Entropy Analysis of the Peristaltic Flow of Hybrid Nanofluid Inside an Elliptic Duct with Sinusoidally Advancing Boundaries
Abstract
1. Introduction
2. Mathematical Model
3. Entropy Analysis
4. Exact Solution
5. Results and Discussion
6. Conclusions
- A completely evolved, parabolic velocity profile also having axial symmetry is noted.
- A slightly rapid increment in temperature is noted for the phase flow model as compared to the hybrid one with increasing and .
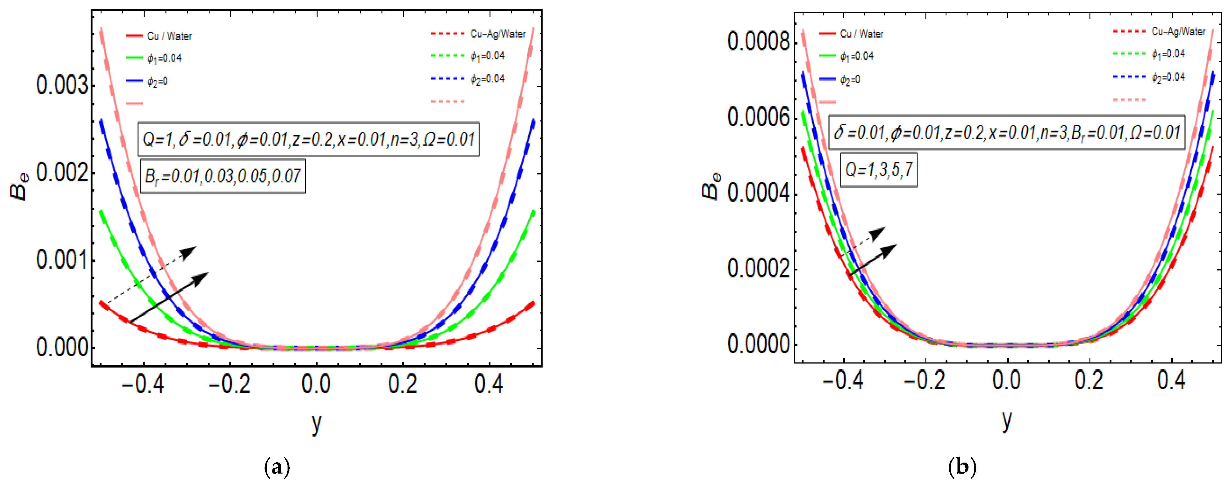
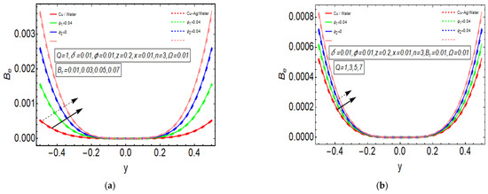
- The minimum value of disorder in the central region indicates a fully developed flow while the disorder near the walls is due to the sinusoidal fluctuation of boundaries.
- A high value of is achieved for the phase flow model as compared to the hybrid model for all the dimensionless parameters involved in this study.
- Higher values of entropy are noted for the hybrid nanofluid flow as compared to the phase flow.
- The hybrid model of nanofluid is causing a higher level of disorder when compared to the phase flow, as revealed by the entropy solutions.
- It is observed that entropy has its lowest values (almost zero) in the core region of the duct due to a fully developed and smooth flow profile in the centre, while entropy has its maximum values near boundaries due to the sinusoidal fluctuations of walls.
Author Contributions
Funding
Institutional Review Board Statement
Informed Consent Statement
Conflicts of Interest
Nomenclature
| Coordinate system | |
| Velocity components | |
| Aspect ratio | |
| Concentration of copper | |
| Concentration of silver | |
| Density | |
| Dimensionless temperature ratio | |
| Occlusion | |
| Viscosity | |
| Wavelength | |
| Brinkman number | |
| Ellipse half axes | |
| Wave velocity | |
| Wave amplitude | |
| Ellipse eccentricity | |
| Thermal conductivity | |
| Dimensionless entropy | |
| Tube’s wall temperature | |
| Hydraulic diameter of ellipse | |
| Heat capacity | |
| Hybrid nanofluid | |
| Bulk temperature |
References
- Jaffrin, M.Y.; Shapiro, A.H. Peristaltic pumping. Annu. Rev. Fluid Mech. 1971, 3, 13–37. [Google Scholar] [CrossRef]
- Barton, C.; Raynor, S. Peristaltic flow in tubes. Bull. Math. Biophys. 1968, 30, 663–680. [Google Scholar] [CrossRef]
- Siddiqui, A.M.; Schwarz, W.H. Peristaltic flow of a second-order fluid in tubes. J. Non-Newton. Fluid Mech. 1994, 53, 257–284. [Google Scholar] [CrossRef]
- Saleem, A.; Akhtar, S.; Nadeem, S.; Alharbi, F.M.; Ghalambaz, M.; Issakhov, A. Mathematical computations for peristaltic flow of heated non-Newtonian fluid inside a sinusoidal elliptic duct. Phys. Scr. 2020, 95, 105009. [Google Scholar] [CrossRef]
- Nadeem, S.; Akhtar, S.; Saleem, A. Peristaltic flow of a heated Jeffrey fluid inside an elliptic duct: Streamline analysis. Appl. Math. Mech. 2021, 42, 583–592. [Google Scholar] [CrossRef]
- Akbar, N.S.; Nadeem, S. Endoscopic effects on peristaltic flow of a nanofluid. Commun. Theor. Phys. 2011, 56, 761. [Google Scholar] [CrossRef]
- Tripathi, D.; Bég, O.A. A study on peristaltic flow of nanofluids: Application in drug delivery systems. Int. J. Heat Mass Transf. 2014, 70, 61–70. [Google Scholar] [CrossRef]
- Khan, L.A.; Raza, M.; Mir, N.A.; Ellahi, R. Effects of different shapes of nanoparticles on peristaltic flow of MHD nanofluids filled in an asymmetric channel. J. Therm. Anal. Calorim. 2020, 140, 879–890. [Google Scholar] [CrossRef]
- Awais, M.; Shah, Z.; Parveen, N.; Ali, A.; Kumam, P.; Thounthong, P. MHD effects on ciliary-induced peristaltic flow coatings with rheological hybrid nanofluid. Coatings 2020, 10, 186. [Google Scholar] [CrossRef]
- Bibi, A.; Xu, H. Peristaltic channel flow and heat transfer of Carreau magneto hybrid nanofluid in the presence of homogeneous/heterogeneous reactions. Sci. Rep. 2020, 10, 11499. [Google Scholar] [CrossRef]
- Akbar, N.S.; Nadeem, S. Peristaltic flow of a Phan-Thien-Tanner nanofluid in a diverging tube. Heat Transf. Asian Res. 2012, 41, 10–22. [Google Scholar] [CrossRef]
- Akbar, N.S.; Nadeem, S.; Khan, Z.H. Numerical simulation of peristaltic flow of a Carreau nanofluid in an asymmetric channel. Alex. Eng. J. 2014, 53, 191–197. [Google Scholar] [CrossRef]
- Saleem, A.; Akhtar, S.; Alharbi, F.M.; Nadeem, S.; Ghalambaz, M.; Issakhov, A. Physical aspects of peristaltic flow of hybrid nano fluid inside a curved tube having ciliated wall. Results Phys. 2020, 19, 103431. [Google Scholar] [CrossRef]
- Akram, J.; Akbar, N.S.; Maraj, E.N. A comparative study on the role of nanoparticle dispersion in electroosmosis regulated peristaltic flow of water. Alex. Eng. J. 2020, 59, 943–956. [Google Scholar] [CrossRef]
- Ali, A.; Saleem, S.; Mumraiz, S.; Saleem, A.; Awais, M.; Marwat, D.K. Investigation on TiO2–Cu/H2O hybrid nanofluid with slip conditions in MHD peristaltic flow of Jeffrey material. J. Therm. Anal. Calorim. 2021, 143, 1985–1996. [Google Scholar] [CrossRef]
- Ahmed, S.E.; Rashed, Z.Z. MHD dusty hybrid nanofluid peristaltic flow in curved channels. Therm. Sci. 2021, 00, 144. [Google Scholar] [CrossRef]
- Abo-Elkhair, R.E.; Bhatti, M.M.; Mekheimer, K.S. Magnetic force effects on peristaltic transport of hybrid bio-nanofluid (AuCu nanoparticles) with moderate Reynolds number: An expanding horizon. Int. Commun. Heat Mass Transf. 2021, 123, 105228. [Google Scholar] [CrossRef]
- Afzal, Q.; Akram, S.; Ellahi, R.; Sait, S.M.; Chaudhry, F. Thermal and concentration convection in nanofluids for peristaltic flow of magneto couple stress fluid in a nonuniform channel. J. Therm. Anal. Calorim. 2021, 135, 3181–3189. [Google Scholar] [CrossRef]
- Ullah Khan, W.; Awais, M.; Parveen, N.; Ali, A.; Ehsan Awan, S.; Malik, M.Y.; He, Y. Analytical Assessment of (Al2O3–Ag/H2O) Hybrid Nanofluid Influenced by Induced Magnetic Field for Second Law Analysis with Mixed Convection, Viscous Dissipation and Heat Generation. Coatings 2021, 11, 498. [Google Scholar] [CrossRef]
- Akbar, N.S. Entropy generation and energy conversion rate for the peristaltic flow in a tube with magnetic field. Energy 2015, 82, 23–30. [Google Scholar] [CrossRef]
- Akbar, N.S.; Raza, M.; Ellahi, R. Peristaltic flow with thermal conductivity of H2O+ Cu nanofluid and entropy generation. Results Phys. 2015, 5, 115–124. [Google Scholar] [CrossRef]
- Hayat, T.; Nawaz, S.; Alsaedi, A. Modeling and analysis of peristalsis of hybrid nanofluid with entropy generation. J. Therm. Anal. Calorim. 2021, 143, 1231–1249. [Google Scholar] [CrossRef]
- Riaz, A.; Abbas, T.; Zeeshan, A.; Doranehgard, M.H. Entropy generation and MHD analysis of a nanofluid with peristaltic three dimensional cylindrical enclosures. Int. J. Numer. Methods Heat Fluid Flow 2021, 31, 308–344. [Google Scholar]
- Akbar, N.S.; Butt, A.W. Entropy generation analysis for the peristaltic flow of Cu-water nanofluid in a tube with viscous dissipation. J. Hydrodyn. 2017, 29, 135–143. [Google Scholar] [CrossRef]
- Akbar, N.S.; Raza, M.; Ellahi, R. Endoscopic Effects with Entropy Generation Analysis in Peristalsis for the Thermal Conductivity of 2 HO Nanofluid. J. Appl. Fluid Mech. 2016, 9, 1721–1730. [Google Scholar]
- Ellahi, R.; Raza, M.; Akbar, N.S. Study of peristaltic flow of nanofluid with entropy generation in a porous medium. J. Porous Media 2017, 20, 461–478. [Google Scholar] [CrossRef]
- Farooq, A.; Kahshan, M.; Saleem, S.; Rahimi-Gorji, M.; Al-Mubaddel, F.S. Entropy production rate in ciliary induced flows through cylindrical tubules under the consequences of Hall effect. J. Taiwan Inst. Chem. Eng. 2021, 120, 207–217. [Google Scholar] [CrossRef]
- Saleem, S.; Abd El-Aziz, M. Entropy generation and convective heat transfer of radiated non-Newtonian power-law fluid past an exponentially moving surface under slip effects. Eur. Phys. J. Plus 2019, 134, 184. [Google Scholar] [CrossRef]
- Hayat, T.; Nisar, Z.; Alsaedi, A.; Ahmad, B. Analysis of activation energy and entropy generation in mixed convective peristaltic transport of Sutterby nanofluid. J. Therm. Anal. Calorim. 2021, 143, 1867–1880. [Google Scholar] [CrossRef]
- Yang, Z.H.; Chu, Y.M.; Zhang, W. Monotonicity of the ratio for the complete elliptic integral and Stolarsky mean. J. Inequalities Appl. 2016, 176. [Google Scholar] [CrossRef]












| Physical Parameters | Base Fluid | Nanoparticles | |
|---|---|---|---|
| (Water) | |||
| 4179 | 385 | 235 | |
| 0.613 | 401 | 429 | |
| 997.1 | 8933 | 10,500 | |
| Properties | Nanofluid |
|---|---|
| Density | |
| Viscosity | |
| Thermal Conductivity | |
| Heat Capacity |
Publisher’s Note: MDPI stays neutral with regard to jurisdictional claims in published maps and institutional affiliations. |
© 2021 by the authors. Licensee MDPI, Basel, Switzerland. This article is an open access article distributed under the terms and conditions of the Creative Commons Attribution (CC BY) license (https://creativecommons.org/licenses/by/4.0/).
Share and Cite
McCash, L.B.; Akhtar, S.; Nadeem, S.; Saleem, S. Entropy Analysis of the Peristaltic Flow of Hybrid Nanofluid Inside an Elliptic Duct with Sinusoidally Advancing Boundaries. Entropy 2021, 23, 732. https://doi.org/10.3390/e23060732
McCash LB, Akhtar S, Nadeem S, Saleem S. Entropy Analysis of the Peristaltic Flow of Hybrid Nanofluid Inside an Elliptic Duct with Sinusoidally Advancing Boundaries. Entropy. 2021; 23(6):732. https://doi.org/10.3390/e23060732
Chicago/Turabian StyleMcCash, Luthais B., Salman Akhtar, Sohail Nadeem, and Salman Saleem. 2021. "Entropy Analysis of the Peristaltic Flow of Hybrid Nanofluid Inside an Elliptic Duct with Sinusoidally Advancing Boundaries" Entropy 23, no. 6: 732. https://doi.org/10.3390/e23060732
APA StyleMcCash, L. B., Akhtar, S., Nadeem, S., & Saleem, S. (2021). Entropy Analysis of the Peristaltic Flow of Hybrid Nanofluid Inside an Elliptic Duct with Sinusoidally Advancing Boundaries. Entropy, 23(6), 732. https://doi.org/10.3390/e23060732

