Classical, Quantum and Event-by-Event Simulation of a Stern–Gerlach Experiment with Neutrons
Abstract
1. Introduction
2. Neutron Experiment
3. Newtonian Mechanics
3.1. Model for the Magnetic Field
3.2. Analytically Solvable Cases
3.3. Model Parameters
3.4. Numerical Solution of Equation (3)
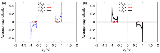
3.5. Newtonian Dynamics: Simulation Results for Neutrons
4. Quantum-Theoretical Model
4.1. Quantum Theory: Simulation Results
4.2. Quantum Theory: Simplified Model
5. Event-by-Event Simulation
- 4.
- If set ,
- 4.
- If : the first time that the event occurs, that is when the particle enters the region where , use Equation (16) with to align the vector along the magnetic field and compute .
6. Conclusions
Author Contributions
Funding
Data Availability Statement
Acknowledgments
Conflicts of Interest
Appendix A. Large Static Field B0
Appendix B. Numerical Solution of Equation (3)
- ,
- ,
- ,
- ,

Appendix C. Newtonian Dynamics: Imaginary Silver Particles
Appendix D. Quantum-Theoretical Model
Appendix D.1. Momentum Representation
Appendix D.2. Textbook Model
Appendix D.3. Dimensionless Form
Appendix D.4. Initial State
Appendix D.5. Simulation Method
Appendix D.6. TDPE Solver: Technical Aspects
Appendix D.7. Quantum Dynamics: Imaginary Silver Particles

References
- Gerlach, W.; Stern, O. Der experimentelle Nachweis der Richtungsquantelung im Magnetfeld. Z. Phys. 1922, 9, 349–352. [Google Scholar] [CrossRef]
- Frisch, R.; Segrè, E. Über die Einstellung der Richtungsquantelung. II. Z. Phys. 1933, 80, 610–616. [Google Scholar] [CrossRef]
- Gerlach, W.; Stern, O. Über die Richtungsquantelung im Magnetfeld. Ann. Phys. 1924, 379, 673–699. [Google Scholar] [CrossRef]
- Bohm, D. Quantum Theory; Prentice-Hall: New York, NY, USA, 1951. [Google Scholar]
- Feynman, R.P.; Leighton, R.B.; Sands, M. The Feynman Lectures on Physics; Addison-Wesley: Reading, MA, USA, 1965; Volume 3. [Google Scholar]
- Baym, G. Lectures on Quantum Mechanics; W.A. Benjamin: Reading, MA, USA, 1974. [Google Scholar]
- Ballentine, L.E. Quantum Mechanics: A Modern Development; World Scientific: Singapore, 2003. [Google Scholar]
- Hannout, M.; Hoyt, S.; Kryowonos, A.; Widom, A. Quantum measurement theory and the Stern–Gerlach experiment. Am. J. Phys. 1998, 66, 377–379. [Google Scholar] [CrossRef]
- Schmidt-Böcking, H. The Stern-Gerlach experiment re-examined by an experimenter. Europhys. News 2019, 50, 15–19. [Google Scholar] [CrossRef]
- Hamelin, B.; Xiromeritis, N.; Liaud, P. Calcul, Montage et expérimentation d’un nouveau type d’aimant de <stern et gerlach> comme polariseur ou analyseur de polarisation des neutrons. Nucl. Instrum. Methods 1975, 125, 79–84. [Google Scholar]
- Platt, D.E. A modern analysis of the Stern–Gerlach experiment. Am. J. Phys. 1992, 60, 306–308. [Google Scholar] [CrossRef]
- de Heer, W.A.; Milani, P.; Chtelain, A. Spin relaxation in small free iron clusters. Phys. Rev. Lett. 1990, 65, 488–491. [Google Scholar] [CrossRef]
- Diaz-Bachs, A.; Katsnelson, M.I.; Kirilyuk, A. Kramers degeneracy and relaxation in vanadium, niobium and tantalum clusters. New J. Phys. 2018, 20, 043042. [Google Scholar] [CrossRef]
- Batelaan, H.; Gay, T.J.; Schwendiman, J.J. Stern-Gerlach Effect for Electron Beams. Phys. Rev. Lett. 1997, 79, 4517–4521. [Google Scholar] [CrossRef]
- Rutherford, G.H.; Grobe, R. A Comment on the Letter by H. Batelaan, T. J. Gay, and J. J. Schwendiman, Phys. Rev. Lett. 79, 4517 (1997). Phys. Rev. Lett. 1998, 81, 4772–4773. [Google Scholar] [CrossRef]
- Batelaan, H.; Gay, T.J. Batelaan and Gay Reply. Phys. Rev. Lett. 1998, 81, 4473. [Google Scholar] [CrossRef]
- Garraway, B.M.; Stenholm, S. Observing the spin of a free electron. Phys. Rev. A 1999, 60, 63–79. [Google Scholar] [CrossRef]
- Henkel, C.; Jacob, G.; Stopp, F.; Schmidt-Kaler, F.; Keil, M.; Japha, Y.; Folman, R. Stern–Gerlach splitting of low-energy ion beams. New J. Phys. 2019, 21, 083022. [Google Scholar] [CrossRef]
- De Raedt, H.; Katsnelson, M.I.; Michielsen, K. Logical inference derivation of the quantum theoretical description of Stern-Gerlach and Einstein-Podolsky-Rosen-Bohm experiments. Ann. Phys. 2018, 396, 96–118. [Google Scholar] [CrossRef]
- De Raedt, H.; Katsnelson, M.I.; Willsch, D.; Michielsen, K. Separation of conditions as a prerequisite for quantum theory. Ann. Phys. 2019, 403, 112–135. [Google Scholar] [CrossRef]
- Potel, G.; Barranco, F.; Cruz-Barrios, S.; Gómez-Camacho, J. Quantum mechanical description of Stern-Gerlach experiments. Phys. Rev. A 2005, 71, 052106. [Google Scholar] [CrossRef]
- Hsu, B.C.; Berrondo, M.; Huele, J.F.S.V. Stern-Gerlach dynamics with quantum propagators. Phys. Rev. A 2011, 83, 012109. [Google Scholar] [CrossRef]
- Jackson, J.D. Classical Electrodynamics, 3rd ed.; John Wiley & Sons, Inc.: Hoboken, NJ, USA, 1962. [Google Scholar]
- Majorana, E. Atomi orientati in campo magnetico variabile. Il Nuovo Cimento 1932, 9, 43–50. [Google Scholar] [CrossRef]
- Alstrøm, P.; Hjorth, P.; Mattuck, R. Paradox in the classical treatment of the Stern–Gerlach experiment. Am. J. Phys. 1982, 50, 697–698. [Google Scholar] [CrossRef]
- Scully, M.O.; Lamb, W.E.; Barut, A. On the theory of the Stern-Gerlach apparatus. Found. Phys. 1987, 17, 575–583. [Google Scholar] [CrossRef]
- Vigué, J. Some comments on the historical paper by H. Schmidt-Böcking “The Stern-Gerlach experiment re-examined by an experimenter” (EPN 50/3 pp. 15-19). Europhys. News 2019, 50, 22–23. [Google Scholar] [CrossRef]
- Rauch, H.; Werner, S.A. Neutron Interferometry: Lessons in Experimental Quantum Mechanics, Wave-Particle Duality, and Entanglement; Oxford: London, UK, 2015. [Google Scholar]
- Brun, E.; Oeser, J.; Staub, H.H.; Telschow, C.G. The nuclear magnetic moments of K41, Y87, Ag107, and Ag109. Phys. Rev. 1954, 93, 172–173. [Google Scholar] [CrossRef]
- Rapaport, D.C. The Art of Molecular Dynamics Simulation, 2nd ed.; Cambridge University Press: Cambridge, UK, 2004. [Google Scholar]
- Schwinger, J. The algebra of microscopic measurements. Proc. Natl. Acad. Sci. USA 1959, 45, 1542–1553. [Google Scholar] [CrossRef]
- De Raedt, K.; De Raedt, H.; Michielsen, K. Deterministic event-based simulation of quantum phenomena. Comp. Phys. Commun. 2005, 171, 19–39. [Google Scholar] [CrossRef][Green Version]
- Zhao, S.; De Raedt, H.; Michielsen, K. Event-by-event simulation model of Einstein-Podolsky-Rosen-Bohm experiments. Found. Phys. 2008, 38, 322–347. [Google Scholar] [CrossRef]
- Zhao, S.; Yuan, S.; De Raedt, H.; Michielsen, K. Computer simulation of Wheeler’s delayed choice experiment with photons. Europhys. Lett. 2008, 82, 40004. [Google Scholar] [CrossRef]
- Jin, F.; Yuan, S.; De Raedt, H.; Michielsen, K.; Miyashita, S. Particle-only model of two-beam interference and double-slit experiments with single photons. J. Phys. Soc. Jpn. 2010, 79, 074401. [Google Scholar] [CrossRef]
- De Raedt, H.; Jin, F.; Michielsen, K. Event-based simulation of neutron interferometry experiments. Quantum Matter 2012, 1, 1–21. [Google Scholar] [CrossRef][Green Version]
- De Raedt, H.; Michielsen, K. Event-by-event simulation of quantum phenomena. Ann. Phys. 2012, 524, 393–410. [Google Scholar] [CrossRef]
- Michielsen, K.; De Raedt, H. Event-based simulation of quantum physics experiments. Int. J. Mod. Phys. C 2014, 25, 01430003. [Google Scholar] [CrossRef]
- Donker, H.C.; De Raedt, H.; Michielsen, K. Event-by-event simulation of a quantum delayed-choice experiment. Comp. Phys. Commun. 2014, 185, 3109–3118. [Google Scholar] [CrossRef]
- De Raedt, H.; Michielsen, K. Discrete-event simulation of uncertainty in single-neutron experiments. Front. Phys. 2014, 2, 14.1–14.12. [Google Scholar] [CrossRef]
- De Raedt, H.; Michielsen, K.; Hess, K. The digital computer as a metaphor for the perfect laboratory experiment: Loophole-free Bell experiments. Comp. Phys. Commun. 2016, 209, 42–47. [Google Scholar] [CrossRef]
- Willsch, M.; Willsch, D.; Michielsen, K.; De Raedt, H. Discrete-Event Simulation of Quantum Walks. Front. Phys. 2020, 8, 145. [Google Scholar] [CrossRef]
- De Raedt, H.; Jattana, M.S.; Willsch, D.; Willsch, M.; Jin, F.; Michielsen, K. Discrete-event simulation of an extended Einstein-Podolsky-Rosen-Bohm experiment. Front. Phys. 2020, 8, 160. [Google Scholar] [CrossRef]
- De Raedt, H.; Katsnelson, M.I.; Michielsen, K. Quantum theory as the most robust description of reproducible experiments. Ann. Phys. 2014, 347, 45–73. [Google Scholar] [CrossRef][Green Version]
- Patil, S.H. Quantum mechanical description of the Stern-Gerlach experiment. Eur. J. Phys. 1998, 19, 25–30. [Google Scholar] [CrossRef]
- Tal-Ezer, H.; Kosloff, R. An accurate and efficient scheme for propagating the time-dependent Schrödinger equation. J. Chem. Phys. 1984, 81, 3967–3971. [Google Scholar] [CrossRef]
- De Raedt, H.; Michielsen, K.; Kole, J.S.; Figge, M.T. One-step finite-difference time-domain algorithm to solve the Maxwell equations. Phys. Rev. E 2003, 67, 056706. [Google Scholar] [CrossRef]
- De Raedt, H. Product formula algorithms for solving the time-dependent Schrödinger equation. Comp. Phys. Rep. 1987, 7, 1–72. [Google Scholar] [CrossRef]











| Experiment | ??? | two spots (Figure 2) |
| Newton | circular (Figure 3f) | one stripe (Figure 3a) |
| Quantum theory | circular (Figure 8f) | two spots (Figure 8a) |
| Event-by-event | circular (Figure 11f) | two spots (Figure 11a) |
Publisher’s Note: MDPI stays neutral with regard to jurisdictional claims in published maps and institutional affiliations. |
© 2022 by the authors. Licensee MDPI, Basel, Switzerland. This article is an open access article distributed under the terms and conditions of the Creative Commons Attribution (CC BY) license (https://creativecommons.org/licenses/by/4.0/).
Share and Cite
De Raedt, H.; Jin, F.; Michielsen, K. Classical, Quantum and Event-by-Event Simulation of a Stern–Gerlach Experiment with Neutrons. Entropy 2022, 24, 1143. https://doi.org/10.3390/e24081143
De Raedt H, Jin F, Michielsen K. Classical, Quantum and Event-by-Event Simulation of a Stern–Gerlach Experiment with Neutrons. Entropy. 2022; 24(8):1143. https://doi.org/10.3390/e24081143
Chicago/Turabian StyleDe Raedt, Hans, Fengping Jin, and Kristel Michielsen. 2022. "Classical, Quantum and Event-by-Event Simulation of a Stern–Gerlach Experiment with Neutrons" Entropy 24, no. 8: 1143. https://doi.org/10.3390/e24081143
APA StyleDe Raedt, H., Jin, F., & Michielsen, K. (2022). Classical, Quantum and Event-by-Event Simulation of a Stern–Gerlach Experiment with Neutrons. Entropy, 24(8), 1143. https://doi.org/10.3390/e24081143

