Reference Evapotranspiration Modeling Using New Heuristic Methods
Abstract
1. Introduction
2. Materials and Methods
2.1. Case Study
2.2. Methods
2.2.1. Dynamic Evolving Neural-Fuzzy Inference System (DENFIS)
2.2.2. Least Squares Support Vector Regression (LSSVR)
2.2.3. Gravitational Search Algorithm (GSA)
2.2.4. HLGSA (Hybrid LSSVR-GSA)
- Firstly, divide meteorological datasets into training, validation, and testing parts.
- Second, select the RBF kernel function and initial parameters for the HLGSA method to build the initial LSSVR model. The initial values of the parameters are set as follows: the range of penalty factor γ is 0.1 to 1500, the range of RBF parameter σ2 is 0.001 to 10, the iteration range is 20–30, the number of particles can be set up to 30, and constant alpha was found to perform better in range of 12–18, whereas initial gravitational constant G0 was found to perform better in the range from 102 to 120.
- Third, compute the particle fitness value of each node. The RMSE is selected as the fitness function in this study. The fitness function of this method is defined as follows:
- Fourth, chose the best parameter combination through GSA to obtain the optimal values for the LSSVR parameters.
- Fifth, utilize the new combination of parameters to reconstruct the LSSVR if it does not meet the stopping criterion.
- Last, the optimal LSSVR model for forecasting evapotranspiration was built based on the typical parameter values.
2.2.5. M5 Model Tree
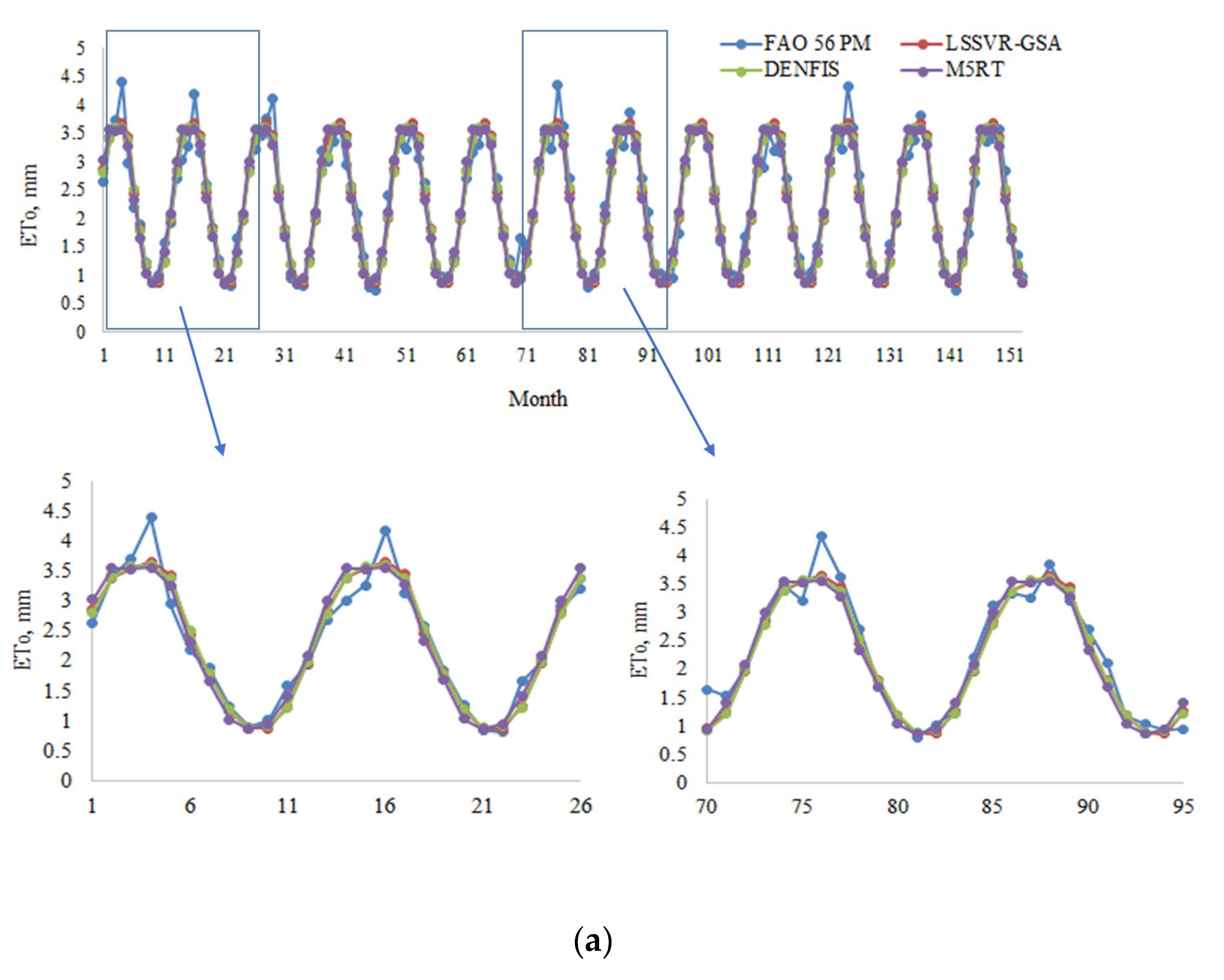
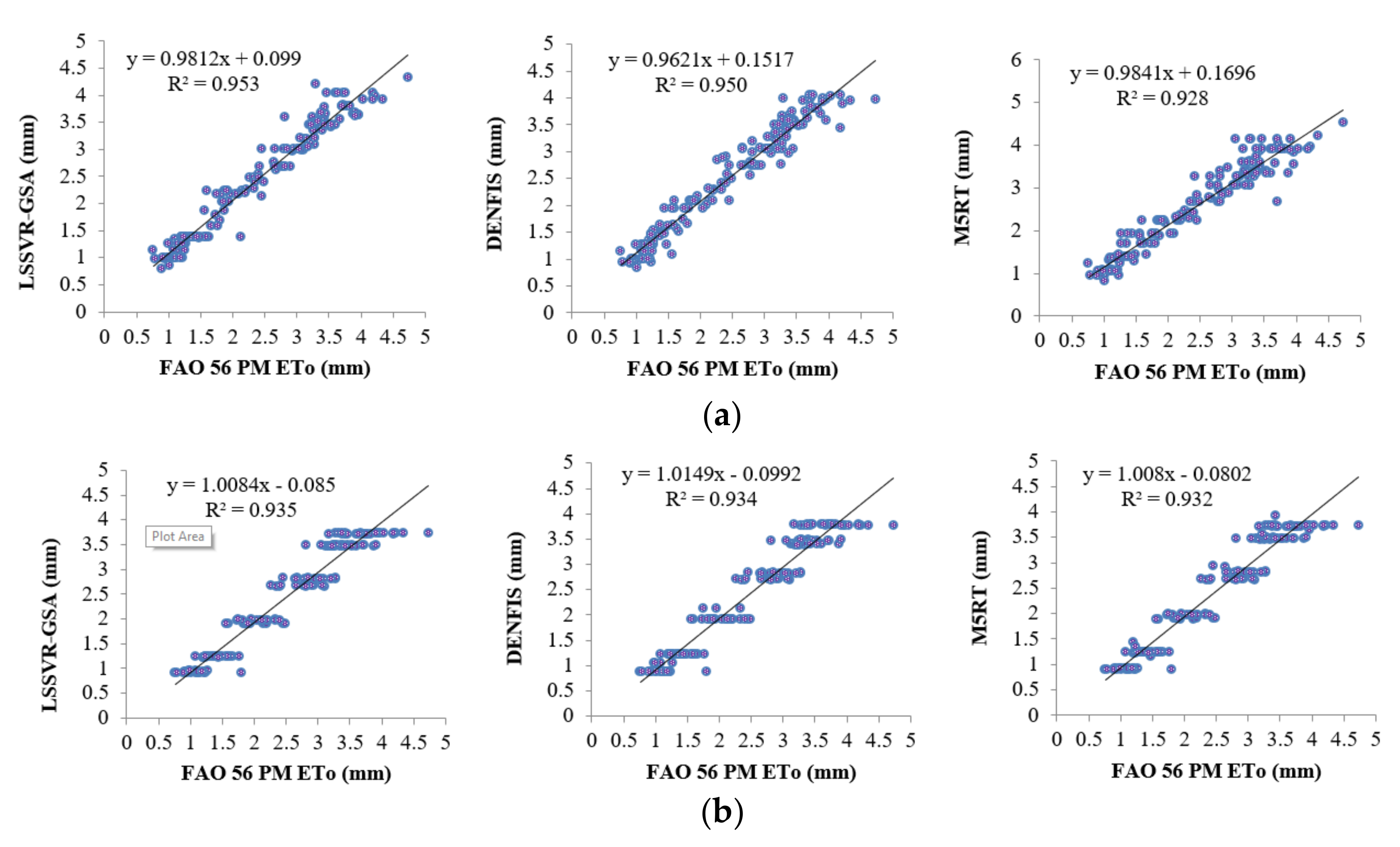
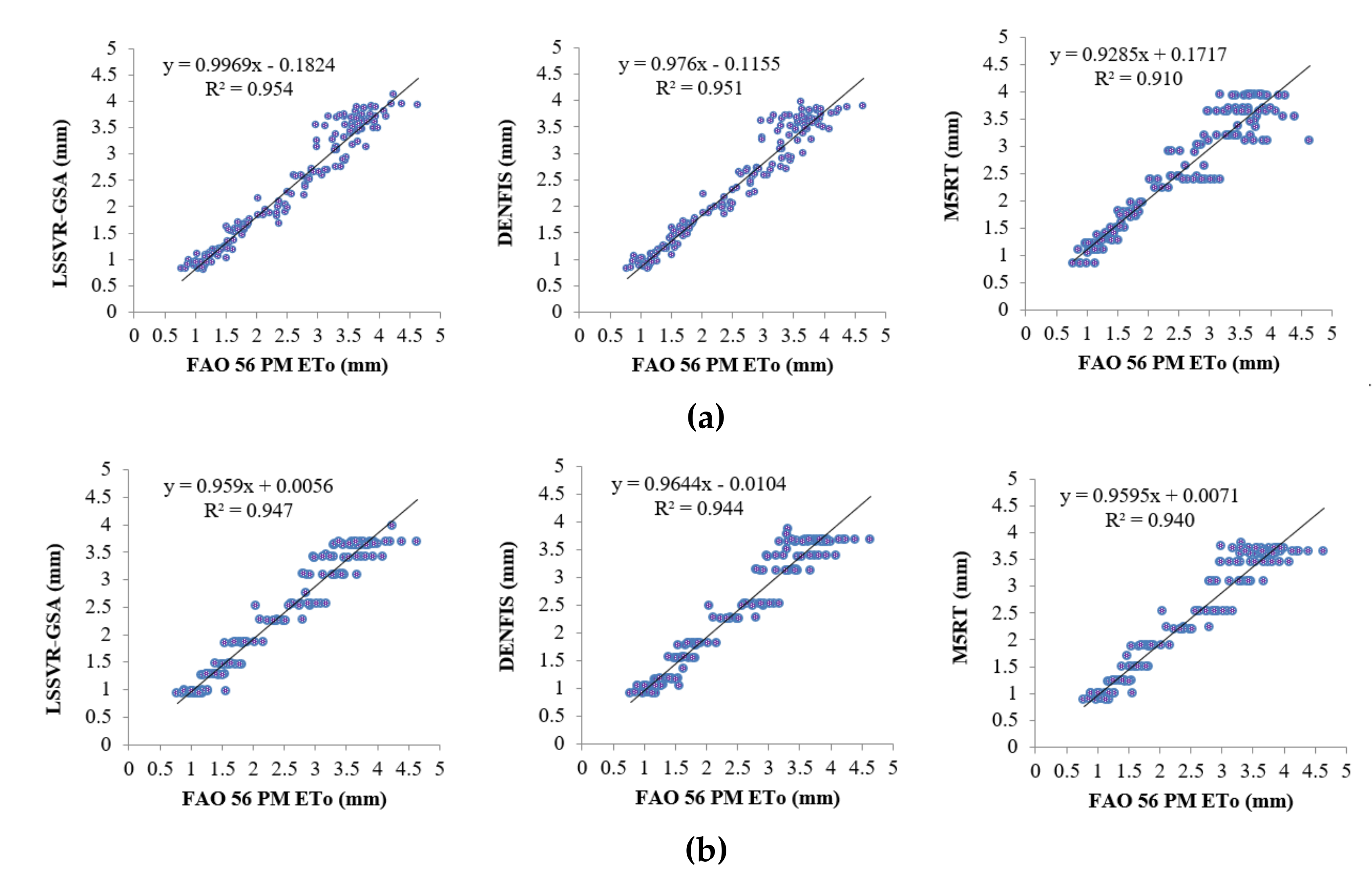
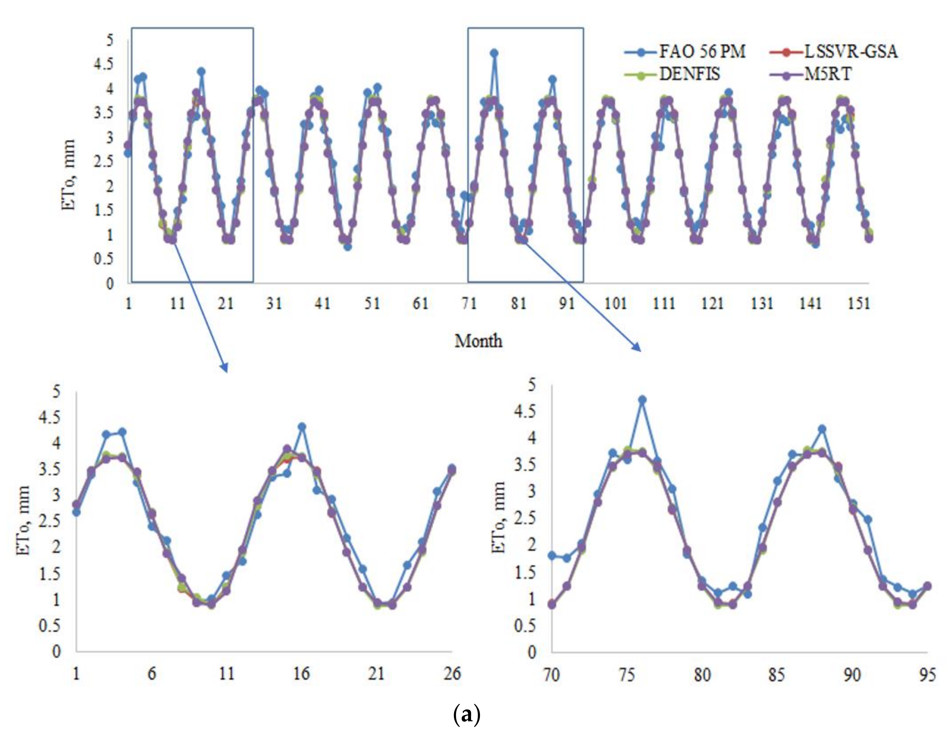
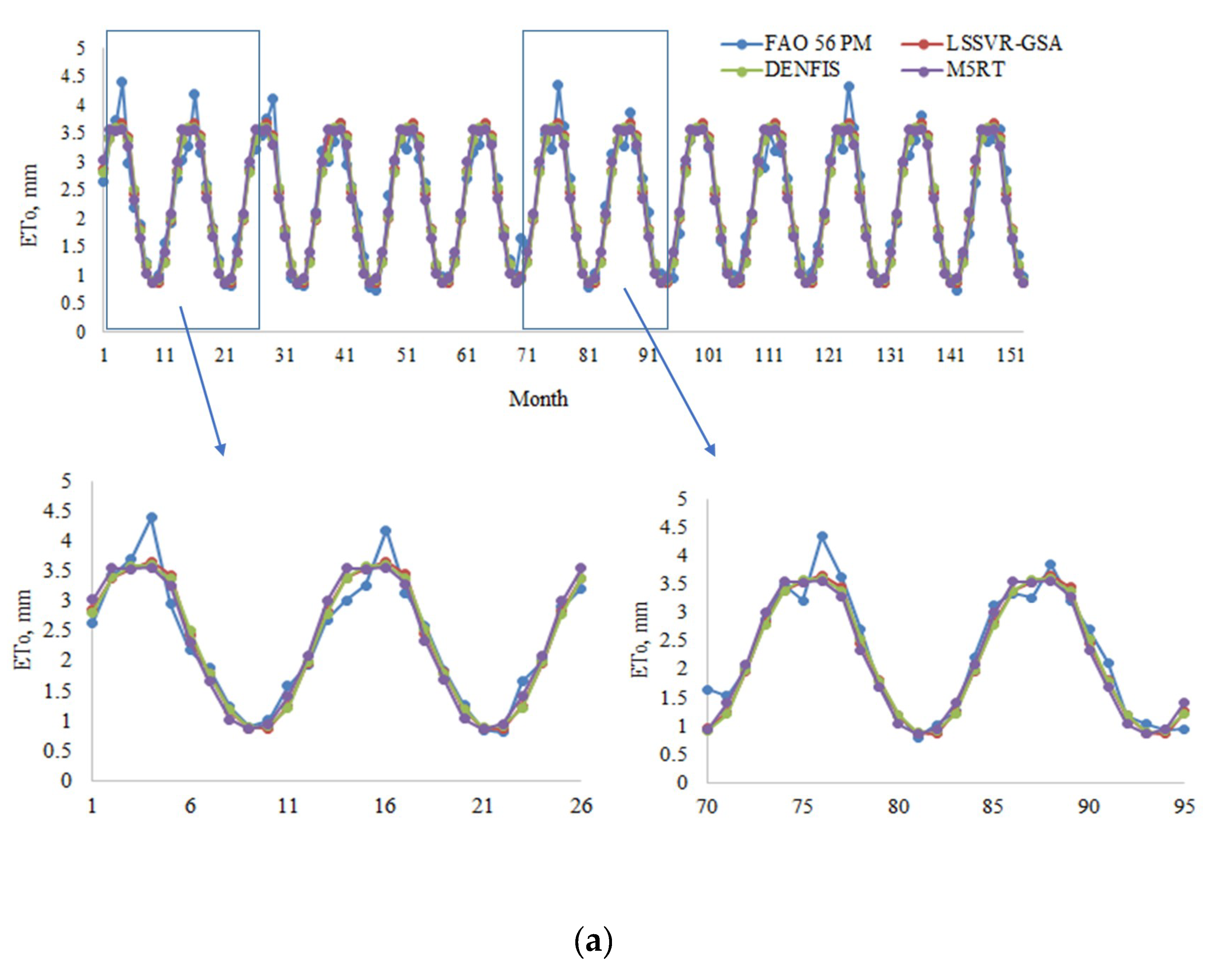
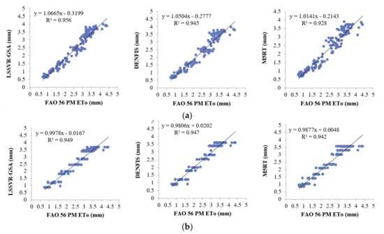
3. Application and Results
4. Conclusions
- In all three stations, the temperature or extra-terrestrial radiation-based LSSVR-GSA models performed superiorly to the DENFIS and M5RT models in estimating monthly ETo. In some cases, especially for the Ra based models, however, a slight difference was found between the LSSVR-GSA and DENFIS methods, while the M5RT provided the worst estimates.
- The results revealed that the only extra-terrestrial radiation input might provide better prediction accuracy for all the three methods, and this implies that the monthly ETo can be easily calculated with only Julian date or without temperature information.
- Importing periodicity information to the model’s inputs generally improved the prediction accuracy, and the accuracy of DENFIS was considerably increased in the third station (56029).
- Combining optimum air temperature and extra-terrestrial radiation inputs generally did not increase the accuracy of the methods in terms of estimation of monthly ETo. In one station (third station), however, the combination of both inputs improved the accuracy of DENFIS methods by 22% and 10% (RMSE) compared to optimum T and optimum Ra inputs, respectively. In this station, this method performed better than the LSSVR-GSA and M5RT.
Supplementary Materials
Author Contributions
Funding
Acknowledgments
Conflicts of Interest
References
- Gavili, S.; Sanikhani, H.; Kisi, O.; Mahmoudi, M.H. Evaluation of several soft computing methods in monthly evapotranspiration modelling. Meteorol. Appl. 2018, 25, 128–138. [Google Scholar] [CrossRef]
- Sanikhani, H.; Kisi, O.; Maroufpoor, E.; Yaseen, Z.M. Temperature-based modeling of reference evapotranspiration using several artificial intelligence models: Application of different modeling scenarios. Theor. Appl. Climatol. 2019, 135, 449–462. [Google Scholar] [CrossRef]
- Almorox, J.; Senatore, A.; Quej, V.H.; Mendicino, G. Worldwide assessment of the Penman–Monteith temperature approach for the estimation of monthly reference evapotranspiration. Theor. Appl. Climatol. 2018, 131, 693–703. [Google Scholar] [CrossRef]
- Kumar, M.; Raghuwanshi, N.S.; Singh, R.; Wallender, W.W.; Pruitt, W.O. Estimating evapotranspiration using artificial neural network. J. Irrig. Drain. Eng. 2002, 128, 224–233. [Google Scholar] [CrossRef]
- Tie, Q.; Hu, H.; Tian, F.; Holbrook, N.M. Comparing different methods for determining forest evapotranspiration and its components at multiple temporal scales. Sci. Total Environ. 2018, 633, 12–29. [Google Scholar] [CrossRef]
- Li, G.; Zhang, F.; Jing, Y.; Liu, Y.; Sun, G. Response of evapotranspiration to changes in land use and land cover and climate in China during 2001–2013. Sci. Total Environ. 2017, 596, 256–265. [Google Scholar] [CrossRef]
- Gharbia, S.S.; Smullen, T.; Gill, L.; Johnston, P.; Pilla, F. Spatially distributed potential evapotranspiration modeling and climate projections. Sci. Total Environ. 2018, 633, 571–592. [Google Scholar] [CrossRef]
- Keshtegar, B.; Kisi, O.; Arab, H.G.; Zounemat-Kermani, M. Subset modeling basis ANFIS for prediction of the reference evapotranspiration. Water Resour. Res. 2018, 32, 1101–1116. [Google Scholar]
- Malik, A.; Kumar, A.; Kisi, O. Daily pan evaporation estimation using heuristic methods with gamma test. J. Irrig. Drain. Eng. 2018, 144, 04018023. [Google Scholar] [CrossRef]
- Malik, A.; Kumar, A. Pan evaporation simulation based on daily meteorological data using soft computing techniques and multiple linear regression. Water Resour. Res. 2015, 29, 1859–1872. [Google Scholar] [CrossRef]
- Adnan, R.M.; Malik, A.; Kumar, A.; Parmar, K.S.; Kisi, O. Pan evaporation modeling by three different neuro-fuzzy intelligent systems using climatic inputs. Arab. J. Geosci. 2019, 12, 606. [Google Scholar] [CrossRef]
- Yuan, X.; Chen, C.; Lei, X.; Yuan, Y.; Adnan, R.M. Monthly runoff forecasting based on LSTM–ALO model. Stoch. Env. Res. Risk A. 2018, 32, 2199–2212. [Google Scholar] [CrossRef]
- Kisi, O.; Shiri, J.; Karimi, S.; Adnan, R.M. Three different adaptive neuro fuzzy computing techniques for forecasting long-period daily streamflows. In Big Data in Engineering Applications; Springer: Singapore, Singapore, 2018; pp. 303–321. [Google Scholar]
- Guven, A.; Kişi, Ö. Daily pan evaporation modeling using linear genetic programming technique. Irrig. Sci. 2011, 29, 135–145. [Google Scholar] [CrossRef]
- Kim, S.; Seo, Y.; Singh, V.P. Assessment of pan evaporation modeling using bootstrap resampling and soft computing methods. J. Comput. Civ. Eng. 2013, 29, 04014063. [Google Scholar] [CrossRef]
- El-Shafie, A.; Alsulami, H.M.; Jahanbani, H.; Najah, A. Multi-lead ahead prediction model of reference evapotranspiration utilizing ANN with ensemble procedure. Stoch. Env. Res. Risk A. 2013, 27, 1423–1440. [Google Scholar] [CrossRef]
- Chen, Q.; Mynett, A.E. Predicting Phaeocystis globosa bloom in Dutch coastal waters by decision trees and nonlinear piecewise regression. Ecol. Model. 2004, 176, 277–290. [Google Scholar] [CrossRef]
- Adnan, R.M.; Yuan, X.; Kisi, O.; Anam, R. Improving accuracy of river flow forecasting using LSSVR with gravitational search algorithm. Adv. Meteorol. 2017. [Google Scholar] [CrossRef]
- Kisi, O. Pan evaporation modeling using least square support vector machine, multivariate adaptive regression splines and M5 model tree. J. Hydrol. 2015, 528, 312–320. [Google Scholar] [CrossRef]
- Adnan, R.M.; Liang, Z.; Yuan, X.; Kisi, O.; Akhlaq, M.; Li, B. Comparison of LSSVR, M5RT, NF-GP, and NF-SC Models for Predictions of Hourly Wind Speed and Wind Power Based on Cross-Validation. Energies 2019, 12, 329. [Google Scholar] [CrossRef]
- Adnan, R.M.; Yuan, X.; Kisi, O.; Adnan, M.; Mehmood, A. Stream Flow Forecasting of Poorly Gauged Mountainous Watershed by Least Square Support Vector Machine, Fuzzy Genetic Algorithm and M5 Model Tree Using Climatic Data from Nearby Station. Water Resour. Manag. 2018, 32, 4469–4486. [Google Scholar] [CrossRef]
- Terzi, Ö.; Erol Keskin, M.; Dilek Taylan, E. Estimating evaporation using ANFIS. J. Irrig. Drain. Eng. 2006, 132, 503–507. [Google Scholar] [CrossRef]
- Moghaddamnia, A.; Gousheh, M.G.; Piri, J.; Amin, S.; Han, D. Evaporation estimation using artificial neural networks and adaptive neuro-fuzzy inference system techniques. Adv. Water Resour. 2009, 32, 88–97. [Google Scholar] [CrossRef]
- Shiri, J.; Dierickx, W.; Pour-Ali Baba, A.; Neamati, S.; Ghorbani, M.A. Estimating daily pan evaporation from climatic data of the State of Illinois, USA using adaptive neuro-fuzzy inference system (ANFIS) and artificial neural network (ANN). Hydrol. Res. 2011, 42, 491–502. [Google Scholar] [CrossRef]
- Muhammad Adnan, R.; Yuan, X.; Kisi, O.; Yuan, Y.; Tayyab, M.; Lei, X. Application of soft computing models in streamflow forecasting. In Proceedings of the Institution of Civil Engineers-Water Management; Thomas Telford Ltd.: London, UK, 2019; Volume 172, pp. 123–134. [Google Scholar]
- Sanikhani, H.; Kisi, O. River flow estimation and forecasting by using two different adaptive neuro-fuzzy approaches. Water Resour. Manag. 2012, 26, 1715–1729. [Google Scholar] [CrossRef]
- Heddam, S.; Dechemi, N. A new approach based on the dynamic evolving neural-fuzzy inference system (DENFIS) for modelling coagulant dosage (Dos): Case study of water treatment plant of Algeria. Desalin. Water Treat. 2015, 53, 1045–1053. [Google Scholar]
- Kasabov, N.K.; Song, Q. DENFIS: Dynamic evolving neural-fuzzy inference system and its application for time-series prediction. IEEE T. Fuzzy Sys. 2002, 10, 144–154. [Google Scholar] [CrossRef]
- Adnan, R.M.; Liang, Z.; El-Shafie, A.; Zounemat-Kermani, M.; Kisi, O. Prediction of Suspended Sediment Load Using Data-Driven Models. Water 2019, 11, 2060. [Google Scholar] [CrossRef]
- Rashedi, E.; Nezamabadi-Pour, H.; Saryazdi, S. GSA: A gravitational search algorithm. Inf. Sci. 2009, 179, 2232–2248. [Google Scholar] [CrossRef]
- Tao, H.; Diop, L.; Bodian, A.; Djaman, K.; Ndiaye, P.M.; Yaseen, Z.M. Reference evapotranspiration prediction using hybridized fuzzy model with firefly algorithm: Regional case study in Burkina Faso. Agric. Water Manag. 2018, 208, 140–151. [Google Scholar] [CrossRef]
- Adnan, R.M.; Liang, Z.; Trajkovic, S.; Zounemat-Kermani, M.; Li, B.; Kisi, O. Daily streamflow prediction using optimally pruned extreme learning machine. J. Hydrol. 2019, 577, 123981. [Google Scholar] [CrossRef]
- Mosavi, A.; Edalatifar, M. A hybrid neuro-fuzzy algorithm for prediction of reference evapotranspiration. In International Conference on Global Research and Education; Springer: Cham, Switzerland, 2018; pp. 235–243. [Google Scholar]
- Wu, L.; Zhou, H.; Ma, X.; Fan, J.; Zhang, F. Daily reference evapotranspiration prediction based on hybridized extreme learning machine model with bio-inspired optimization algorithms: Application in contrasting climates of China. J. Hydrol. 2019, 577, 123960. [Google Scholar] [CrossRef]
- Huang, G.; Wu, L.; Ma, X.; Zhang, W.; Fan, J.; Yu, X.; Zeng, W.; Zhou, H. Evaluation of CatBoost method for prediction of reference evapotranspiration in humid regions. J. Hydrol. 2019, 574, 1029–1041. [Google Scholar] [CrossRef]
- Allen, R.G.; Pereira, L.S.; Raes, D.; Smith, M. Crop Evapotranspiration-Guidelines for Computing Crop Water Requirements; FAO Irrigation and Drainage Paper 56; FAO: Rome, Italy, 1998; Volume 300. [Google Scholar]
- She, D.; Xia, J.; Zhang, Y. Changes in reference evapotranspiration and its driving factors in the middle reaches of Yellow River Basin, China. Sci. Total Environ. 2017, 607, 1151–1162. [Google Scholar] [CrossRef] [PubMed]
- Talei, A.; Chua, L.H.C.; Quek, C.; Jansson, P.E. Runoff forecasting using a Takagi–Sugeno neuro-fuzzy model with online learning. J. Hydrol. 2013, 488, 17–32. [Google Scholar] [CrossRef]
- Kisi, O.; Mansouri, I.; Hu, J.W. A New Method for Evaporation Modeling: Dynamic Evolving Neural-Fuzzy Inference System. Adv. Meteorol. 2017. [Google Scholar] [CrossRef]
- Heddam, S.; Watts, M.J.; Houichi, L.; Djemili, L.; Sebbar, A. Evolving connectionist systems (ECoSs): A new approach for modeling daily reference evapotranspiration (ET 0). Environ. Monit. Assess. 2018, 190, 516. [Google Scholar] [CrossRef]
- Kisi, O.; Heddam, S.; Yaseen, Z.M. The implementation of univariable scheme-based air temperature for solar radiation prediction: New development of dynamic evolving neural-fuzzy inference system model. Appl. Energy 2019, 241, 184–195. [Google Scholar] [CrossRef]
- Suykens, J.A.; Vandewalle, J. Recurrent least squares support vector machines. In IEEE Transactions on Circuits and Systems I: Fundamental Theory and Applications; IEEE: Piscataway, NJ, USA, 2000; Volume 47, pp. 1109–1114. [Google Scholar]
- Wu, Q.; Peng, C. Wind power grid connected capacity prediction using LSSVM optimized by the bat algorithm. Energies 2015, 8, 14346–14360. [Google Scholar] [CrossRef]
- Yuan, X.; Chen, C.; Yuan, Y.; Huang, Y.; Tan, Q. Short-term wind power prediction based on LSSVM–GSA model. Energy Conver. Manag. 2015, 101, 393–401. [Google Scholar] [CrossRef]
- Gu, Y.; Zhao, W.; Wu, Z. Online adaptive least squares support vector machine and its application in utility boiler combustion optimization systems. J. Process Control 2011, 21, 1040–1048. [Google Scholar] [CrossRef]
- Lu, P.; Ye, L.; Sun, B.; Zhang, C.; Zhao, Y.; Teng, J. A new hybrid prediction method of ultra-short-term wind power forecasting based on EEMD-PE and LSSVM optimized by the GSA. Energies 2018, 11, 697. [Google Scholar] [CrossRef]
- Sun, W.; Sun, J. Daily PM2. 5 concentration prediction based on principal component analysis and LSSVM optimized by cuckoo search algorithm. J. Environ. Manag. 2017, 188, 144–152. [Google Scholar] [CrossRef] [PubMed]
- Sahu, R.K.; Panda, S.; Padhan, S. A novel hybrid gravitational search and pattern search algorithm for load frequency control of nonlinear power system. Appl. Soft Comput. 2015, 29, 310–327. [Google Scholar] [CrossRef]
- Quinlan, J.R. Learning with continuous classes. In Proceedings of the 5th Australian Joint Conference on Artificial Intelligence; World Scientific: Singapore, Singapore, 1992; pp. 343–348. [Google Scholar]
- Adnan, R.M.; Liang, Z.; Heddam, S.; Zounemat-Kermani, M.; Kisi, O.; Li, B. Least square support vector machine and multivariate adaptive regression splines for streamflow prediction in mountainous basin using hydro-meteorological data as inputs. J. Hydrol. 2019, 124371. [Google Scholar] [CrossRef]
- Alipour, A.; Yarahmadi, J.; Mahdavi, M. Comparative study of M5 model tree and artificial neural network in estimating reference evapotranspiration using MODIS products. J. Climatol. 2014. [Google Scholar] [CrossRef]
- Kisi, O.; Kilic, Y. An investigation on generalization ability of artificial neural networks and M5 model tree in modeling reference evapotranspiration. Theor. Appl. Climatol. 2016, 126, 413–425. [Google Scholar] [CrossRef]
- Rahimikhoob, A.; Asadi, M.; Mashal, M. A comparison between conventional and M5 model tree methods for converting pan evaporation to reference evapotranspiration for semi-arid region. Water Resour. Manag. 2013, 27, 4815–4826. [Google Scholar] [CrossRef]
- Rahimikhoob, A. Comparison between M5 model tree and neural networks for estimating reference evapotranspiration in an arid environment. Water Resour. Manag. 2014, 28, 657–669. [Google Scholar] [CrossRef]











| Model Inputs | Validation Period | Test Period | ||||
|---|---|---|---|---|---|---|
| RMSE | MAE | R2 | RMSE | MAE | R2 | |
| LSSVM-GSA | ||||||
| Opt T | 0.246 | 0.184 | 0.958 | 0.246 | 0.182 | 0.953 |
| Opt T, α | 0.243 | 0.180 | 0.959 | 0.244 | 0.180 | 0.955 |
| Opt Ra | 0.341 | 0.246 | 0.920 | 0.277 | 0.219 | 0.935 |
| Opt Ra, α | 0.339 | 0.244 | 0.922 | 0.274 | 0.217 | 0.936 |
| Opt T, Opt Ra | 0.285 | 0.210 | 0.940 | 0.301 | 0.226 | 0.930 |
| Opt T, Opt Ra, α | 0.284 | 0.209 | 0.942 | 0.299 | 0.225 | 0.932 |
| DENFIS | ||||||
| Opt T | 0.271 | 0.198 | 0.947 | 0.249 | 0.190 | 0.950 |
| Opt T, α | 0.263 | 0.193 | 0.950 | 0.246 | 0.185 | 0.952 |
| Opt Ra | 0.342 | 0.248 | 0.919 | 0.281 | 0.221 | 0.934 |
| Opt Ra, α | 0.341 | 0.250 | 0.920 | 0.280 | 0.221 | 0.935 |
| Opt T, Opt Ra | 0.288 | 0.212 | 0.939 | 0.305 | 0.229 | 0.927 |
| Opt T, Opt Ra, α | 0.286 | 0.211 | 0.940 | 0.304 | 0.228 | 0.928 |
| M5RT | ||||||
| Opt T | 0.322 | 0.221 | 0.923 | 0.305 | 0.232 | 0.928 |
| Opt T, α | 0.304 | 0.215 | 0.931 | 0.323 | 0.239 | 0.931 |
| Opt Ra | 0.350 | 0.266 | 0.917 | 0.323 | 0.267 | 0.932 |
| Opt Ra, α | 0.348 | 0.264 | 0.918 | 0.322 | 0.264 | 0.933 |
| Opt T, Opt Ra | 0.304 | 0.219 | 0.931 | 0.309 | 0.231 | 0.923 |
| Opt T, Opt Ra, α | 0.301 | 0.215 | 0.933 | 0.306 | 0.230 | 0.925 |
| Model Inputs | Validation Period | Test Period | ||||
|---|---|---|---|---|---|---|
| RMSE | MAE | R2 | RMSE | MAE | R2 | |
| LSSVM-GSA | ||||||
| Opt T | 0.235 | 0.161 | 0.954 | 0.230 | 0.179 | 0.956 |
| Opt T, α | 0.233 | 0.158 | 0.955 | 0.228 | 0.176 | 0.961 |
| Opt Ra | 0.276 | 0.195 | 0.933 | 0.236 | 0.176 | 0.949 |
| Opt Ra, α | 0.273 | 0.192 | 0.935 | 0.234 | 0.175 | 0.950 |
| Opt T, Opt Ra | 0.245 | 0.170 | 0.944 | 0.238 | 0.195 | 0.940 |
| Opt T, Opt Ra, α | 0.236 | 0.164 | 0.950 | 0.232 | 0.182 | 0.952 |
| DENFIS | ||||||
| Opt T | 0.242 | 0.162 | 0.951 | 0.301 | 0.253 | 0.945 |
| Opt T, α | 0.240 | 0.162 | 0.952 | 0.227 | 0.171 | 0.961 |
| Opt Ra | 0.286 | 0.209 | 0.932 | 0.241 | 0.186 | 0.947 |
| Opt Ra, α | 0.288 | 0.213 | 0.930 | 0.268 | 0.207 | 0.942 |
| Opt T, Opt Ra | 0.276 | 0.187 | 0.944 | 0.284 | 0.215 | 0.938 |
| Opt T, Opt Ra, α | 0.260 | 0.178 | 0.945 | 0.269 | 0.208 | 0.940 |
| M5RT | ||||||
| Opt T | 0.265 | 0.189 | 0.940 | 0.310 | 0.227 | 0.921 |
| Opt T, α | 0.303 | 0.220 | 0.929 | 0.341 | 0.260 | 0.908 |
| Opt Ra | 0.289 | 0.211 | 0.929 | 0.251 | 0.191 | 0.942 |
| Opt Ra, α | 0.281 | 0.205 | 0.931 | 0.250 | 0.185 | 0.943 |
| Opt T, Opt Ra | 0.300 | 0.216 | 0.930 | 0.336 | 0.258 | 0.905 |
| Opt T, Opt Ra, α | 0.306 | 0.220 | 0.925 | 0.339 | 0.261 | 0.901 |
| Model Inputs | Validation Period | Test Period | ||||
|---|---|---|---|---|---|---|
| RMSE | MAE | R2 | RMSE | MAE | R2 | |
| LSSVM-GSA | ||||||
| Opt T | 0.202 | 0.160 | 0.968 | 0.230 | 0.172 | 0.954 |
| Opt T, α | 0.199 | 0.157 | 0.970 | 0.291 | 0.240 | 0.957 |
| Opt Ra | 0.230 | 0.179 | 0.957 | 0.262 | 0.205 | 0.947 |
| Opt Ra, α | 0.228 | 0.176 | 0.958 | 0.260 | 0.202 | 0.949 |
| Opt T, Opt Ra | 0.208 | 0.161 | 0.966 | 0.298 | 0.243 | 0.959 |
| Opt T, Opt Ra, α | 0.208 | 0.161 | 0.966 | 0.301 | 0.246 | 0.959 |
| DENFIS | ||||||
| Opt T | 0.217 | 0.160 | 0.964 | 0.291 | 0.239 | 0.951 |
| Opt T, α | 0.222 | 0.166 | 0.962 | 0.218 | 0.165 | 0.959 |
| Opt Ra | 0.231 | 0.178 | 0.957 | 0.268 | 0.209 | 0.944 |
| Opt Ra, α | 0.242 | 0.190 | 0.957 | 0.252 | 0.192 | 0.947 |
| Opt T, Opt Ra | 0.226 | 0.169 | 0.960 | 0.226 | 0.167 | 0.950 |
| Opt T, Opt Ra, α | 0.221 | 0.166 | 0.961 | 0.219 | 0.158 | 0.952 |
| M5RT | ||||||
| Opt T | 0.276 | 0.209 | 0.938 | 0.317 | 0.224 | 0.910 |
| Opt T, α | 0.270 | 0.205 | 0.942 | 0.315 | 0.220 | 0.912 |
| Opt Ra | 0.232 | 0.193 | 0.954 | 0.272 | 0.215 | 0.940 |
| Opt Ra, α | 0.228 | 0.180 | 0.956 | 0.269 | 0.210 | 0.943 |
| Opt T, Opt Ra | 0.263 | 0.195 | 0.944 | 0.302 | 0.213 | 0.920 |
| Opt T, Opt Ra, α | 0.260 | 0.193 | 0.946 | 0.299 | 0.210 | 0.922 |
© 2020 by the authors. Licensee MDPI, Basel, Switzerland. This article is an open access article distributed under the terms and conditions of the Creative Commons Attribution (CC BY) license (http://creativecommons.org/licenses/by/4.0/).
Share and Cite
Muhammad Adnan, R.; Chen, Z.; Yuan, X.; Kisi, O.; El-Shafie, A.; Kuriqi, A.; Ikram, M. Reference Evapotranspiration Modeling Using New Heuristic Methods. Entropy 2020, 22, 547. https://doi.org/10.3390/e22050547
Muhammad Adnan R, Chen Z, Yuan X, Kisi O, El-Shafie A, Kuriqi A, Ikram M. Reference Evapotranspiration Modeling Using New Heuristic Methods. Entropy. 2020; 22(5):547. https://doi.org/10.3390/e22050547
Chicago/Turabian StyleMuhammad Adnan, Rana, Zhihuan Chen, Xiaohui Yuan, Ozgur Kisi, Ahmed El-Shafie, Alban Kuriqi, and Misbah Ikram. 2020. "Reference Evapotranspiration Modeling Using New Heuristic Methods" Entropy 22, no. 5: 547. https://doi.org/10.3390/e22050547
APA StyleMuhammad Adnan, R., Chen, Z., Yuan, X., Kisi, O., El-Shafie, A., Kuriqi, A., & Ikram, M. (2020). Reference Evapotranspiration Modeling Using New Heuristic Methods. Entropy, 22(5), 547. https://doi.org/10.3390/e22050547

