Modeling Long-Range Dynamic Correlations of Words in Written Texts with Hawkes Processes
Abstract
1. Introduction
- Important words which play central roles in describing some notions or ideas in texts are all classified into Type-I words [7,14]. This is because every important word appears in texts with a “burst” nature; once an important word appears in a considered text, then it appears again and again for the duration in which the notion or the idea is described. Thus, the “burst” nature brings dynamic correlations in the occurrence patterns and consequently the word becomes Type-I. The “burst” nature of word occurrences reminds us of the fact that once an earthquake occurs, earthquakes occur more frequently for a short period of time. The Hawkes process can adequately treat such “burst” phenomena because it has a built-in property of self-excitability.
- Type-I words often show long durations of dynamic correlations ranging from several tens to several hundreds of sentences [7,14,15]. These durations correspond to lengths of sentences in which some notion/idea that deeply related with a considered word are described. The Hawkes process is expected to be able to reproduce such long-range dynamic correlations because of its self-excitability.
2. Methodology
- From the occurrence patterns of Type-I words in real written texts, we calculate autocorrelation functions (ACFs) to characterize dynamic correlations of these words. Details are given in Section 2.1.
- We optimize a Hawkes process so that it can express the stochastic process of yielding observed occurrence patterns of a considered word. For the optimization, we utilize a log-likelihood function of the Hawkes process, and maximize the function by optimizing parameters of the process, given the observed word occurrence signals. Then, the Hawkes process, having the kernel function with the optimized values of parameters, is considered to be the best way to express the observed word occurrence signal of the considered word in the sense of maximum likelihood estimation (MLE). A detailed description is given in Section 2.2.
- We generate word occurrence signals of the considered word from the optimized Hawkes process. This is achieved by standard simulation procedures of point processes [28]. The simulated word occurrence signals are then used to calculate ACFs. The ACFs of the simulated signals are compared with the ACFs obtained in step 1 to validate the optimized Hawkes process. Section 2.3 explains the procedure in detail.
2.1. Model Functions of ACFs for Type-I and Type-II Words
2.2. Log-Likelihood Function of Hawkes Process
2.3. Simulating Word Occurrence Events from Hawkes Process
3. Results
3.1. MLE of Hawkes Process
3.2. Results of Simulations for All Type-I Words
- The correlation coefficients of the number of occurrences (plot (a)) show strong positive correlations in most texts. This fact indicates that actual and simulated share same statistical properties.
- The correlation coefficients of (plot (e)) and those of BIC (plot (f)) also show strong positive correlations. This indicates that ACFs of real and those of simulated are very similar in overall behaviors.
4. Discussion
- First, we construct an intensity function of word occurrence along a text, , which describes the occurrence probability of a considered word at time . The construction is done in a recursive way in which the hierarchical structure of written texts is considered. Note that represents word occurrence probability per unit time at time , and thus it corresponds to of Hawkes processes.
- A Monte Carlo simulation is performed by use of to generate a word occurrence signal .
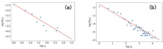
- Waiting times , which denote a time between two successive word occurrences, and their distribution are calculated from the .
- The resultant log-log plot of vs. shows a linear relationship, indicating that the WTD has a fractal structure.
5. Conclusions
Author Contributions
Funding
Data Availability Statement
Acknowledgments
Conflicts of Interest
References
- Pawlowski, A. Time-Series Analysis in Linguistics. Application of the Arima Method to Some Cases of Spoken Polish. J. Quant. Linguist. 1997, 4, 203–221. [Google Scholar] [CrossRef]
- Pawlowski, A. Language in the Line vs. Language in the Mass: On the Efficiency of Sequential Modelling in the Analysis of Rhythm. J. Quant. Linguist. 1999, 6, 70–77. [Google Scholar] [CrossRef]
- Pawlowski, A. Modelling of Sequential Structures in Text. In Handbooks of Linguistics and Communication Science; Walter de Gruyter: Berlin, Germany, 2005; pp. 738–750. [Google Scholar]
- Pawlowski, A.; Eder, M. Sequential Structures in “Dalimil’s Chronicle”; Mikros, G.K., Macutek, J., Eds.; Walter de Gruyter: Berlin, Germany, 2015; pp. 147–170. [Google Scholar] [CrossRef]
- Altmann, E.G.; Pierrehumbert, J.B.; Motter, A.E. Beyond word frequency: Bursts, lulls, and scaling in the temporal distributions of words. PLoS ONE 2009, 4, e7678. [Google Scholar] [CrossRef] [PubMed]
- Tanaka-Ishii, K.; Bunde, A. Long-range memory in literary texts: On the universal clustering of the rare words. PLoS ONE 2016, 11, e0164658. [Google Scholar] [CrossRef]
- Ogura, H.; Amano, H.; Kondo, M. Measuring Dynamic Correlations of Words in Written Texts with an Autocorrelation Function. J. Data Anal. Inf. Process 2019, 7, 46–73. [Google Scholar] [CrossRef]
- Schenkel, A.; Zhang, J.; Zhang, Y. Long range correlation in human writings. Fractals 1993, 1, 47–57. [Google Scholar] [CrossRef]
- Ebeling, W.; Pöschel, T. Entropy and long-range correlations in literary english. Europhys. Lett. 1994, 26, 241. [Google Scholar] [CrossRef]
- Montemurro, M.A.; Pury, P.A. Long-range fractal correlations in literary corpora. Fractals 2002, 10, 451–461. [Google Scholar] [CrossRef]
- Alvarez-Lacalle, E.; Dorow, B.; Eckmann, J.P.; Moses, E. Hierarchical structures induce long-range dynamic correlations in written texts. Proc. Natl. Acad. Sci. USA 2006, 103, 7956–7961. [Google Scholar] [CrossRef]
- Altmann, E.G.; Cristadoro, G.; Esposti, M.D. On the origin of long-range correlations in texts. Proc. Natl. Acad. Sci. USA 2012, 109, 11582–11587. [Google Scholar] [CrossRef]
- Chatzigeorgiou, M.; Constantoudis, V.; Diakonos, F.; Karamanos, K.; Papadimitriou, C.; Kalimeri, M.; Papageorgiou, H. Multifractal correlations in natural language written texts: Effects of language family and long word statistics. Physica. A 2017, 469, 173–182. [Google Scholar] [CrossRef]
- Ogura, H.; Amano, H.; Kondo, M. Origin of Dynamic Correlations of Words in Written Texts. J. Data Anal. Inf. Process. 2019, 7, 228–249. [Google Scholar] [CrossRef]
- Ogura, H.; Amano, H.; Kondo, M. Simulation of pseudo-text synthesis for generating words with long-range dynamic correlations. SN Appl. Sci. 2020, 2, 1387. [Google Scholar] [CrossRef]
- Ogura, H.; Hanada, Y.; Amano, H.; Kondo, M. A stochastic model of word occurrences in hierarchically structured written texts. SN Appl. Sci. 2022, 4, 77. [Google Scholar] [CrossRef]
- Hawkes, A.G. Spectra of Some Self-Exciting and Mutually Exciting Point Processes. Biometrika 1971, 58, 83–90. [Google Scholar] [CrossRef]
- Ogata, Y. Statistical models for earthquake occurrences and residual analysis for point processes. J. Amer. Statist. Assoc. 1988, 83, 9–27. [Google Scholar] [CrossRef]
- Ogata, Y. Seismicity analysis through point-process modeling: A review. Pure Appl. Geophys. 1999, 155, 471–507. [Google Scholar] [CrossRef]
- Zhuang, J.; Ogata, Y.; Vere-Jones, D. Stochastic declustering of space-time earthquake occurrences. J. Amer. Statist. Soc. 2002, 97, 369–380. [Google Scholar] [CrossRef]
- Truccolo, W.; Eden, U.T.; Fellows, M.R.; Donoghue, J.P.; Brown, E.N. A Point Process Framework for Relating Neural Spiking Activity to SpikingHistory, Neural Ensemble, and Extrinsic Covariate Effects. J. Neurophysiol. 2005, 93, 1074–1089. [Google Scholar] [CrossRef]
- Reynaud-Bouret, P.; Rivoirard, V.; Tuleau-Malot, C. Inference of functional connectivity in Neurosciences via Hawkes processes. In Proceedings of the 1st IEEE Global Conference on Signal and Information Processing, Austin, TX, USA, 3–5 December 2013. [Google Scholar] [CrossRef]
- Gerhard, F.; Deger, M.; Truccolo, W. On the stability and dynamics of stochastic spiking neuron models: Nonlinear Hawkes process and point process GLMs. PLoS Comput. Biol. 2017, 13, e1005390. [Google Scholar] [CrossRef]
- Bacry, E.; Mastromatteo, I.; Muzy, J. Hawkes Processes. Market. Microstruct. Liq. 2015, 1, 1550005. [Google Scholar] [CrossRef]
- Rizoiu, M.A.; Lee, Y.; Mishra, S.; Xie, L. A tutorial on hawkes processes for events in social media. arXiv 2017, arXiv:1708.06401. [Google Scholar] [CrossRef]
- Palmowski, Z.; Puchalska, D. Modeling social media contagion using Hawkes processes. J. Pol. Math. Soc. 2021, 49, 65–83. [Google Scholar] [CrossRef]
- Chiang, W.H.; Liu, X.; Mohler, G. Hawkes process modeling of COVID-19 with mobility leading indicators and spatial covariates. Int. J. Forecast. 2022, 38, 505–520. [Google Scholar] [CrossRef] [PubMed]
- Ogata, Y. On Lewis’ simulation method for point processes. IEEE Trans. Inf. Theory 1981, 27, 23–31. [Google Scholar] [CrossRef]
- Laub, P.J.; Taimre, T.; Pollett, P.K. Hawkes Processes. arXiv 2015, arXiv:1507.02822. [Google Scholar] [CrossRef]
- Omi, T.; Hirata, Y.; Aihara, K. Hawkes process model with a time-dependent background rate and its application to high-frequency financial data. Phys. Rev. E 2017, 96, 012303. [Google Scholar] [CrossRef]
- Bonnans, J.F.; Gilbert, J.G.; Lemaréchal, C.; Sagastizábal, C.A. Numerical Optimization―Theoretical and Practical Aspects, 2nd ed.; Springer: Berlin/Heidelberg, Germany, 2003; Chapter 4. [Google Scholar] [CrossRef]
- Ogura, H.; Amano, H.; Kondo, M. Classifying Documents with Poisson Mixtures. Trans. Mach. Learn. Arti. Intell. 2014, 2, 48–76. [Google Scholar] [CrossRef][Green Version]
- Shlesinger, M.F. Fractal time and 1/f noise in complex systems. Ann. N. Y. Acad. Sci. 1987, 504, 214–228. [Google Scholar] [CrossRef]
- Klafter, J.; Shlesinger, M.F.; Zumofen, G. Beyond Brownian motion. Phys. Today 1996, 49, 33–39. [Google Scholar] [CrossRef]
- Wolfgang, P.; Baschnagel, J. Stochastic Processes, 2nd ed.; Springer: Berlin/Heidelberg, Germany, 2013; Chapter 4. [Google Scholar]
- Scafetta, N.; Hamilton, P.; Grigolini, P. The thermodynamics of social processes: The Teen Birth Phenomenon. Fractals 2001, 9, 193–208. [Google Scholar] [CrossRef]
- Mega, M.S.; Allegrini, P.; Grigolini, P.; Latora, V.; Palatella, L.; Rapisarda, A.; Vinciguerra, S. Power-law time distribution of large earthquakes. Phys. Rev. Lett. 2003, 90, 188501. [Google Scholar] [CrossRef] [PubMed]
- Samorodnitsky, G. Long range dependence. Found. Trends Stoch. Syst. 2006, 1, 163–257. [Google Scholar] [CrossRef]
- Decreusefond, L.; Üstünel, A.S. Fractional Brownian motion: Theory X(t) and applications. ESAIM Proc. 1998, 5, 75–86. [Google Scholar] [CrossRef]
- Shevchenko, G. Fractional Brownian motion in a nutshell. arXiv 2014, arXiv:1406.1956. [Google Scholar] [CrossRef]














| Short Name | Title | Author | Vocabulary Size | Length in Sentences | Number of Type-I Words |
|---|---|---|---|---|---|
| Darwin | On the Origin of Species | Charles Darwin | 5728 | 4036 | 124 |
| Einstein | Relativity: The Special and General Theory | Albert Einstein | 2222 | 1107 | 20 |
| Freud | Dream Psychology | Sigmund Freud | 4520 | 1977 | 18 |
| Kant | The Critique of Pure Reason | Immanuel Kant | 5157 | 5920 | 157 |
| Lavoisier | Elements of Chemistry | Antoine Lavoisier | 5558 | 3899 | 122 |
| Plato | The Republic | Plato | 5686 | 5268 | 49 |
| Smith | An Inquiry into the Nature and Causes of the Wealth of Nations | Adam Smith | 8399 | 11906 | 433 |
| Kernel Type | Parameters Vector | AIC | BIC |
|---|---|---|---|
| 540.9253578 | 546.7790890 | ||
| 541.3719225 | 549.1768974 |
| Number of Word Occurrences | Fitting Parameters in Equation (3) | BIC | |||
|---|---|---|---|---|---|
| observed signal in real written text | 155 | 1.00000 | 0.23825 | 1.64135 | −691.30057 |
| simulated signal from Hawkes process | 157 | 1.00000 | 0.27683 | 1.16607 | −680.82002 |
Publisher’s Note: MDPI stays neutral with regard to jurisdictional claims in published maps and institutional affiliations. |
© 2022 by the authors. Licensee MDPI, Basel, Switzerland. This article is an open access article distributed under the terms and conditions of the Creative Commons Attribution (CC BY) license (https://creativecommons.org/licenses/by/4.0/).
Share and Cite
Ogura, H.; Hanada, Y.; Amano, H.; Kondo, M. Modeling Long-Range Dynamic Correlations of Words in Written Texts with Hawkes Processes. Entropy 2022, 24, 858. https://doi.org/10.3390/e24070858
Ogura H, Hanada Y, Amano H, Kondo M. Modeling Long-Range Dynamic Correlations of Words in Written Texts with Hawkes Processes. Entropy. 2022; 24(7):858. https://doi.org/10.3390/e24070858
Chicago/Turabian StyleOgura, Hiroshi, Yasutaka Hanada, Hiromi Amano, and Masato Kondo. 2022. "Modeling Long-Range Dynamic Correlations of Words in Written Texts with Hawkes Processes" Entropy 24, no. 7: 858. https://doi.org/10.3390/e24070858
APA StyleOgura, H., Hanada, Y., Amano, H., & Kondo, M. (2022). Modeling Long-Range Dynamic Correlations of Words in Written Texts with Hawkes Processes. Entropy, 24(7), 858. https://doi.org/10.3390/e24070858
