Abstract
Remotely sensed data are essential for understanding environmental dynamics, for their forecasting, and for early detection of disasters. Microwave remote sensing sensors complement the information provided by observations in the optical spectrum, with the advantage of being less sensitive to adverse atmospherical conditions and of carrying their own source of illumination. On the one hand, new generations and constellations of Synthetic Aperture Radar (SAR) sensors provide images with high spatial and temporal resolution and excellent coverage. On the other hand, SAR images suffer from speckle noise and need specific models and information extraction techniques. In this sense, the family of distributions is a suitable model for SAR intensity data because it describes well areas with different degrees of texture. Information theory has gained a place in signal and image processing for parameter estimation and feature extraction. Entropy stands out as one of the most expressive features in this realm. We evaluate the performance of several parametric and non-parametric Shannon entropy estimators as input for supervised and unsupervised classification algorithms. We also propose a methodology for fine-tuning non-parametric entropy estimators. Finally, we apply these techniques to actual data.
1. Introduction
Images obtained with coherent illumination systems, such as Synthetic Aperture Radar (SAR), are contaminated by speckle. This noise-like interference phenomenon corrupts the image in a non-Gaussian and non-additive manner, making difficult its processing and visual interpretation.
Against this backdrop, statistical procedures are essential tools for processing SAR data. A suitable model to describe this sort of image is fundamental to obtain features that promote a good analysis. In this sense, the family of distributions [] has been extensively used to model SAR data because of its analytical simplicity and ability to describe a wide variety of roughness targets.
The application of machine and deep learning techniques to the problem of classification, segmentation and detection of objects in SAR images became more popular in recent times. Palacio et al. [] used machine learning techniques in combination with filters to perform classification in PolSAR images. Baek and Jung [] carried out a comparison between three different machine learning techniques to classify single- and dual-pol SAR image showing that the deep neural network presented the best performance.
Different authors used methods based on transfer learning techniques to classify SAR images. These methods aim to solve the problem of having limited labeled area information to train deep convolutional neural networks (CNN). Kang and He [] applied this technique using a CNN trained on a CIFAR-10 dataset to extract a mid-level representation. They showed that this technique is adequate to solve the problem of the limited amount of labeled SAR data, by comparing the results obtained with a CNN without using this technique and combining a Support Vector Machine (SVM) with a Gabor filter or with gray level co-occurrence matrices. Lu and Li [] implemented this methodology using several popular pre-trained models and proposed a new method of data augmentation. They also made a comparison with some related works and showed that their proposed method outperformed the others. Huang et al. [] proposed to transfer the knowledge obtained from a large number of unlabeled SAR images by incorporating a reconstruction path with stacked convolutional autoencoders in the network architecture. Their proposal was competitive for the MTSAR dataset using all training samples, and had the best performance when the training dataset has a small size.
Transfer learning was also implemented by Rostami et al. []. They proposed to transfer the knowledge from the electro-optical domain to SAR by learning a shared embedding space, and they showed that their approach is effective when applied to a ship classification problem. Huang et al. [] proposed another deep transfer learning method to solve the land cover classification problem with highly unbalanced classes, geographic diversity and noisy labels. They showed that the proposed model, which uses cross-entropy, can be generalized and can be applied to others SAR domains.
Several approaches have been developed in order to obtain expressive and tractable features from SAR data. In particular, entropy measures have been widely used for this purpose. Parameter estimation [], classification [], procedures for constructing confidence interval and contrast measures [,], edge detection [], and noise reduction filters [] are among their applications.
Sundry authors have tackled the segmentation and classification SAR images problem using information theory measures. Nobre et al. [] used Rényi’s entropy for monopolarized SAR image segmentation. Ferreira and Nascimento [] derived a closed-form expression for the Shannon entropy based on the law for intensity data and proposed a new entropy-based segmentation method. Carvalho et al. [] employed stochastic distances to approach unsupervised classification applied to Polarimetric Synthetic Aperture Radar (PolSAR) images. Shannon entropy has been applied to analyzed SAR imagery in several approaches, from inference [] to classification []. Therefore, its estimation deserves attention.
The parametric expression of the Shannon entropy for a system characterized by a continuous random variable is the following well-known expression:
where f is the probability density function that characterizes the distribution of the real-valued random variable Z. Several procedures can be applied to obtain an estimate of given a random sample .
The most direct family of estimators of given consists of obtaining estimators for , the parameter that indexes the distribution of Z, say , and using them in (1). This approach yields the families of maximum likelihood, moments, and robust estimators, to name a few. This is the “parametric approach”.
“Non-parametric” approaches do not use as a proxy. Instead, they rely on the equivalent expression for the Shannon entropy given by
where F is the cumulative distribution function that also characterizes the distribution of the random variable []. Such alternative approaches compute estimates of F in Equation (2) from the observed sample. Vasicek [] replaced the distribution function F by the empirical distribution function and used a difference operator in place of the differential operator. van Es [] studied an entropy estimator based on differences between order statistics. Correa [] proposed a new entropy estimator determined from local linear regression. Al-Omari [] and Noughabi and Noughabi [] presented modified versions of the estimator introduced by Ebrahimi et al. [].
It is important to mention that these estimators have been studied in different contexts. Maurizi [] studied the works by Vasicek [] and van Es [] to estimate the entropy when the random variable has support . Noughabi and Park [] considered them to propose goodness of fit tests for the Laplace distribution. Suk-Bok et al. [] assessed the proposal by [] to estimate for a double exponential function in the framework of multiple type-II censored sampling. More recently, Al-Labadi et al. [] considered these estimators to propose a new Bayesian non-parametric estimation to entropy. Additionally, Lopes and Machado [] considered Ref. [] as a reference in the review of other entropy estimators.
In this paper, we study the performance of parametric and non-parametric estimators of the entropy in the context of supervised and unsupervised classification. In the parametric case, we use the relationship between the and Fisher distributions to obtain an expression of the entropy. In the non-parametric case, we assess these estimators in terms of bias, mean square error, computational time, and accuracy.
2. Materials and Methods
2.1. The Model
The multiplicative model defines the return Z in a monopolarized SAR image as the product of two independent random variables: one corresponding to the backscatter X, and the other to the speckle noise Y. In this manner, represents the return in each pixel of the image.
The distribution is an attractive model for Z because of its flexibility to adequately model areas with all types of roughness [,]. For intensity SAR data, this family arises from considering the speckle noise Y modeled as a distributed random variable with unitary mean and the shape parameter , the number of looks. We also assume that the backscatter X obeys a reciprocal gamma law. Thus, the density function for intensity data is given by
where and . The r-order moment is
provided , and infinite otherwise.
Mejail et al. [] proved a relationship between the distribution and the Fisher–Snedekor F law, which states that the cumulative distribution function for the return Z is
for every , where is the cumulative distribution function of a Fisher–Snedekor random variable with and degrees of freedom. This connection is helpful to obtain a closed formula for the entropy.
2.2. Shannon Entropy
Shannon’s contribution to the creation of what is known as information theory is well known. Shannon [] proposed a new way of measuring the transmission of information through a channel, thinking of information as a statistical concept. The entropy of the distribution can be obtained using (4). Denote as the entropy under the Fisher–Snedekor model; then the entropy for intensity data is
Using (5), the expression of is
where and B are the digamma and beta functions, respectively.
Figure 1 shows the theoretical entropy as a function of and with . It can be shown that for each fixed value, is an injective function. The same behavior repeats if we consider as a constant.

Figure 1.
as a function of and for .
2.3. Shannon Entropy Estimators
Several authors have proposed entropy estimators using (2). Most of them are based on order statistics of the sample. Al-Omari [] presented an overview of these estimators and also proposed a new one. From a parametric point of view, it is natural to consider the maximum likelihood estimator (ML) of the entropy ().
In what follows, we describe the entropy estimators studied in this paper.
2.3.1. Maximum Likelihood Entropy Estimator
Let be an independent random sample of size n from the distribution. Assume that L is known. The maximum likelihood estimator of for L is known and denoted as , which consists of the values in the parametric space , which maximize the reduced log-likelihood function:
Solving (7) requires numerical maximization routines that, under certain circumstances, do not converge []. We use the L-BFGS-B version of the Broyden–Fletcher–Goldfarb–Shannon (BFGS) method [] that allows box constraints. This algorithm belongs to the quasi-Newton methods family, not requiring the Hessian matrix but only the gradient. The optimal asymptotic properties of the ML estimator are well-known.
The ML entropy estimator [] is
This estimator inherits all of the good properties of ML estimators (consistency and asymptotic normality), but also their pitfalls: sensitivity to the initial value, lack of convergence due to flatness of (7), and lack of robustness. Convergence problems, which are more prevalent with small samples and with data from textureless areas, were identified by Frery et al. [] and mitigated with a line-search algorithm. Refs. [,,] studied robust alternatives to (7).
2.3.2. Non-Parametric Entropy Estimators
Assume that is a random sample from the law characterized by the distribution function whose order statistics are . Vasicek [] proposed the following entropy estimator:
with as a positive integer, the spacing of order m, or m-spacing, if , and if . The author proved that this estimator is weakly consistent for when and .
The only possible numerical problem with this estimator and its variants is having zero as the argument of the logarithm, a situation that can be easily checked and solved. Their computational complexity reduces to adding differences of order statistics. These estimators are robust by nature, since they do not depend on any particular model. Differently from the approaches discussed in Refs. [,,], achieving such a robustness does not impose a heavy computational burden.
Several authors introduced modifications to Vasicek’s estimator. In this work we consider the following entropy estimators variants, surveyed by Al-Omari [].
- van Es []:
- Correa []:
- Noughabi and Arghami []:
- Al-Omari []:
- Al-Omari alternative proposal []:
- Ebrahimi et al. []:
2.4. Estimator Tuning
The choice of the spacing parameter m in this type of estimators is an important task that is still open. Wieczorkowski and Grzegorzewski [] proposed the following heuristic formula:
Our goal is to find a value of m that performs well in a range of parameters and sample sizes n when estimating the entropy under the model. In order to achieve this goal, we assess the performance of (16) with a Monte Carlo study for each one of the entropy estimators presented in Section 2.3.2 under the model. We considered a parameter space comprised of:
- Sample sizes , which represent different scenarios of squared windows of sides 3, 5, 7, 9 and 11;
- Texture values to depict areas with different levels of roughness and (the case was studied by Cassetti et al. []).
Since is a scale parameter, we based the forthcoming analysis on the condition , which links texture and brightness by . With the aim to simplify the notation, we consider with where , , and . Thus, .
For each fixed n and j we draw 1000 independent samples from . We used and calculated all estimators from Section 2.3.2. Therefore, we obtained a vector of estimates from which we computed the sample mean , the sample bias , where is the true entropy from (6), and the sample mean squared error . Then, we analyzed the performance of these estimators in terms of bias and MSE.
In order to improve the spacing (16), we implemented another strategy to choose, for each sample size n, the best value m to be used for all textures . In the following, we considered as was indicated in (9). We repeated the same methodology as before for each m and for each j, obtaining . This vector is represented in the jth column of Table 1. We then calculated, in each row of the table, the average of the absolute value of bias (shown in the last column of Table 1). The best m value is . Table 1 shows the schema of the methodology employed, for fixed n and an entropy estimator. Each table entry, , represents the bias for and .

Table 1.
Selection criteria for the best m for each n and each entropy estimator, with , , and .
Section 3.1 presents the results of this approach. The spacing values we obtained are different from the heuristic formula (16), and they lead to better estimates in terms of bias and mean squared error.
2.5. Classification
To study the performance of the selected entropy estimators in terms of SAR image classification, we divided the analysis into simulated and actual images. We used unsupervised and supervised techniques to choose the three estimators that led to the best values of classification quality. For the former, we applied a k-means algorithm, which groups data into k classes setting k centroids and minimizing the variance within each group. This non-hierarchical clustering technique has been applied in many studies in SAR image processing, cf. the works by Niharika et al. [] and by Liu et al. [].
For the latter approach we implemented a support vector machine (SVM) algorithm, which is a supervised machine learning technique [] whose objective is to define, given a set of features, the best possible separation between classes by finding a hyperplane that maximizes the margin of separation between these classes. It is common to accept some misclassification to obtain a better overall performance; this is achieved through the penalizing parameter c.
When data cannot be separated by a hyperplane, they are transformed to a higher-dimensional feature space through a suitable non-linear transformation called “kernel function”. Given , linear and radial kernels are respectively defined by and , for .
We randomly selected 1000 pixels in each of the four regions, far away enough from the boundaries, to find the best kernel and hyperparameters. This reference sample was divided into two sets: training and validation (80% of the sample), and testing (20%). We considered linear and radial types for the kernel, with the penalizing parameters and . With the training–validation set we made a 5-cross fold validation, and computed the mean and the standard deviation of the F1-scores. Recall that , where TPR is the True Positive Rate and PPV is the Positive Predictive Value.
This approach has been applied in different areas, such as sea oil spill monitoring [], pattern recognition [], and classification of polarimetric SAR data [], among other applications.
We used different measures of quality depending on the type of classification. In the unsupervised case, we used the Calinski–Harabasz (CH) [] and Davies–Bouldin [] (DB) indexes, while we present the Kappa coefficient for the supervised classification. We also show the accuracy of both algorithms. All of these measures should be interpreted as “bigger is better”, except for the DB index, for which “lower is better”.
3. Results and Discussion
3.1. Choice of the Spacing Parameter m for Non-Parametric Estimators
Figure 2 presents the bias and the MSE for the Wieczorkowski and Grzegorzewski [] criterion, case, and for all of the estimators analyzed, except for the Al-Omari (14) and Ebrahimi (15) estimators. These two estimators presented large bias and, thus, were discarded for further analysis.

Figure 2.
Bias and MSE for Wieczorkowski and Grzegorzewski [] criterion given by (16), .
It can be seen that there is no single estimator that performs best for all values, but and present low bias and low MSE for all of the cases studied except for . The others estimators show bad behavior in terms of bias because of their slower convergence to zero for all of the cases studied.
Table 2 shows the best m chosen according to the methodology used for and , for samples coming from distribution.

Table 2.
Heuristic spacing , and best m chosen for each n and entropy estimator.
Notice that, with few exceptions, the optimal spacing m is smaller than the empirical formula .
3.2. Performance of the Nonparametric Estimators for the Selected m Value
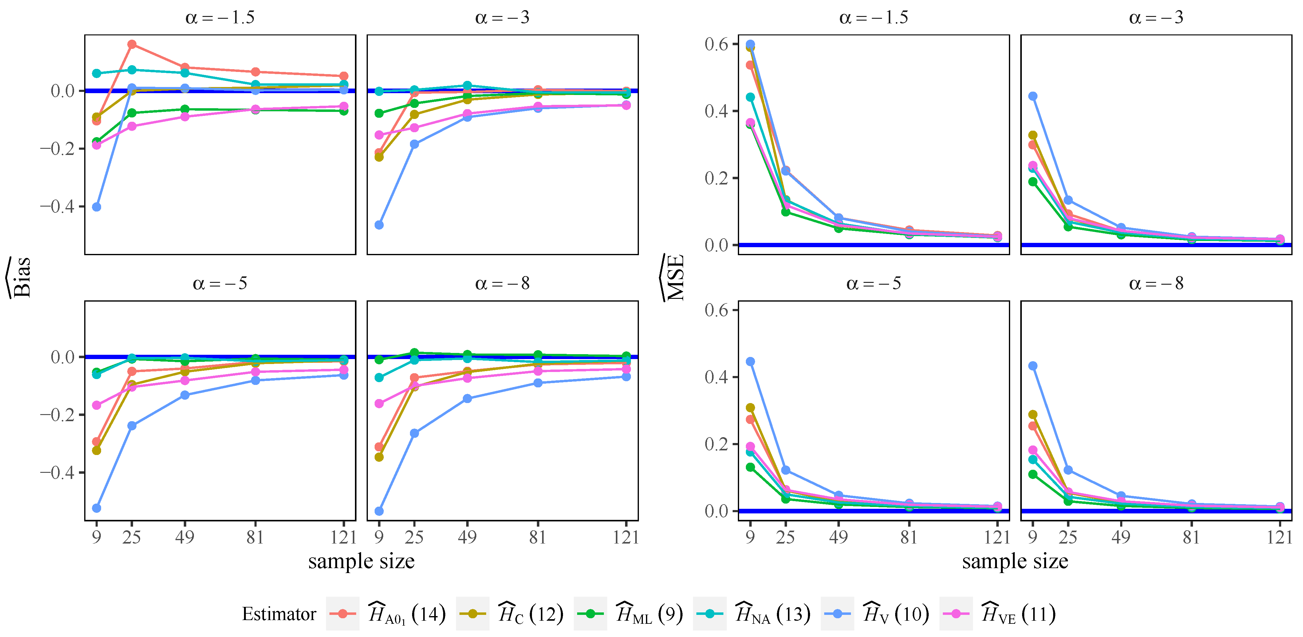
In order to study the behavior of our proposal for the selection of the m value we performed a Monte Carlo simulation as described in Section 2.4. Figure 3 shows the results obtained for the estimators studied for the m value chosen in terms of bias and MSE, for case. We also plotted the estimator. It can be observed that there is an improvement in entropy estimation in terms of bias and MSE with our methodology, compared to the (16) heuristic formula for all of the estimators studied. All of them show a faster convergence of the bias to zero and are competitive with the performance of the estimator in terms of bias and MSE, for sample sizes larger than 81.

Figure 3.
Bias and MSE for authors’ proposed m choice, .
As mentioned, the optimized spacing leads, in most cases, to the use of more samples than the (16) criterion. This suggests that the latter is an optimistic view of the information content of each sample, at least when dealing with deviates. In other words, theses observations are less informative for the estimation of the entropy. Because of this, a smaller spacing, i.e., larger samples, are required to achieve good estimation quality.
In the following, we present empirical results classifying a simulated image SAR.
3.3. Simulated Image
We generated two images with observations coming from distributions with , , and four different classes: . Figure 4a shows the image obtained with , where the brightest area corresponds to , i.e., extremely textured observations. As the brightness decreases, the texture changes from heterogeneous ( and ) to a homogeneous zone corresponding to the darkest area (). As the performance measures were similar in both cases, i.e., single and multi-look, we only show results from the latter.

Figure 4.
K-means applied to a simulated image with , and sliding windows size . (a) Simulated image. (b) Classification with and . (c) Accuracy as a function of the sample size.
We computed a map of estimated entropies () with each estimator by sweeping the image with sliding windows of sizes , for . These are the sample sizes studied in Section 2.4. Then, we used as a feature to classify by both the unsupervised and supervised techniques.
Figure 4b shows the result of classifying by the k-means algorithm the map of values obtained with .
Figure 4c shows the accuracy as a function of the sample size. It can be observed that a window presents the best accuracy. It can also be seen that the estimator has the worst performance, whereas , and show the best performance. These results are corroborated by the values shown in Table 3, in which the best performances are shown in bold font.

Table 3.
Accuracy for k-means () applied to simulated data with . Best values marked in bold.
Table 4 presents the CH and DB values for the best sample size (, ). According to CH, , , and have the best performance, whereas DB selected , , and as the best.

Table 4.
Classification quality indexes for k-means () applied to simulated data with and . Best values marked in bold.
We also provide, for the sake of comparison, quality measures obtained by .
Table 5 shows the selected kernels and hyper-parameters that maximize the F1 mean and minimize the F1 variance. The best models were trained using the whole reference sample and applied to classify the complete image. The accuracy and coefficient were computed, and the results are shown in Figure 5. The best accuracy values are shown in Table 6, as well as the models that achieved them. It can be seen that the optimal value for was obtained for a sliding window of size . Sizes and presented similar (best) values. In this sense, with the purpose of providing a unified criterion, we chose the size of the sliding window as to perform the analysis.

Table 5.
Best kernel (L: lineal, R: radial) and hyper-parameters for SVM applied to simulated SAR data.

Figure 5.
Accuracy and coefficient for SVM applied to simulated data with . (a) Using testing set. (b) Using the whole image.

Table 6.
Best accuracy values and best models for SVM applied to simulated SAR data.
Table 7 and Table 8 show the confusion matrices when the models are applied to the simulated images, . It can be observed that if , , , and overcame for extremely high, high, and middle textured areas, respectively. For , performed better than the other models except for regions with a very high level of texture in which and produced better results.

Table 7.
Confusion matrices for synthetic data with (in percentage). Best values marked in bold.

Table 8.
Confusion matrices for synthetic data with (in percentage). Best values marked in bold.
3.4. Actual Images
We assessed our proposal with two SAR images. First, we considered an image of the surroundings of Munich in Germany of the size , which was acquired in L-band, HV polarization, and complex single look format. Second, we used a subsample of pixels of a full PolSAR image of California’s San Francisco bay area, taken by the NASA/JPL AIRSAR L-band instrument in intensity format.
We applied the SVM algorithm to both actual images, replicating the procedure described in the study of simulated data, using the entropy estimator as a feature for classification of the three polarizations.
The Equivalent Number of Looks (ENL) using uncorrelated data is defined as , the reciprocal of the sample coefficient of variation , where is the sample standard deviation and is the sample mean []. In order to find the ENL in each polarization band of the image of San Francisco, we manually selected samples from homogeneous areas in each band and calculated ENL as an average weighted by the sample size per band. Finally, the ENL is the average of the estimations in each polarization. We obtained , , and as the ENL values in the HH, HV, and VV bands, respectively. Thus, we considered the ENL as equal to for the whole image. We then used the same spacings, m, for and .
Figure 6 and Figure 7 show the training samples selected to perform the supervised classification in both images. In the fist case, we worked with three types of regions: urban (red), forest (dark green), and pasture (light green). In the other case, we selected five areas: water (blue), urban zone (red), vegetation (green), pasture (yellow), and beach (orange).

Figure 6.
Image of the surrounding of Munich with reference samples.

Figure 7.
Image of San Francisco with reference samples.
We studied linear and radial kernels; the last one produced better results, except for and when applied to the image of Munich. The combinations of hyper-parameters are the following:
- for in Munich;
- and for in Munich;
- and for in Munich;
- for in Munich;
- and for in Munich;
- and for in Munich;
- and for in San Francisco;
- and for in San Francisco;
- and for in San Francisco;
- and for in San Francisco;
- and for in San Francisco;
- and for in San Francisco.
We subsequently included the CV as a feature in the classification process. In this case, the best performance was achieved for the linear kernel with a cost of 10 applied to the image of San Francisco, except for and showing a best performance if a radial kernel is used with and , respectively, and with a radial kernel using and , respectively. On the other hand, the radial kernel produced the best results for the image of Munich using the following hyper-parameters:
- and for ;
- and for ;
- and for ;
- and for ;
- and for ;
- and for .
Table 9 and Table 10 present the test accuracy and Kappa index. We also show the validation accuracy, which was computed using cross-validation with five folds; these values are similar to the test accuracy, showing that there is no evidence of overfitting. In addition, we show that including the CV coefficient as a feature in the classification problem improved the results.

Table 9.
Validation–test accuracy and Kappa coefficient values in the test set for the image of Munich. Best values marked in bold.

Table 10.
Validation–test accuracy and Kappa coefficient values in the test set for the image of San Francisco. Best values marked in bold.
If we only consider the entropy, showed the best performance in both single and multilook cases. However, if we add CV as a characteristic, then appears as the best classifier followed by and for the single-look case, and followed by and for the multilook case.
Figure 8 and Figure 9 exhibit the classification of the whole images when our proposal is applied. It can be observed that in the case of the image of San Francisco the classifiers distinguished the beach and, with the addition of the CV, some roads surrounded by trees were better classified.

Figure 8.
Surroundings of Munich classification using: (a) (test acc. 0.9471), (b) and CV (test acc. 0.9868), (c) (test acc. 0.9394), (d) and CV (test acc. 0.9923), (e) (test acc. 0.9592), (f) and CV (test acc. 0.9901), (g) (test acc. 0.9526), (h) and CV (test acc. 0.9846), (i) (test acc. 0.9824), (j) and CV (test acc. 0.9813), (k) (test acc. 0.9713), and (l) and CV (test acc. 0.9901).

Figure 9.
San Francisco classification using: (a) (test acc. 0.9301), (b) and CV (test acc. 0.9976), (c) (test acc. 0.9692), (d) and CV (test acc. 0.9882), (e) (test acc. 0.9716), (f) and CV (test acc. 0.9964), (g) (test acc. 0.9727), (h) and CV (test acc. 0.9953), (i) (test acc. 0.9799), (j) and CV (test acc. 0.9941), (k) (test acc. 0.9585), and (l) and CV (test acc. 0.9810).
The processing time is an important feature when proposing a new estimator. Table 11 shows the processing time, measured in minutes, needed to perform a map of estimated entropies moving through the image with sliding windows of size for each one of the estimators applied to the Munich and San Francisco images. It can be seen that had the shortest processing time, followed by and .

Table 11.
Processing time to perform an entropy map with sliding windows of size . Best values marked in bold.
We conclude this section by comparing the results of classifying by using estimates of the entropy with those obtained with a classical approach. Table 12 compares the results obtained using our best models against the technique that applies the improved Lee filter [] and then classifies using SVM. Figure 10 shows the classification of the whole images applying the alternative method. It can be observed that our proposal offers advantages that prior methods cannot.

Table 12.
Comparison results of our best proposal against an alternative method. Best values marked in bold.

Figure 10.
Classification using SVM after applying Lee filter to the image of: (a) Munich, (b) San Francisco.
4. Conclusions
We assessed the performance of six non-parametric entropy estimators in conjunction with the ML estimator in terms of bias, MSE and image classification for single and multilook cases.
On the one hand, the advantage of using these non-parametric estimators is that they are very simple to implement, since they do not assume any model and do not need optimization algorithms. On the other hand, they depend on a space parameter m. Although the literature recommends a heuristic value, we proposed a criterion for choosing the value of m that presents the slightest bias in the entropy estimation for all of the textured values studied and all of the sample sizes analyzed. This criterion presents better performance than that proposed by Wieczorkowski and Grzegorzewski [].
With these values for m, we applied unsupervised (k-means) and supervised (SVM) classification algorithms to both simulated and actual data, and compared their performance with the entropy estimator. We showed evidence that presents the best performance in terms of accuracy and kappa index for both single and multilook cases, when it is applied to actual images. However, when we added the coefficient of variation as a feature used by the classifier, both measures improved and the best estimators changed. and performed the best for the single and multilook cases, respectively, showing an improvement of 1% for the former and of 3% for the latter. However, these two estimators require longer processing times than the others.
We completed the analysis by comparing our proposal with another technique that combines the improved Lee filter with an SVM classifier, showing that the entropy-based approach presents better accuracy indexes.
Hence, we strongly recommend to consider these non-parametric estimators because of the simplicity of their implementation and their good performance.
Author Contributions
Conceptualization, J.C. and A.R.; methodology, J.C., A.R., D.D. and A.C.F.; software, J.C., A.R. and D.D.; validation, J.C., A.R. and D.D.; formal analysis, J.C.; investigation, J.C.; resources, J.C., A.R., D.D. and A.C.F.; writing—original draft preparation, J.C., A.R., D.D. and A.C.F.; writing—review and editing, J.C., A.R., D.D. and A.C.F.; visualization, J.C., A.R. and D.D.; supervision, J.C.; project administration, J.C.; funding acquisition, A.C.F. All authors have read and agreed to the published version of the manuscript.
Funding
This research received no external funding.
Institutional Review Board Statement
Not applicable.
Informed Consent Statement
Not applicable.
Data Availability Statement
The corresponding author will provide the data and code upon request.
Conflicts of Interest
The authors declare no conflict of interest.
References
- Frery, A.C.; Müller, H.J.; Yanasse, C.C.; Sant’Anna, S.J. A model for extremely heterogeneous clutter. IEEE Trans. Geosci. Remote Sens. 1997, 35, 648–659. [Google Scholar] [CrossRef]
- Palacio, M.G.; Ferrero, S.B.; Frery, A.C. Revisiting the effect of spatial resolution on information content based on classification results. Int. J. Remote Sens. 2019, 40, 4489–4505. [Google Scholar] [CrossRef] [Green Version]
- Baek, W.K.; Jung, H.S. Performance Comparison of Oil Spill and Ship Classification from X-Band Dual- and Single-Polarized SAR Image Using Support Vector Machine, Random Forest, and Deep Neural Network. Remote Sens. 2021, 13, 3203. [Google Scholar] [CrossRef]
- Kang, C.; He, C. SAR image classification based on the multi-layer network and transfer learning of mid-level representations. In Proceedings of the 2016 IEEE International Geoscience and Remote Sensing Symposium (IGARSS), Beijing, China, 10–15 July 2016; pp. 1146–1149. [Google Scholar] [CrossRef]
- Lu, C.; Li, W. Ship Classification in High-Resolution SAR Images via Transfer Learning with Small Training Dataset. Sensors 2019, 19, 63. [Google Scholar] [CrossRef] [Green Version]
- Huang, Z.; Pan, Z.; Lei, B. Transfer Learning with Deep Convolutional Neural Network for SAR Target Classification with Limited Labeled Data. Remote Sens. 2017, 9, 907. [Google Scholar] [CrossRef] [Green Version]
- Rostami, M.; Kolouri, S.; Eaton, E.; Kim, K. Deep Transfer Learning for Few-Shot SAR Image Classification. Remote Sens. 2019, 11, 1374. [Google Scholar] [CrossRef] [Green Version]
- Huang, Z.; Dumitru, C.; Pan, Z.; Lei, B.; Datcu, M. Classification of Large-Scale High-Resolution SAR Images With Deep Transfer Learning. IEEE Geosci. Remote Sens. Lett. 2020, 18, 107–111. [Google Scholar] [CrossRef] [Green Version]
- Gambini, J.; Cassetti, J.; Lucini, M.; Frery, A. Parameter Estimation in SAR Imagery using Stochastic Distances and Asymmetric Kernel. IEEE J. Sel. Top. Appl. Earth Obs. Remote Sens. 2015, 8, 365–375. [Google Scholar] [CrossRef] [Green Version]
- Carvalho, N.; Sant’Anna Bins, L.; Sant’Anna, S.J. Analysis of Stochastic Distances and Wishart Mixture Models Applied on PolSAR Images. Remote Sens. 2019, 11, 2994. [Google Scholar] [CrossRef] [Green Version]
- Frery, A.C.; Cintra, R.J.; Nascimento, A.D. Entropy-Based Statistical Analysis of PolSAR Data. IEEE Trans. Geosci. Remote Sens. 2013, 51, 3733–3743. [Google Scholar] [CrossRef]
- Nascimento, A.D.; Cintra, R.J.; Frery, A.C. Hypothesis Testing in Speckled Data with Stochastic Distances. IEEE Trans. Geosci. Remote Sens. 2010, 48, 373–385. [Google Scholar] [CrossRef]
- Nascimento, A.D.; Horta, M.M.; Frery, A.C.; Cintra, R.J. Comparing Edge Detection Methods Based on Stochastic Entropies and Distances for PolSAR Imagery. IEEE J. Sel. Top. Appl. Earth Obs. Remote Sens. 2014, 7, 648–663. [Google Scholar] [CrossRef] [Green Version]
- Chan, D.; Gambini, J.; Frery, A.C. Entropy-Based Non-Local Means Filter for Single-Look SAR Speckle Reduction. Remote Sens. 2022, 14, 509. [Google Scholar] [CrossRef]
- Nobre, R.H.; Rodrigues, F.A.A.; Marques, R.C.P.; Nobre, J.S.; Neto, J.F.S.R.; Medeiros, F.N.S. SAR Image Segmentation With Rényi’s Entropy. IEEE Signal Process. Lett. 2016, 23, 1551–1555. [Google Scholar] [CrossRef]
- Ferreira, J.; Nascimento, A.D. Shannon Entropy for the Model: A New Segmentation Approach. IEEE J. Sel. Top. Appl. Earth Obs. Remote Sens. 2020, 13, 2547–2553. [Google Scholar] [CrossRef]
- Vasicek, O. A Test for Normality Based on Sample Entropy. J. R. Stat. Soc. Ser. B 1976, 38, 54–59. [Google Scholar] [CrossRef]
- van Es, B. Estimating Functionals Related to a Density by a Class of Statistics Based on Spacings. Scand. J. Stat. 1992, 19, 61–72. [Google Scholar] [CrossRef]
- Correa, J.C. A new estimator of entropy. Commun. Stat. Theory Methods 1995, 24, 2439–2449. [Google Scholar] [CrossRef]
- Al-Omari, A.I. A new measure of entropy of continuous random variable. J. Stat. Theory Pract. 2016, 10, 721–735. [Google Scholar] [CrossRef]
- Noughabi, H.A.; Noughabi, R.A. On the entropy estimators. J. Stat. Comput. Simul. 2013, 83, 784–792. [Google Scholar] [CrossRef]
- Ebrahimi, N.; Pflughoeft, K.; Soofi, E.S. Two measures of sample entropy. Stat. Probab. Lett. 1994, 20, 225–234. [Google Scholar] [CrossRef]
- Maurizi, B.N. Estimation of an Entropy-based Functional. Entropy 2010, 12, 338–374. [Google Scholar] [CrossRef] [Green Version]
- Noughabi, H.; Park, S. Tests of fit for the Laplace distribution based on correcting moments of entropy estimators. J. Stat. Comput. Simul. 2016, 86, 2165–2181. [Google Scholar] [CrossRef]
- Suk-Bok, K.; Young-Seuk, C.; Jun-Tae, H.; Kim, J. An Estimation of the Entropy for a Double Exponential Distribution Based on Multiply Type-II Censored Samples. Entropy 2012, 14, 161–173. [Google Scholar] [CrossRef] [Green Version]
- Al-Labadi, L.; Patel, V.; Vakiloroayaei, K.; Wan, C. A Bayesian nonparametric estimation to entropy. Braz. J. Probab. Stat. 2021, 35, 421–434. [Google Scholar] [CrossRef]
- Lopes, A.; Machado, J.T. A Review of Fractional Order Entropies. Entropy 2020, 22, 1374. [Google Scholar] [CrossRef]
- Mejail, M.; Jacobo-Berlles, J.C.; Frery, A.C.; Bustos, O.H. Classification of SAR images using a general and tractable multiplicative model. Int. J. Remote Sens. 2003, 24, 3565–3582. [Google Scholar] [CrossRef]
- Mejail, M.E.; Frery, A.C.; Jacobo-Berlles, J.; Bustos, O.H. Approximation of Distributions for SAR Images: Proposal, Evaluation and Practical Consequences. Lat. Am. Appl. Res. 2001, 31, 83–92. [Google Scholar]
- Shannon, C.E. A mathematical theory of communication. Bell Syst. Tech. J. 1948, 27, 379–423. [Google Scholar] [CrossRef] [Green Version]
- Frery, A.C.; Cribari-Neto, F.; Souza, M.O. Analysis of Minute Features in Speckled Imagery with Maximum Likelihood Estimation. EURASIP J. Adv. Signal Process. 2004, 2004, 2476–2491. [Google Scholar] [CrossRef] [Green Version]
- Luenberger, D.; Ye, Y. Linear and Nonlinear Programming; Springer Science+Business Media, LLC: Berlin/Heidelberg, Germany, 2008. [Google Scholar]
- Casella, G.; Berger, R. Statistical Inference; Duxbury Resource Center: Duxbury, MA, USA, 2001. [Google Scholar]
- Bustos, O.H.; Lucini, M.M.; Frery, A.C. M-Estimators of Roughness and Scale for -Modelled SAR Imagery. EURASIP J. Appl. Signal Process. 2002, 1, 105–114. [Google Scholar] [CrossRef] [Green Version]
- Allende, H.; Frery, A.C.; Galbiati, J.; Pizarro, L. M-Estimators with Asymmetric Influence Functions: The distribution case. J. Stat. Comput. Simul. 2006, 76, 941–956. [Google Scholar] [CrossRef]
- Noughabi, A.H.; Arghami, N.R. A new estimator of entropy. J. Iran. Stat. Soc. 2010, 9, 2439–2449. [Google Scholar]
- Al-Omari, A.I. Estimation of entropy using random sampling. J. Comput. Appl. Math. 2014, 261, 95–102. [Google Scholar] [CrossRef]
- Wieczorkowski, R.; Grzegorzewski, P. Entropy estimators—Improvements and comparisons. Commun. Stat. Simul. Comput. 1999, 28, 541–567. [Google Scholar] [CrossRef]
- Cassetti, J.; Delgadino, D.; Rey, A.; Frery, A.C. SAR Image Classification Using Non-Parametric Estimators of Shannon Entropy. In Proceedings of the 2021 2nd China International SAR Symposium (CISS), Shanghai, China, 3–5 November 2021. [Google Scholar] [CrossRef]
- Niharika, E.; Adeeba, H.; Krishna, A.S.R.; Yugander, P. K-means based noisy SAR image segmentation using median filtering and Otsu method. In Proceedings of the 2017 International Conference on IoT and Application (ICIOT), Nagapattinam, India, 19–20 May 2017; pp. 1–4. [Google Scholar] [CrossRef]
- Liu, L.; Jia, Z.; Yang, J.; Kasabov, N. SAR Image Change Detection Based on Mathematical Morphology and the K-Means Clustering Algorithm. IEEE Access 2019, 7, 43970–43978. [Google Scholar] [CrossRef]
- Vapnik, V.N. The Nature of Statistical Learning Theory; Springer: Berlin/Heidelberg, Germany, 1995. [Google Scholar]
- Fan, J.; Zhang, F.; Dongzhi, Z.; Wang, J. Oil Spill Monitoring Based on SAR Remote Sensing Imagery. Aquat. Procedia 2015, 3, 112–118. [Google Scholar] [CrossRef]
- Burges, C.J.C. A tutorial on support vector machines for pattern recognition. Data Min. Knowl. Discov. 1998, 2, 121–167. [Google Scholar] [CrossRef]
- Caliński, T.; Harabasz, J. A dendrite method for cluster analysis. Commun. Stat. 1974, 3, 1–27. [Google Scholar]
- Davies, D.L.; Bouldin, D.W. A Cluster Separation Measure. IEEE Trans. Pattern Anal. Mach. Intell. 1979, 2, 224–227. [Google Scholar] [CrossRef]
- Anfinsen, S.; Doulgeris, A.; Eltoft, T. Estimation of the Equivalent Number of Looks in Polarimetric Synthetic Aperture Radar Imagery. IEEE Trans. Geosci. Remote Sens. 2009, 47, 3795–3809. [Google Scholar] [CrossRef]
- Lee, J.S.; Wen, J.H.; Ainsworth, T.L.; Chen, K.S.; Chen, A.J. Improved Sigma Filter for Speckle Filtering of SAR Imagery. IEEE Trans. Geosci. Remote Sens. 2009, 47, 202–213. [Google Scholar] [CrossRef]
Publisher’s Note: MDPI stays neutral with regard to jurisdictional claims in published maps and institutional affiliations. |
© 2022 by the authors. Licensee MDPI, Basel, Switzerland. This article is an open access article distributed under the terms and conditions of the Creative Commons Attribution (CC BY) license (https://creativecommons.org/licenses/by/4.0/).