Voter-like Dynamics with Conflicting Preferences on Modular Networks
Abstract
1. Introduction
1.1. Literature Review
1.2. Contributions and Article Structure
2. Model
- One node (agent) i is selected uniformly randomly.
- A neighbor j of node i is selected uniformly randomly.
- If i and j have opposite opinions, i takes the opinion of j with probability . Otherwise, nothing happens.
- Repeat the process until consensus or apparent stabilization is reached.
3. Results
3.1. Fully Connected Network
- The positive (all up spins) and negative (all down spins) consensus points are always fixed points, for any combination of the parameters .
- When the positive (or negative) consensus is stable, it is the only stable fixed point.
- When both the consensus fixed points are not stable, another fixed point with appears. Such a fixed point, when it exists, is always stable.
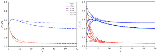
3.2. Modular Networks
3.3. Pair Approximation
3.4. Application to the Network of Blogs
4. Discussion and Conclusions
Author Contributions
Funding
Institutional Review Board Statement
Data Availability Statement
Acknowledgments
Conflicts of Interest
Abbreviations
| ODEs | Ordinary Differential Equations |
Appendix A. Linear Stability Analysis
Appendix A.1. Fully Connected Network
Appendix A.2. Modular Networks
Appendix B. Mean-Field Transition Rates for Modular Networks
Appendix C. Derivation of the Pair Approximation System of ODEs
References
- Weber, M. Economy and Society: An Outline of Interpretive Sociology; University of California Press: Oakland, CA, USA, 1978; Volume 2. [Google Scholar]
- Castellano, C.; Fortunato, S.; Loreto, V. Statistical physics of social dynamics. Rev. Mod. Phys. 2009, 81, 591. [Google Scholar] [CrossRef]
- Sirbu, A.; Loreto, V.; Servedio, V.D.; Tria, F. Opinion dynamics: Models, extensions and external effects. In Participatory Sensing, Opinions and Collective Awareness; Springer: Berlin/Heidelberg, Germany, 2017; pp. 363–401. [Google Scholar]
- Contucci, P.; Vernia, C. On a statistical mechanics approach to some problems of the social sciences. Front. Phys. 2020, 8, 585383. [Google Scholar] [CrossRef]
- Peralta, A.F.; Kertész, J.; Iñiguez, G. Opinion dynamics in social networks: From models to data. arXiv 2022, arXiv:2201.01322. [Google Scholar]
- Redner, S. Reality-inspired voter models: A mini-review. C. R. Phys. 2019, 20, 275–292. [Google Scholar] [CrossRef]
- Castelló, X.; Eguíluz, V.M.; San Miguel, M. Ordering dynamics with two non-excluding options: Bilingualism in language competition. New J. Phys. 2006, 8, 308. [Google Scholar] [CrossRef]
- Holley, R.A.; Liggett, T.M. Ergodic theorems for weakly interacting infinite systems and the voter model. Ann. Probab. 1975, 3, 643–663. [Google Scholar] [CrossRef]
- Dornic, I.; Chaté, H.; Chave, J.; Hinrichsen, H. Critical coarsening without surface tension: The universality class of the voter model. Phys. Rev. Lett. 2001, 87, 045701. [Google Scholar] [CrossRef]
- Sood, V.; Redner, S. Voter model on heterogeneous graphs. Phys. Rev. Lett. 2005, 94, 178701. [Google Scholar] [CrossRef]
- Masuda, N.; Gibert, N.; Redner, S. Heterogeneous voter models. Phys. Rev. E 2010, 82, 010103. [Google Scholar] [CrossRef]
- Masuda, N.; Redner, S. Can partisan voting lead to truth? J. Stat. Mech. Theory Exp. 2011, 2011, L02002. [Google Scholar] [CrossRef]
- Bartels, L.M. Partisanship and voting behavior, 1952–1996. Am. J. Political Sci. 2000, 44, 35–50. [Google Scholar] [CrossRef]
- Sirbu, A.; Pedreschi, D.; Giannotti, F.; Kertész, J. Algorithmic bias amplifies opinion fragmentation and polarization: A bounded confidence model. PLoS ONE 2019, 14, e0213246. [Google Scholar] [CrossRef]
- Peralta, A.F.; Neri, M.; Kertész, J.; Iñiguez, G. Effect of algorithmic bias and network structure on coexistence, consensus, and polarization of opinions. Phys. Rev. E 2021, 104, 044312. [Google Scholar] [CrossRef]
- Peralta, A.F.; Kertész, J.; Iñiguez, G. Opinion formation on social networks with algorithmic bias: Dynamics and bias imbalance. J. Phys. Complex. 2021, 2, 045009. [Google Scholar] [CrossRef]
- Kuran, T. Private Truths, Public Lies: The Social Consequences of Preference Falsification; Harvard University Press: Cambridge, MA, USA, 1997. [Google Scholar]
- Valensise, C.M.; Cinelli, M.; Quattrociocchi, W. The dynamics of online polarization. arXiv 2022, arXiv:2205.15958. [Google Scholar]
- Del Vicario, M.; Scala, A.; Caldarelli, G.; Stanley, H.E.; Quattrociocchi, W. Modeling confirmation bias and polarization. Sci. Rep. 2017, 7, 40391. [Google Scholar] [CrossRef]
- Interian, R.; Marzo, R.G.; Mendoza, I.; Ribeiro, C.C. Network polarization, filter bubbles, and echo chambers: An annotated review of measures and reduction methods. arXiv 2022, arXiv:2207.13799. [Google Scholar] [CrossRef]
- Garimella, K.; De Francisci Morales, G.; Gionis, A.; Mathioudakis, M. Political discourse on social media: Echo chambers, gatekeepers, and the price of bipartisanship. In Proceedings of the 2018 World Wide Web Conference, Lyon, France, 23–27 April 2018; pp. 913–922. [Google Scholar]
- Bhat, D.; Redner, S. Polarization and consensus by opposing external sources. J. Stat. Mech. Theory Exp. 2020, 2020, 013402. [Google Scholar] [CrossRef]
- Gallo, I.; Contucci, P. Bipartite mean field spin systems. Existence and solution. arXiv 2007, arXiv:0710.0800. [Google Scholar]
- Contucci, P.; Gallo, I.; Menconi, G. Phase transitions in social sciences: Two-population mean field theory. Int. J. Mod. Phys. B 2008, 22, 2199–2212. [Google Scholar] [CrossRef]
- Abrams, D.M.; Strogatz, S.H. Modelling the dynamics of language death. Nature 2003, 424, 900. [Google Scholar] [CrossRef]
- Stauffer, D.; Castelló, X.; Eguiluz, V.M.; San Miguel, M. Microscopic Abrams–Strogatz model of language competition. Phys. A Stat. Mech. Its Appl. 2007, 374, 835–842. [Google Scholar] [CrossRef]
- Vazquez, F.; Castelló, X.; San Miguel, M. Agent based models of language competition: Macroscopic descriptions and order–disorder transitions. J. Stat. Mech. Theory Exp. 2010, 2010, P04007. [Google Scholar] [CrossRef]
- Borile, C.; Maritan, A.; Munoz, M.A. The effect of quenched disorder in neutral theories. J. Stat. Mech. Theory Exp. 2013, 2013, P04032. [Google Scholar] [CrossRef]
- Czaplicka, A.; Charalambous, C.; Toral, R.; San Miguel, M. Biased-voter model: How persuasive a small group can be? Chaos Solitons Fractals 2022, 161, 112363. [Google Scholar] [CrossRef]
- Mobilia, M. Does a single zealot affect an infinite group of voters? Phys. Rev. Lett. 2003, 91, 028701. [Google Scholar] [CrossRef]
- Mobilia, M.; Petersen, A.; Redner, S. On the role of zealotry in the voter model. J. Stat. Mech. Theory Exp. 2007, 2007, P08029. [Google Scholar] [CrossRef]
- Mukhopadhyay, A.; Mazumdar, R.R.; Roy, R. Voter and majority dynamics with biased and stubborn agents. J. Stat. Phys. 2020, 181, 1239–1265. [Google Scholar] [CrossRef]
- Hernandez, P.; Munoz-Herrera, M.; Sanchez, A. Heterogeneous network games: Conflicting preferences. Games Econ. Behav. 2013, 79, 56–66. [Google Scholar] [CrossRef]
- Hernández, P.; Martínez-Cánovas, G.; Muñoz-Herrera, M.; Sánchez, A. Equilibrium characterization of networks under conflicting preferences. Econ. Lett. 2017, 155, 154–156. [Google Scholar] [CrossRef]
- Mazzoli, M.; Sanchez, A. Equilibria, information and frustration in heterogeneous network games with conflicting preferences. J. Stat. Mech. Theory Exp. 2017, 2017, 113403. [Google Scholar] [CrossRef]
- Broere, J.; Buskens, V.; Weesie, J.; Stoof, H. Network effects on coordination in asymmetric games. Sci. Rep. 2017, 7, 17016. [Google Scholar] [CrossRef] [PubMed]
- Ellwardt, L.; Hernandez, P.; Martinez-Canovas, G.; Munoz-Herrera, M. Conflict and segregation in networks: An experiment on the interplay between individual preferences and social influence. J. Dyn. Games 2016, 3, 191–216. [Google Scholar] [CrossRef]
- Goyal, S.; Hernández, P.; Martínez-Cánovas, G.; Moisan, F.; Muñoz-Herrera, M.; Sánchez, A. Integration and diversity. Exp. Econ. 2021, 24, 387–413. [Google Scholar] [CrossRef]
- Broere, J.; Buskens, V.; Stoof, H.; Sánchez, A. An experimental study of network effects on coordination in asymmetric games. Sci. Rep. 2019, 9, 6842. [Google Scholar] [CrossRef]
- Gleeson, J.P. High-accuracy approximation of binary-state dynamics on networks. Phys. Rev. Lett. 2011, 107, 068701. [Google Scholar] [CrossRef]
- Gleeson, J.P. Binary-state dynamics on complex networks: Pair approximation and beyond. Phys. Rev. X 2013, 3, 021004. [Google Scholar] [CrossRef]
- Adamic, L.A.; Glance, N. The political blogosphere and the 2004 US election: Divided they blog. In Proceedings of the 3rd International Workshop on Link Discovery, Chicago, IL, USA, 21–25 August 2005; pp. 36–43. [Google Scholar]
- Porter, M.A.; Gleeson, J.P. Dynamical systems on networks: A tutorial. arXiv 2014, arXiv:1403.7663. [Google Scholar]
- Centola, D.; Becker, J.; Brackbill, D.; Baronchelli, A. Experimental evidence for tipping points in social convention. Science 2018, 360, 1116–1119. [Google Scholar] [CrossRef]
- Lee, C.; Wilkinson, D.J. A review of stochastic block models and extensions for graph clustering. Appl. Netw. Sci. 2019, 4, 122. [Google Scholar] [CrossRef]
- Kernighan, B.W.; Lin, S. An efficient heuristic procedure for partitioning graphs. Bell Syst. Tech. J. 1970, 49, 291–307. [Google Scholar] [CrossRef]
- Centola, D.; Baronchelli, A. The spontaneous emergence of conventions: An experimental study of cultural evolution. Proc. Natl. Acad. Sci. USA 2015, 112, 1989–1994. [Google Scholar] [CrossRef]
- Pansanella, V.; Morini, V.; Squartini, T.; Rossetti, G. Change my Mind: Data Driven Estimate of Open-Mindedness from Political Discussions. arXiv 2022, arXiv:2209.10470. [Google Scholar]
- Malarz, K. Truth seekers in opinion dynamics models. Int. J. Mod. Phys. C 2006, 17, 1521–1524. [Google Scholar] [CrossRef]
- Flache, A.; Mäs, M.; Feliciani, T.; Chattoe-Brown, E.; Deffuant, G.; Huet, S.; Lorenz, J. Models of social influence: Towards the next frontiers. J. Artif. Soc. Soc. Simul. 2017, 20, 2. [Google Scholar] [CrossRef]
- Galesic, M.; Olsson, H.; Dalege, J.; van der Does, T.; Stein, D.L. Integrating social and cognitive aspects of belief dynamics: Towards a unifying framework. J. R. Soc. Interface 2021, 18, 20200857. [Google Scholar] [CrossRef]








| Ising Glauber | ||
| VMMI | ||
| PVM |
| Ising Glauber | ||||
| VMMI | ||||
| PVM |
Disclaimer/Publisher’s Note: The statements, opinions and data contained in all publications are solely those of the individual author(s) and contributor(s) and not of MDPI and/or the editor(s). MDPI and/or the editor(s) disclaim responsibility for any injury to people or property resulting from any ideas, methods, instructions or products referred to in the content. |
© 2023 by the authors. Licensee MDPI, Basel, Switzerland. This article is an open access article distributed under the terms and conditions of the Creative Commons Attribution (CC BY) license (https://creativecommons.org/licenses/by/4.0/).
Share and Cite
Zimmaro, F.; Contucci, P.; Kertész, J. Voter-like Dynamics with Conflicting Preferences on Modular Networks. Entropy 2023, 25, 838. https://doi.org/10.3390/e25060838
Zimmaro F, Contucci P, Kertész J. Voter-like Dynamics with Conflicting Preferences on Modular Networks. Entropy. 2023; 25(6):838. https://doi.org/10.3390/e25060838
Chicago/Turabian StyleZimmaro, Filippo, Pierluigi Contucci, and János Kertész. 2023. "Voter-like Dynamics with Conflicting Preferences on Modular Networks" Entropy 25, no. 6: 838. https://doi.org/10.3390/e25060838
APA StyleZimmaro, F., Contucci, P., & Kertész, J. (2023). Voter-like Dynamics with Conflicting Preferences on Modular Networks. Entropy, 25(6), 838. https://doi.org/10.3390/e25060838

