS | 3 dB | |
| Additional path loss for NLoS | 23 dB | |
| a | The LoS probability constant | 8.96 |
| b | The LoS probability constant | 0.04 |
Disclaimer/Publisher’s Note: The statements, opinions and data contained in all publications are solely those of the individual author(s) and contributor(s) and not of MDPI and/or the editor(s). MDPI and/or the editor(s) disclaim responsibility for any injury to people or property resulting from any ideas, methods, instructions or products referred to in the content. |
© 2023 by the authors. Licensee MDPI, Basel, Switzerland. This article is an open access article distributed under the terms and conditions of the Creative Commons Attribution (CC BY) license (https://creativecommons.org/licenses/by/4.0/).
Share and Cite
Han, Z.; Zhou, T.; Xu, T.; Hu, H. Joint User Association and Deployment Optimization for Energy-Efficient Heterogeneous UAV-Enabled MEC Networks. Entropy 2023, 25, 1304. https://doi.org/10.3390/e25091304
Han Z, Zhou T, Xu T, Hu H. Joint User Association and Deployment Optimization for Energy-Efficient Heterogeneous UAV-Enabled MEC Networks. Entropy. 2023; 25(9):1304. https://doi.org/10.3390/e25091304
Chicago/Turabian StyleHan, Zihao, Ting Zhou, Tianheng Xu, and Honglin Hu. 2023. "Joint User Association and Deployment Optimization for Energy-Efficient Heterogeneous UAV-Enabled MEC Networks" Entropy 25, no. 9: 1304. https://doi.org/10.3390/e25091304
APA StyleHan, Z., Zhou, T., Xu, T., & Hu, H. (2023). Joint User Association and Deployment Optimization for Energy-Efficient Heterogeneous UAV-Enabled MEC Networks. Entropy, 25(9), 1304. https://doi.org/10.3390/e25091304

