Structural Smoothing Low-Rank Matrix Restoration Based on Sparse Coding and Dual-Weighted Model
Abstract
:1. Introduction
2. Related Work
2.1. Low-Rank Regularized Group Sparse Coding
2.2. Dual-Weighted Low-Rank Matrix Recovery
3. Formulation of the Proposed Method
4. The Proposed Solution
4.1. Sub-Problem
4.2. Sub-Problem
4.3. Sub-Problem
4.4. Sub-Problem
4.5. Sub-Problem
4.6. and Sub-Problems
| Algorithm 1 Smoothed and Dual-Weighted Low-Rank Group Sparse Coding (SDWLR-GSC). |
Require: The degraded image (assuming ); Output: The final restored image ; 1: Initialization: , , ; 2: Set parameters b, m, , , , and Max-Iter; 3: for to Max-Iter do 4: Iterative regularization 5: Divide into a set of overlapping patches with size 6: for each patch in do 7: Find non-local similar patches to form a group 8: Construct dictionary by using PCA 9: Update by computing 10: Perform 11: Estimate by computing Equation (18). 12: Estimate by computing Equation (16). 13: Update by computing 14: Use Algorithm 2 to to estimate 15: end for 16: Aggregate to form the clean image 17: end for |
| Algorithm 2 Smoothed and Dual-Weighted Model for Image Denoising. |
Require: non-local similar patched group (assuming ); Output: solutions ; 1: Initialization: , , , , , ; 2: Set parameters , , , , and inneriter; 3: while and do 4: Let , , 5: Let using the FGP Algorithm [23] to compute 6: 7: 8: 9: 10: Update weights [27]: The weights for each and are updated by , . where and are predetermined positive constants, and the singular value matrix with 11: end while |
5. Results
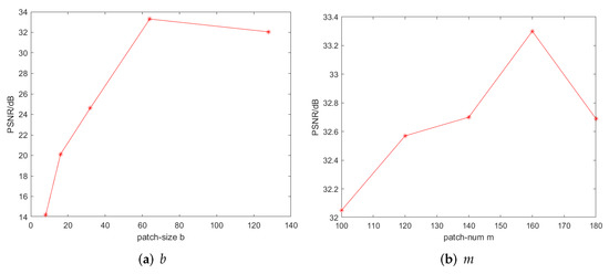
5.1. Parameter Setting
5.2. Large Sparse Additive Noise Removal
5.3. Salt and Pepper Noise Removal
6. Conclusions
Author Contributions
Funding
Institutional Review Board Statement
Informed Consent Statement
Data Availability Statement
Acknowledgments
Conflicts of Interest
References
- Elad, M.; Elad, M. Sparse and Redundant Representations: From Theory to Applications in Signal and Image Processing; Springer: New York, NY, USA, 2010. [Google Scholar]
- Wright, J.; Yi, M.; Mairal, J.; Sapiro, G.; Huang, T.S.; Yan, S. Sparse representation for computer vision and pattern recognition. Proc. IEEE 2010, 98, 1031–1044. [Google Scholar] [CrossRef] [Green Version]
- Elad, M.; Figueiredo, M.A.; Ma, Y. On the role of sparse and redundant representations in image processing. Proc. IEEE 2010, 98, 972–982. [Google Scholar] [CrossRef]
- Xu, J.; Lei, Z.; Zuo, W.; Zhang, D. Patch group based nonlocal self-similarity prior learning for image denoising. In Proceedings of the 2015 IEEE International Conference on Computer Vision (ICCV), Santiago, Chile, 7–13 December 2015; pp. 244–252. [Google Scholar]
- Jolliffe, I.T. Principal component analysis. J. Mark. Res. 2002, 87, 513. [Google Scholar]
- Aharon, M.; Elad, M.; Bruckstein, A. rmK-SVD: An Algorithm for Designing Overcomplete Dictionaries for Sparse Representation. IEEE Trans. Signal Process. 2006, 54, 4311–4322. [Google Scholar] [CrossRef]
- Rubinstein, R.; Zibulevsky, M.; Elad, M. Double sparsity: Learning sparse dictionaries for sparse signal approximation. IEEE Trans. Signal Process. 2010, 58, 1553–1564. [Google Scholar] [CrossRef]
- Mairal, J.; Bach, F.; Ponce, J.; Sapiro, G.; Zisserman, A. Non-local sparse models for image restoration. In Proceedings of the 2009 IEEE 12th International Conference on Computer Vision (ICCV), Kyoto, Japan, 27 September–4 October 2009. [Google Scholar]
- Zhang, J.; Zhao, D.; Gao, W. Group-based sparse representation for image restoration. IEEE Trans. Image Process. Publ. IEEE Signal Process. Soc. 2014, 23, 3336. [Google Scholar] [CrossRef] [Green Version]
- Dong, W.; Shi, G.; Ma, Y.; Li, X. Image restoration via simultaneous sparse coding: Where structured sparsity meets gaussian scale mixture. Int. J. Comput. Vis. 2015, 114, 217–232. [Google Scholar] [CrossRef]
- Wang, Q.; Zhang, X.; Wu, Y.; Tang, L.; Zha, Z. Non-convex weighted lp minimization based group sparse representation framework for image denoising. IEEE Signal Process. Lett. 2017, 24, 1686–1690. [Google Scholar] [CrossRef]
- Liu, J.; Yang, W.; Zhang, X.; Guo, Z. Retrieval compensated group structured sparsity for image super-resolution. IEEE Trans. Multimed. 2016, 19, 302–316. [Google Scholar] [CrossRef]
- Yu, H.; Gao, L.; Liao, W.; Zhang, B.; Zhuang, L.; Song, M.; Chanussot, J. Global spatial and local spectral similarity-based manifold learning group sparse representation for hyperspectral imagery classification. IEEE Trans. Geosci. Remote. Sens. 2020, 58, 3043–3056. [Google Scholar] [CrossRef]
- Xu, J.; Qiao, Y.; Fu, Z.; Wen, Q. Image block compressive sensing reconstruction via group-based sparse representation and nonlocal total variation. Circuits Syst. Signal Process. 2019, 38, 304–328. [Google Scholar] [CrossRef]
- Zha, Z.; Wen, B.; Yuan, X.; Zhou, J.; Zhu, C. Reconciliation Of Group Sparsity And Low-Rank Models For Image Restoration. In Proceedings of the 2020 IEEE International Conference on Multimedia and Expo (ICME), London, UK, 6–10 July 2020. [Google Scholar]
- Wright, J.; Ganesh, A.; Rao, S.; Ma, Y. Robust principal component analysis: Exact recovery of corrupted low-rank matrices. In NIPS’09: Proceedings of the 22nd International Conference on Neural Information Processing Systems Red Hook, NY, USA, 7–9 December 2009; Curran Associates Inc.: Red Hook, NY, USA, 2009; pp. 2080–2088. [Google Scholar]
- Candès, E.J.; Plan, Y. Matrix completion with noise. Proc. IEEE 2010, 98, 925–936. [Google Scholar]
- Candès, E.J.; Wakin, M.B.; Boyd, S.P. Enhancing sparsity by reweighted l1 minimization. J. Fourier Anal. Appl. 2008, 14, 877–905. [Google Scholar]
- Gu, S.; Lei, Z.; Zuo, W.; Feng, X. Weighted Nuclear Norm Minimization with Application to Image Denoising. In Proceedings of the 2014 IEEE Conference on Computer Vision and Pattern Recognition (CVPR), Columbus, OH, USA, 23–28 June 2014; pp. 2862–2869. [Google Scholar]
- Gu, S.; Xie, Q.; Meng, D.; Zuo, W.; Feng, X.; Zhang, L. Weighted nuclear norm minimization and its applications to low level vision. Int. J. Comput. Vis. 2017, 121, 183–208. [Google Scholar] [CrossRef]
- Peng, Y.; Suo, J.; Dai, Q.; Xu, W. Reweighted low-rank matrix recovery and its application in image restoration. IEEE Trans. Cybern. 2014, 44, 2418–2430. [Google Scholar] [CrossRef]
- Candes, E.J.; Li, X.; Ma, Y.; Wright, J.A. Robust principal component analysis? J. ACM 2011, 58, 1–37. [Google Scholar] [CrossRef]
- Beck, A.; Teboulle, M. Fast gradient-based algorithms for constrained total variation image denoising and deblurring problems. IEEE Trans. Image Process. 2009, 18, 2419–2434. [Google Scholar] [CrossRef] [Green Version]
- Rudin, L.I.; Osher, S.; Fatemi, E. Nonlinear total variation based noise removal algorithms. Phys. D Nonlinear Phenom. 1992, 60, 259–268. [Google Scholar] [CrossRef]
- Donoho, D.L. De-noising by soft-thresholding. IEEE Trans. Inf. Theory 2002, 41, 613–627. [Google Scholar] [CrossRef] [Green Version]
- Dong, W.; Lei, Z.; Shi, G. Nonlocally centralized sparse representation for image restoration. IEEE Trans. Image Process. Publ. IEEE Signal Process. Soc. 2013, 22, 1620–1630. [Google Scholar] [CrossRef] [Green Version]
- Wang, Z.; Bovik, A.C.; Sheikh, H.R.; Simoncelli, E.P. Image quality assessment: From error visibility to structural similarity. IEEE Trans. Image Process. 2014, 13, 600–612. [Google Scholar] [CrossRef] [Green Version]
- Ni, Z.; Shi, Y.Q.; Ansari, N.; Wei, S. Reversible data hiding. IEEE Trans. Circuits Syst. Video Technol. 2006, 16, 354–362. [Google Scholar]
- Wang, H.; Cen, Y.; He, Z.; He, Z.; Zhao, R.; Zhang, F. Reweighted low-rank matrix analysis with structural smoothness for image denoising. IEEE Trans. Image Process. 2018, 27, 1777–1792. [Google Scholar] [CrossRef] [PubMed]
- Lin, Z.; Chen, M.; Ma, Y. The augmented lagrange multiplier method for exact recovery of corrupted low-rank matrices. arXiv 2010, arXiv:1009.5055. [Google Scholar]
- Yue, D.; Dai, Q.; Liu, R.; Zhang, Z.; Hu, S. Low-rank structure learning via nonconvex heuristic recovery. IEEE Trans. Neural Netw. Learn. Syst. 2013, 24, 383–396. [Google Scholar]
- Xie, Y.; Qu, Y.; Tao, D.; Wu, W.; Yuan, Q.; Zhang, W. Hyperspectral image restoration via iteratively regularized weighted schatten p-norm minimization. IEEE Trans. Geosci. Remote. Sens. 2016, 54, 4642–4659. [Google Scholar] [CrossRef]
- Chen, G.; Wang, J.; Zhang, F.; Wang, W. Image denoising in impulsive noise via weighted schatten p-norm regularization. IEEE Trans. Image Process. 2019, 28, 1. [Google Scholar] [CrossRef]
- Dong, H.; Yu, J.; Xiao, C. Dual reweighted lp-norm minimization for salt-and-pepper noise removal. arXiv 2018, arXiv:1811.09173. [Google Scholar]








| p Value | Image | PSNR (dB) | |||||
|---|---|---|---|---|---|---|---|
| LR-GSC | PCP | Reweight | NSVT | SRLRMR | SDWLR-GSC (Ours) | ||
| p = 0.2 | Lena | 12.25 | 26.75 | 23.84 | 32.15 | 32.47 | 36.76 |
| Barbara | 11.74 | 24.23 | 22.33 | 26.28 | 26.36 | 34.56 | |
| Goldhill | 11.56 | 28.41 | 26.75 | 31.99 | 33.71 | 34.48 | |
| Frame | 9.63 | 25.90 | 22.79 | 28.10 | 29.64 | 30.95 | |
| Road | 10.01 | 29.77 | 26.43 | 34.63 | 34.88 | 34.50 | |
| Bridge | 10.17 | 29.98 | 27.96 | 34.01 | 33.73 | 34.69 | |
| Couple | 12.19 | 25.71 | 23.49 | 28.78 | 29.31 | 31.18 | |
| Monkey | 12.67 | 21.72 | 20.43 | 22.12 | 23.71 | 25.48 | |
| Boat | 12.86 | 25.22 | 23.01 | 27.65 | 28.35 | 32.23 | |
| Average | 11.45 | 26.41 | 24.11 | 29.52 | 30.24 | 32.76 | |
| p = 0.3 | Lena | 10.48 | 21.27 | 22.17 | 23.84 | 30.67 | 33.31 |
| Barbara | 9.97 | 19.10 | 20.85 | 20.77 | 24.35 | 31.08 | |
| Goldhill | 9.80 | 23.00 | 25.42 | 25.56 | 31.15 | 31.91 | |
| Frame | 7.86 | 22.52 | 23.04 | 26.61 | 27.36 | 29.31 | |
| Road | 8.24 | 25.20 | 26.69 | 28.73 | 33.31 | 33.18 | |
| Bridge | 8.41 | 27.29 | 26.57 | 30.57 | 33.01 | 33.09 | |
| Couple | 10.44 | 20.92 | 22.01 | 22.93 | 27.60 | 28.18 | |
| Monkey | 10.91 | 18.09 | 19.21 | 18.12 | 21.90 | 22.93 | |
| Boat | 11.12 | 21.25 | 21.62 | 22.01 | 27.66 | 28.74 | |
| Average | 9.69 | 22.07 | 23.06 | 24.35 | 28.56 | 30.19 | |
| p = 0.4 | Lena | 9.22 | 13.18 | 16.53 | 13.57 | 20.53 | 27.44 |
| Barbara | 8.71 | 12.25 | 15.10 | 12.50 | 17.88 | 24.43 | |
| Goldhill | 8.54 | 13.04 | 19.39 | 13.80 | 21.66 | 27.48 | |
| Frame | 7.61 | 12.32 | 19.61 | 15.69 | 22.58 | 26.26 | |
| Road | 6.98 | 11.39 | 18.65 | 13.21 | 20.04 | 29.87 | |
| Bridge | 7.14 | 13.94 | 24.49 | 18.04 | 28.12 | 32.15 | |
| Couple | 9.18 | 13.28 | 17.24 | 13.50 | 20.55 | 23.60 | |
| Monkey | 9.65 | 12.65 | 15.00 | 12.06 | 17.07 | 18.68 | |
| Boat | 9.86 | 13.82 | 17.03 | 13.84 | 19.64 | 24.01 | |
| Average | 8.54 | 12.88 | 18.12 | 14.02 | 20.90 | 25.99 | |
| p Value | Image | PSNR (dB) | ||||||
|---|---|---|---|---|---|---|---|---|
| LR-GSC | PCP | WNNM-RPCA | WSNM-RPCA | WSNM-L1 | DWLP | SDWLR-GS (Ours) | ||
| p = 0.2 | Couple | 12.60 | 26.34 | 26.03 | 26.29 | 25.08 | 31.57 | 31.73 |
| Elaine | 12.58 | 30.35 | 30.24 | 30.48 | 28.64 | 36.38 | 42.21 | |
| Flower | 12.64 | 27.94 | 27.46 | 27.67 | 26.59 | 31.78 | 41.30 | |
| Goldhill | 12.46 | 28.64 | 28.00 | 28.16 | 26.79 | 32.97 | 34.09 | |
| House | 12.56 | 30.29 | 31.37 | 31.43 | 29.84 | 37.19 | 46.21 | |
| Lin | 12.01 | 29.61 | 29.51 | 29.54 | 26.72 | 33.04 | 38.52 | |
| Monarch | 12.15 | 24.51 | 26.38 | 26.55 | 25.16 | 29.53 | 41.30 | |
| Pentagon | 12.72 | 25.84 | 25.51 | 25.66 | 24.29 | 31.20 | 31.83 | |
| Tank | 12.91 | 31.67 | 30.12 | 30.23 | 29.49 | 35.92 | 34.57 | |
| Average | 12.51 | 28.35 | 28.29 | 28.45 | 26.96 | 32.29 | 37.97 | |
| p = 0.3 | Couple | 10.88 | 24.50 | 24.41 | 24.64 | 23.91 | 28.77 | 29.68 |
| Elaine | 10.80 | 28.42 | 28.44 | 28.65 | 27.15 | 33.46 | 38.77 | |
| Flower | 10.91 | 27.11 | 26.28 | 26.43 | 25.38 | 29.29 | 36.25 | |
| Goldhill | 10.71 | 27.43 | 26.56 | 28.16 | 25.63 | 30.30 | 31.65 | |
| House | 10.76 | 28.88 | 29.51 | 29.77 | 28.15 | 33.89 | 38.08 | |
| Lin | 10.29 | 27.22 | 27.80 | 27.93 | 26.18 | 30.58 | 36.03 | |
| Monarch | 10.40 | 22.84 | 24.27 | 24.47 | 23.61 | 26.39 | 36.82 | |
| Pentagon | 10.95 | 24.15 | 23.97 | 24.18 | 23.16 | 28.93 | 29.45 | |
| Tank | 11.14 | 30.05 | 29.57 | 29.64 | 28.57 | 33.21 | 32.73 | |
| Average | 10.76 | 26.73 | 26.76 | 27.10 | 25.75 | 30.54 | 34.97 | |
| p = 0.4 | Couple | 9.60 | 23.43 | 23.77 | 23.81 | 22.62 | 26.57 | 28.35 |
| Elaine | 9.55 | 25.54 | 26.60 | 27.03 | 25.18 | 30.71 | 35.94 | |
| Flower | 9.64 | 25.78 | 25.68 | 25.60 | 24.23 | 28.03 | 33.43 | |
| Goldhill | 9.44 | 24.79 | 25.40 | 25.92 | 24.12 | 28.68 | 30.22 | |
| House | 9.52 | 24.83 | 27.90 | 27.92 | 25.97 | 31.04 | 34.60 | |
| Lin | 9.02 | 25.43 | 26.11 | 26.15 | 23.71 | 27.23 | 33.97 | |
| Monarch | 9.14 | 21.34 | 22.98 | 23.22 | 22.22 | 24.32 | 34.42 | |
| Pentagon | 9.73 | 22.34 | 23.04 | 22.96 | 21.95 | 26.13 | 27.97 | |
| Tank | 9.90 | 27.57 | 29.12 | 29.19 | 27.29 | 31.94 | 31.70 | |
| Average | 9.50 | 24.56 | 25.62 | 25.76 | 24.14 | 28.29 | 32.29 | |
Publisher’s Note: MDPI stays neutral with regard to jurisdictional claims in published maps and institutional affiliations. |
© 2022 by the authors. Licensee MDPI, Basel, Switzerland. This article is an open access article distributed under the terms and conditions of the Creative Commons Attribution (CC BY) license (https://creativecommons.org/licenses/by/4.0/).
Share and Cite
Wu, J.; Wang, H. Structural Smoothing Low-Rank Matrix Restoration Based on Sparse Coding and Dual-Weighted Model. Entropy 2022, 24, 946. https://doi.org/10.3390/e24070946
Wu J, Wang H. Structural Smoothing Low-Rank Matrix Restoration Based on Sparse Coding and Dual-Weighted Model. Entropy. 2022; 24(7):946. https://doi.org/10.3390/e24070946
Chicago/Turabian StyleWu, Jiawei, and Hengyou Wang. 2022. "Structural Smoothing Low-Rank Matrix Restoration Based on Sparse Coding and Dual-Weighted Model" Entropy 24, no. 7: 946. https://doi.org/10.3390/e24070946
APA StyleWu, J., & Wang, H. (2022). Structural Smoothing Low-Rank Matrix Restoration Based on Sparse Coding and Dual-Weighted Model. Entropy, 24(7), 946. https://doi.org/10.3390/e24070946

