Restricted Phase Space Thermodynamics of Einstein-Power-Yang–Mills AdS Black Hole
Abstract
1. Introduction
2. EPYM AdS Black Hole and Hawking Temperature
3. Restricted Phase Space Formulism of EPYM AdS Black Hole
4. Critical Curves of EPYM AdS Black Hole
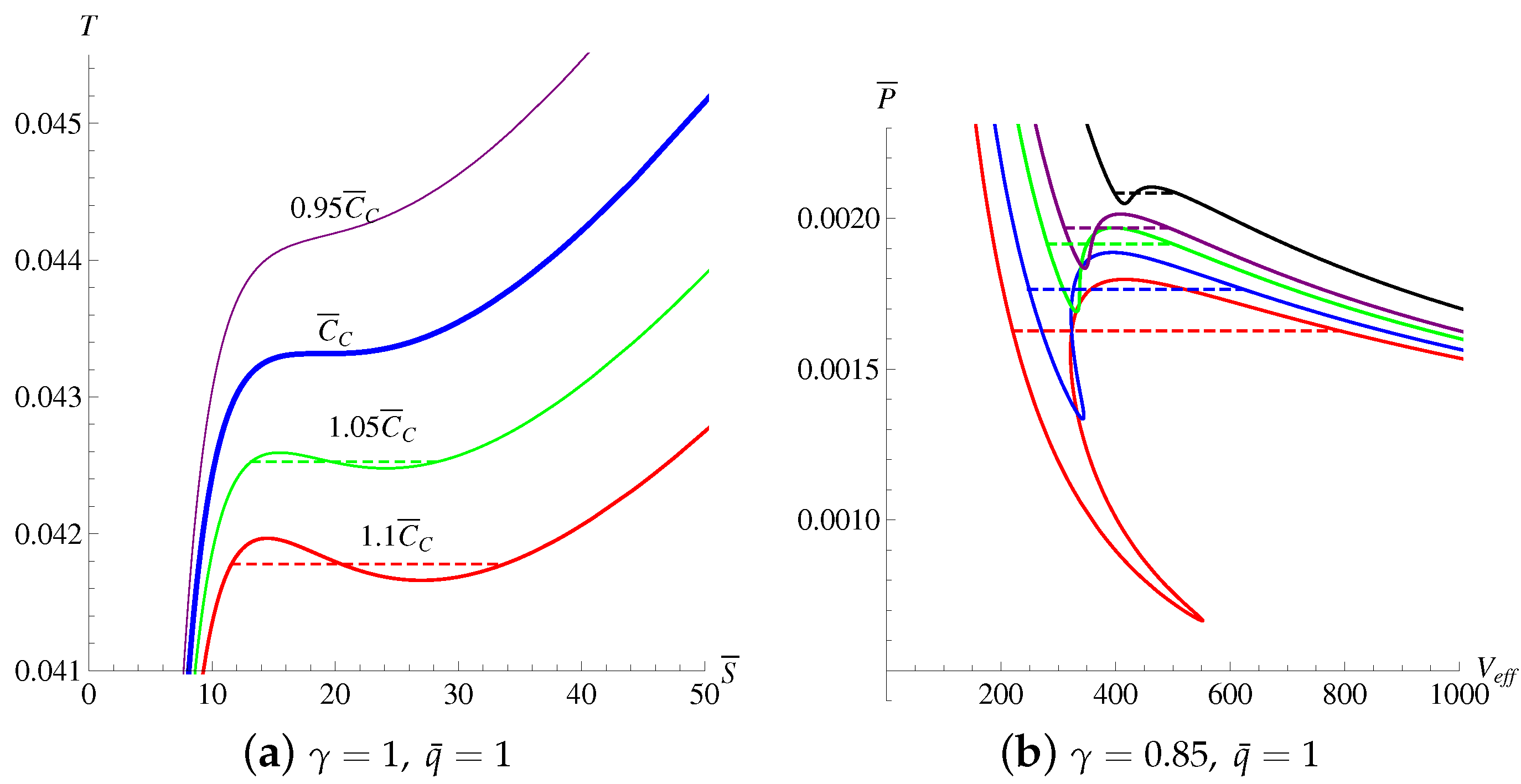
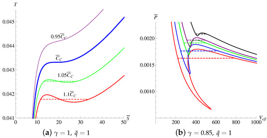
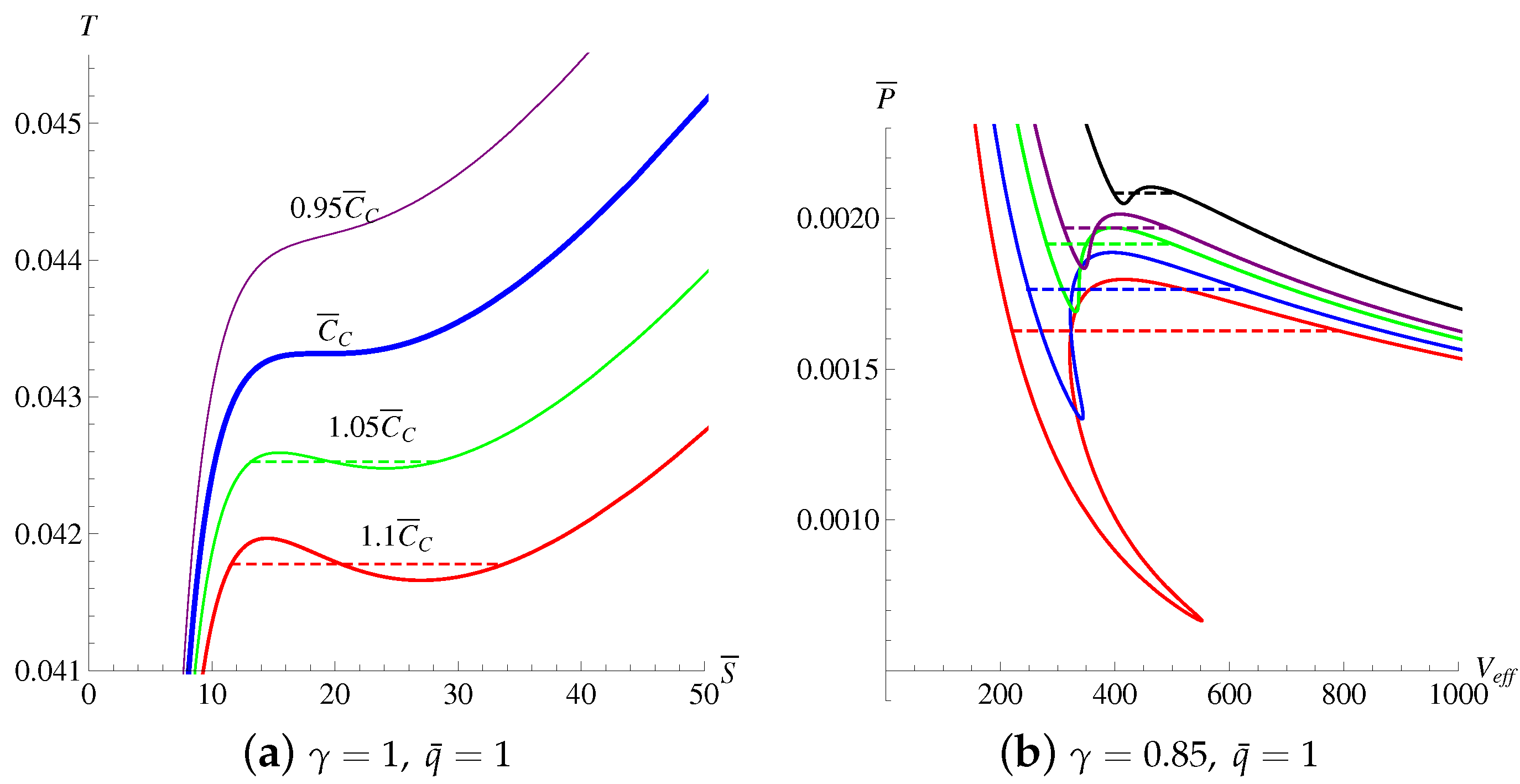
5. First-Order Phase Transition in Restricted Phase Space
6. Phase Transition from Ehrenfest’s Equations
7. Discussions and Conclusions
- The first law of thermodynamics for the EPYM AdS black hole in the restricted phase space conforms to the standard description of ordinary thermodynamic systems: the mass parameter is to be understood as the internal energy, and the Euler relation of this system in the restricted phase space is restored as in an ordinary thermodynamic system.
- In these two different phase spaces, the property of phase transition including the first-order and second-order phase transitions for the EPYM AdS black hole does not change. That means that the thermodynamic property of AdS black holes is independent of the adoption of corresponding phase spaces.
- From the PD ratio perspective, this charged non-linear black hole is indeed in an equilibrium state at as well as ordinary thermodynamic systems. This also indicates that black holes can be indeed regarded as thermodynamic systems.
Author Contributions
Funding
Institutional Review Board Statement
Informed Consent Statement
Data Availability Statement
Acknowledgments
Conflicts of Interest
References
- Maldacena, J.M. The large N limit of superconformal field theories and supergravity. Adv. Theor. Math. Phys. 1998, 2, 231. [Google Scholar] [CrossRef]
- Hawking, S.W.; Page, D.N. Thermodynamics of Black Holes in Anti-de Sitter Space. Commun. Math. Phys. 1983, 87, 577–588. [Google Scholar] [CrossRef]
- Witten, E. Anti-de Sitter space, thermal phase transition, and confinement in gauge theories. Adv. Theor. Math. Phys. 1998, 2, 505. [Google Scholar] [CrossRef]
- Kastor, D.; Ray, S.; Traschen, J. Enthalpy and the mechaniscs of AdS black holes. Class. Quant. Grav. 2009, 26, 195011. [Google Scholar] [CrossRef]
- Kubiznak, D.; Mann, R.B. P-V criticality of charged AdS black holes. J. High Energy Phys. 2012, 1207, 033. [Google Scholar] [CrossRef]
- Cai, R.-G.; Cao, L.-M.; Li, L.; Yang, R.-Q. P-V criticality in the extended phase space of Gauss-Bonnet black holes in AdS space. J. High Energy Phys. 2013. [Google Scholar] [CrossRef]
- Wei, S.-W.; Liu, Y.-X. Insight into the microscopic structure of an AdS black hole from a thermodynammical phase transition. Phys. Rev. Lett 2015, 115, 111302. [Google Scholar] [CrossRef]
- Altamirano, N.; Kubiznak, D.; Mann, R.B. Reentrant phase transitions in rotating anti-de Sitter black holes. Phys. Rev. D 2013, 88, 101502. [Google Scholar] [CrossRef]
- Frassino, A.M.; Kubiznak, D.; Mann, R.B.; Simovic, F. Multiple Reentrant Phase Transitions and Triple Points in Lovelock Thermodynamics. J. High Energy Phys. 2014, 80. [Google Scholar] [CrossRef]
- Hennigar, R.A.; Mann, R.B. Superfluid black hole. Phys. Rev. Lett. 2017, 118, 021301. [Google Scholar] [CrossRef]
- Dolan, B.P.; Kostouki, A.; Kubiznak, D.; Mann, R.B. Isolated critical point from Lovelock gravity. Class. Quantum Gravity 2014, 31, 242001. [Google Scholar] [CrossRef]
- Wei, S.-W.; Liu, Y.-X. Triple points and phase diagrams in the extended phase space of charged Gauss-Bonnet black holes in AdS space. Phys. Rev. D 2014, 90, 044057. [Google Scholar] [CrossRef]
- Li, M.-D.; Wang, H.-M.; Wei, S.-W. Triple points and novel phase transitions of dyonic AdS black holes with quasitopological electromagnetism. Phys. Rev. D 2022, 105, 104048. [Google Scholar] [CrossRef]
- Wei, S.-W.; Liu, Y.-X.; Man, R.B. Novel dual relation and constant in Hawking-Page phase transitions. Phys. Rev. D 2020, 102, 104011. [Google Scholar] [CrossRef]
- Johnson, C.V. Holographic heat engines. Class. Quant. Grav. 2014, 31, 205002. [Google Scholar] [CrossRef]
- Xu, H.; Sun, Y.; Zhao, L. Black hole thermodynamics and heat engines in conformal gravity. Int. J. Mod. Phys. D 2017, 26, 1750151. [Google Scholar] [CrossRef]
- Kubiznak, D.; Mann, R.B.; Teo, M. Black hole chemistry: Thermodynamics with Lambda. Class. Quant. Grav. 2017, 34, 063001. [Google Scholar] [CrossRef]
- Dolan, B.P. Bose condensation and branes. J. High Energy Phys. 2014, 10, 179. [Google Scholar] [CrossRef]
- Kastor, D.; Ray, S.; Traschen, J. Chemical potential in the first law for holographic entanglement entropy. J. High Energy Phys. 2014, 11, 120. [Google Scholar] [CrossRef]
- Zhang, J.-L.; Cai, R.-G.; Yu, H. Phase transition and thermodynamical geometry of Reissner-Nordström-AdS black holes in extended phase space. Phys. Rev. D 2015, 91, 044028. [Google Scholar] [CrossRef]
- Dolan, B.P. Pressure and compressibility of conformal field theories from the AdS/CFT correspondence. Entropy 2016, 18, 169. [Google Scholar] [CrossRef]
- Karch, A.; Robinson, B. Holographic black hole chemistry. J. High Energy Phys. 2015, 12, 073. [Google Scholar] [CrossRef]
- Sinamuli, M.; Mann, R.B. Higher order corrections to holographic black hole chemistry. Phys. Rev. D 2017, 96, 086008. [Google Scholar] [CrossRef]
- Cong, W.; Kubiznak, D.; Mann, R.B. Thermodynamics of AdS Black Holes: Critical Behavior of the Central Charge. Phys. Rev. L 2021, 127, 091301. [Google Scholar] [CrossRef] [PubMed]
- Visser, M.R. Holographic thermodynamics requires a chemical potential for color. Phys. Rev. D 2022, 105, 106014. [Google Scholar] [CrossRef]
- Gao, Z.; Zhao, L. Restricted phase space thermodynamics for AdS black holes via holography. Class. Quant. Grav. 2022, 39, 075019. [Google Scholar] [CrossRef]
- Zhao, L. Thermodynamics for higher dimensional rotating black holes with variable Newton constant. Chin. Phys. C 2022, 46, 055105. [Google Scholar] [CrossRef]
- Sadeghi, J.; Shokri, M.; Gashti, S.N.; Alipour, M.R. RPS Thermodynamics of Taub-NUT AdS Black Holes in the Presence of Central Charge and the Weak Gravity Conjecture. Gen. Relativ. Gravit. 2022, 54, 129. [Google Scholar] [CrossRef]
- Zhang, M.; Yang, Z.-Y.; Zou, D.-C.; Xu, W.; Yue, R.-H. P-V criticality of AdS black hole in the Einstein-Maxwell-power-Yang–Mills gravity. Gen. Rel. Grav. 2015, 47, 14. [Google Scholar] [CrossRef]
- Corda, C.; Cuesta, H.J.M. Inflation from R2 gravity: A new approach using nonlinear electrodynamics. Astropart. Phys. 2011, 34, 587. [Google Scholar] [CrossRef]
- Mazharimousavi, S.H.; Halilsoy, M. Lovelock black holes with a power-Yang–Mills source. Phys. Lett. B 2009, 681, 190. [Google Scholar] [CrossRef]
- Lorenci, V.A.D.; Klippert, R.; Novello, M.; Salim, J.M. Nonlinear electrodynamics and FRW cosmology. Phys. Rev. D 2002, 65, 063501. [Google Scholar] [CrossRef]
- Johnson, C.V. Critical Black Holes in a Large Charge Limit. Mod. Phys. Lett. A 2018, 33, 1850175. [Google Scholar] [CrossRef]
- Johnson, C.V. An Exact Model of the Power/Efficiency Trade-Off While Approaching the Carnot Limit. Phys. Rev. D 2018, 98, 026008. [Google Scholar] [CrossRef]
- Mazharimousavi, S.H.; Halilsoy, M. Black Hole solutions in Einstein-Maxwell-Yang–Mills-Gauss-Bonnet Theory. J. Cosmol. Astropart. Phys. 2008, 12, 005. [Google Scholar] [CrossRef]
- Mazharimousavi, S.H.; Halilsoy, M. 5D black hole solution in Einstein-Yang–Mills-Gauss-Bonnet thoery. Phys. Rev. D 2007, 76, 087501. [Google Scholar] [CrossRef]
- Stetsko, M.M. Static spherically symmetric black hole’s solution in Einstein-Maxwell-Yang–Mills-dilaton theory. Int. J. Mod. Phys. A 2021, 36, 2150034. [Google Scholar] [CrossRef]
- Du, Y.-Z.; Li, H.-F.; Liu, F.; Zhao, R.; Zhang, L.-C. Phase transition of non-linear charged Anti-de Sitter black holes. Chin. Phys. C 2021, 45, 112001. [Google Scholar] [CrossRef]
- Moumni, H.E. Revisiting the phase transition of AdS-Maxwell–power-Yang–Mills black hol00es via AdS/CFT tools. Phys. Lett. B 2018, 776, 124. [Google Scholar] [CrossRef]
- Balakin, A.B.; Lemos, J.P.S.; Zayats, A.E. Regular nonminimal magnetic black holes in spacetimes with a cosmological constant. Phys. Rev. D 2016, 93, 024008. [Google Scholar] [CrossRef]
- Stetsko, M.M. Static spherically symmetric Einstein-Yang–Mills-dilaton black hole and its thermodynamics. Phys. Rev. D 2020, 101, 124017. [Google Scholar] [CrossRef]
- Chakhchi, L.; Moumni, H.E.; Masmar, K. Shadows and optical appearance of a power-Yang–Mills black hole surrounded by different accretion disk profiles. Phys. Rev. D 2022, 105, 064031. [Google Scholar] [CrossRef]
- Yerra, P.K.; Bhamidipati, C. A Note on Critical Nonlinearly Charged Black Holes. Mod. Phys. Lett. A 2019, 34, 1950216. [Google Scholar] [CrossRef]
- Du, Y.-Z.; Li, H.-F.; Liu, F.; Zhang, L.-C. Photon orbits and phase transition for Non-Linear charged Anti-de Sitter black holes. J. High Energy Phys. 2023. [Google Scholar] [CrossRef]
- Du, Y.-Z.; Li, H.-F.; Zhou, X.-N.; Guo, W.-Q.; Zhao, R. Shadow thermodynamics of non-linear charged Anti-de Sitter black holes. Chin. Physics C 2022, 46, 122002. [Google Scholar] [CrossRef]
- Zhang, J.-L.; Cai, R.-G.; Yu, H. Phase transition and thermodynamical geometry for Schwarzschild AdS black hole in AdS 5 × S5 spacetime. J. High Energy Phys. 2015, 2015, 143. [Google Scholar] [CrossRef]
- McCarthy, F.; Kubiznak, D.; Mann, R.B. Breakdown of the equal area law for holographic entanglement entropy. J. High Energy Phys. 2017, 2017, 165. [Google Scholar] [CrossRef]
- Banerjee, R.; Roychowdhury, D. Thermodynamics of phase transition in higher dimensional AdS black holes. J. High Energy Phys. 2011, 11, 004. [Google Scholar] [CrossRef]
- Banerjee, R.; Ghosh, S.; Roychowdhury, D. New type of phase transition in Reissner-Nordstrom-AdS black hole and its thermodynamic geometry. Phys. Lett. B 2011, 696, 156. [Google Scholar] [CrossRef]
- Banerjee, R.; M, S.K.; Samanta, S. Glassy Phase Transition and Stability in Black Holes. Eur. Phys. J. C 2010, 70, 317. [Google Scholar] [CrossRef]
- Prigogine, I.; Defay, R. Chemical Thermodynamics; Longmans Green: New York, NY, USA, 1954. [Google Scholar]
- Gupta, P.K.; Moynihan, C.T. Prigogine-Defay ratio for systems with more than one order parameter. J. Chem. Phys. 1976, 65, 4136. [Google Scholar] [CrossRef]



Disclaimer/Publisher’s Note: The statements, opinions and data contained in all publications are solely those of the individual author(s) and contributor(s) and not of MDPI and/or the editor(s). MDPI and/or the editor(s) disclaim responsibility for any injury to people or property resulting from any ideas, methods, instructions or products referred to in the content. |
© 2023 by the authors. Licensee MDPI, Basel, Switzerland. This article is an open access article distributed under the terms and conditions of the Creative Commons Attribution (CC BY) license (https://creativecommons.org/licenses/by/4.0/).
Share and Cite
Du, Y.-Z.; Li, H.-F.; Zhang, Y.; Zhou, X.-N.; Zhao, J.-X. Restricted Phase Space Thermodynamics of Einstein-Power-Yang–Mills AdS Black Hole. Entropy 2023, 25, 687. https://doi.org/10.3390/e25040687
Du Y-Z, Li H-F, Zhang Y, Zhou X-N, Zhao J-X. Restricted Phase Space Thermodynamics of Einstein-Power-Yang–Mills AdS Black Hole. Entropy. 2023; 25(4):687. https://doi.org/10.3390/e25040687
Chicago/Turabian StyleDu, Yun-Zhi, Huai-Fan Li, Yang Zhang, Xiang-Nan Zhou, and Jun-Xin Zhao. 2023. "Restricted Phase Space Thermodynamics of Einstein-Power-Yang–Mills AdS Black Hole" Entropy 25, no. 4: 687. https://doi.org/10.3390/e25040687
APA StyleDu, Y.-Z., Li, H.-F., Zhang, Y., Zhou, X.-N., & Zhao, J.-X. (2023). Restricted Phase Space Thermodynamics of Einstein-Power-Yang–Mills AdS Black Hole. Entropy, 25(4), 687. https://doi.org/10.3390/e25040687
