Energy Dissipation and Decoherence in Solid-State Quantum Devices: Markovian versus non-Markovian Treatments
Abstract
1. Introduction
- (i)
- conventional (i.e., non-Lindblad) Markov models may lead to significant positivity violations;
- (ii)
- such intrinsic limitations may be avoided adopting properly designed Lindblad-type Markov schemes;
- (iii)
- density-matrix-based non-Markov models, namely quantum-kinetic treatments, may lead to positivity violations as well.
2. Markovian Dissipation Models
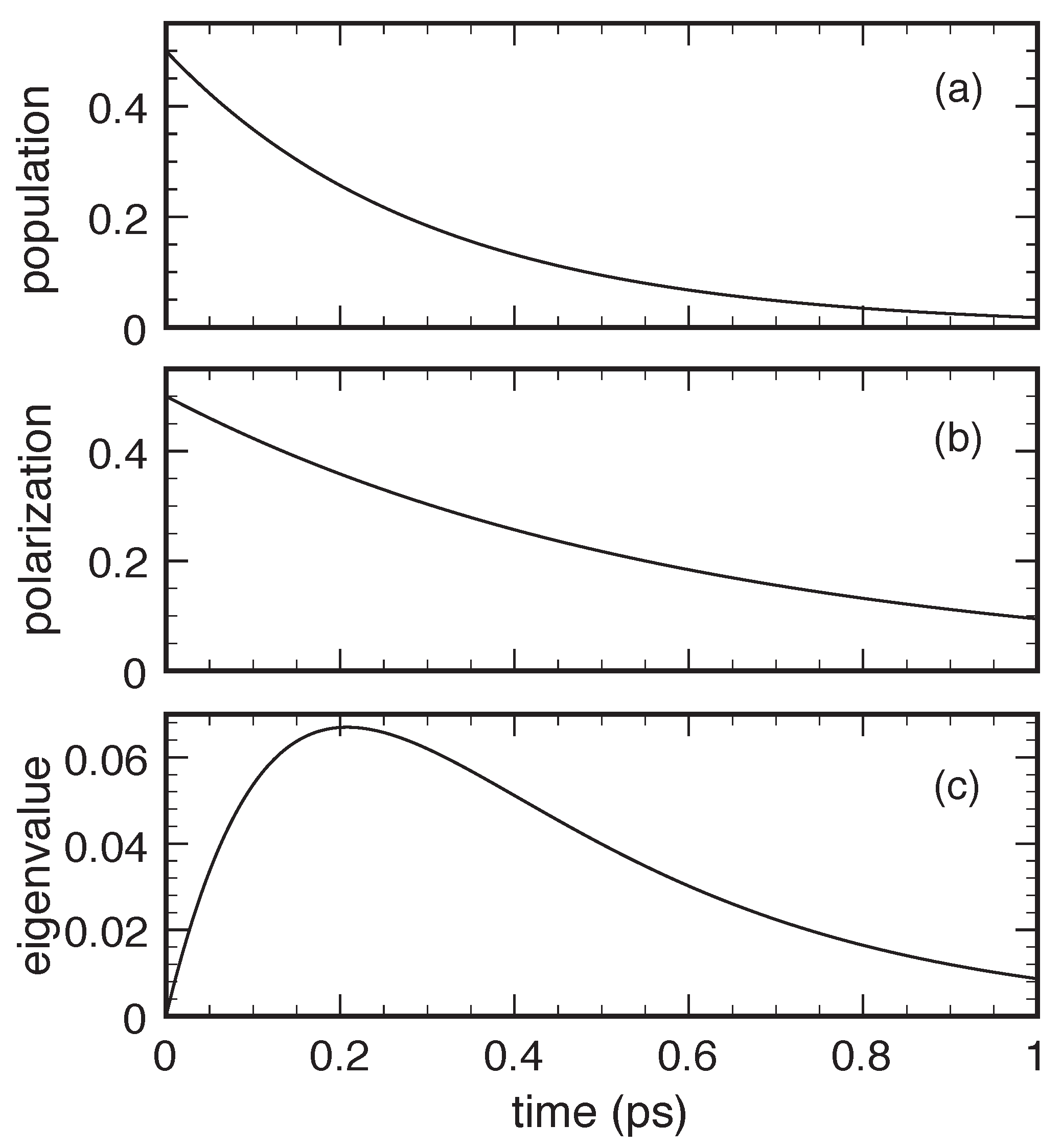
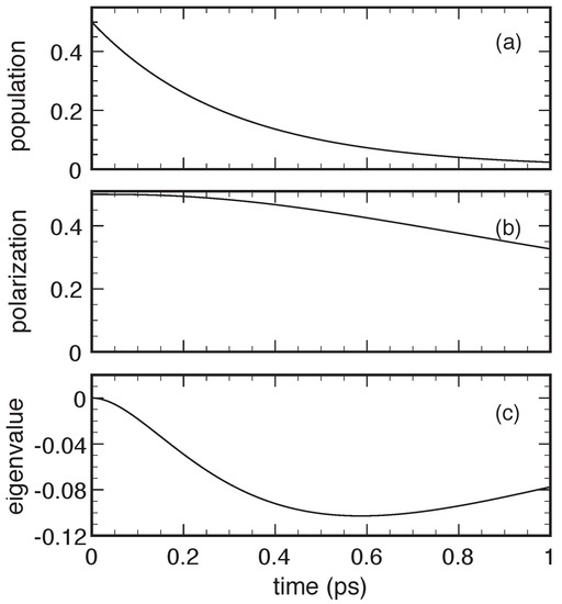
2.1. Conventional Adiabatic-Decoupling Scheme
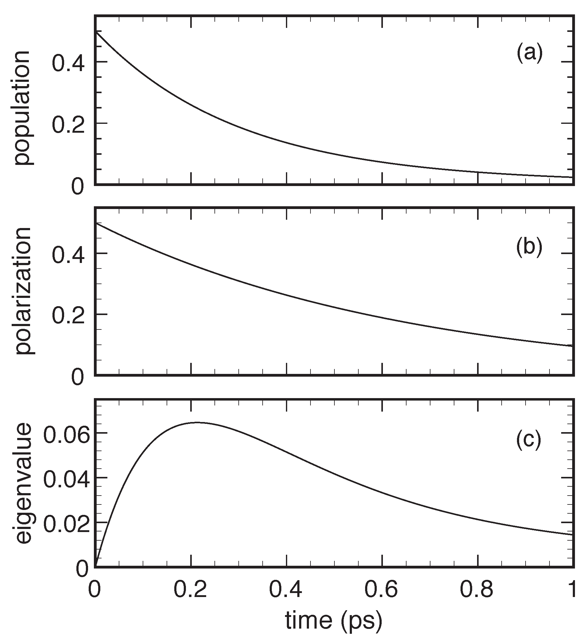
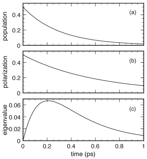
2.2. Lindblad-Type Adiabatic-Decoupling Scheme
2.3. Generalization to the Nonlinear Regime
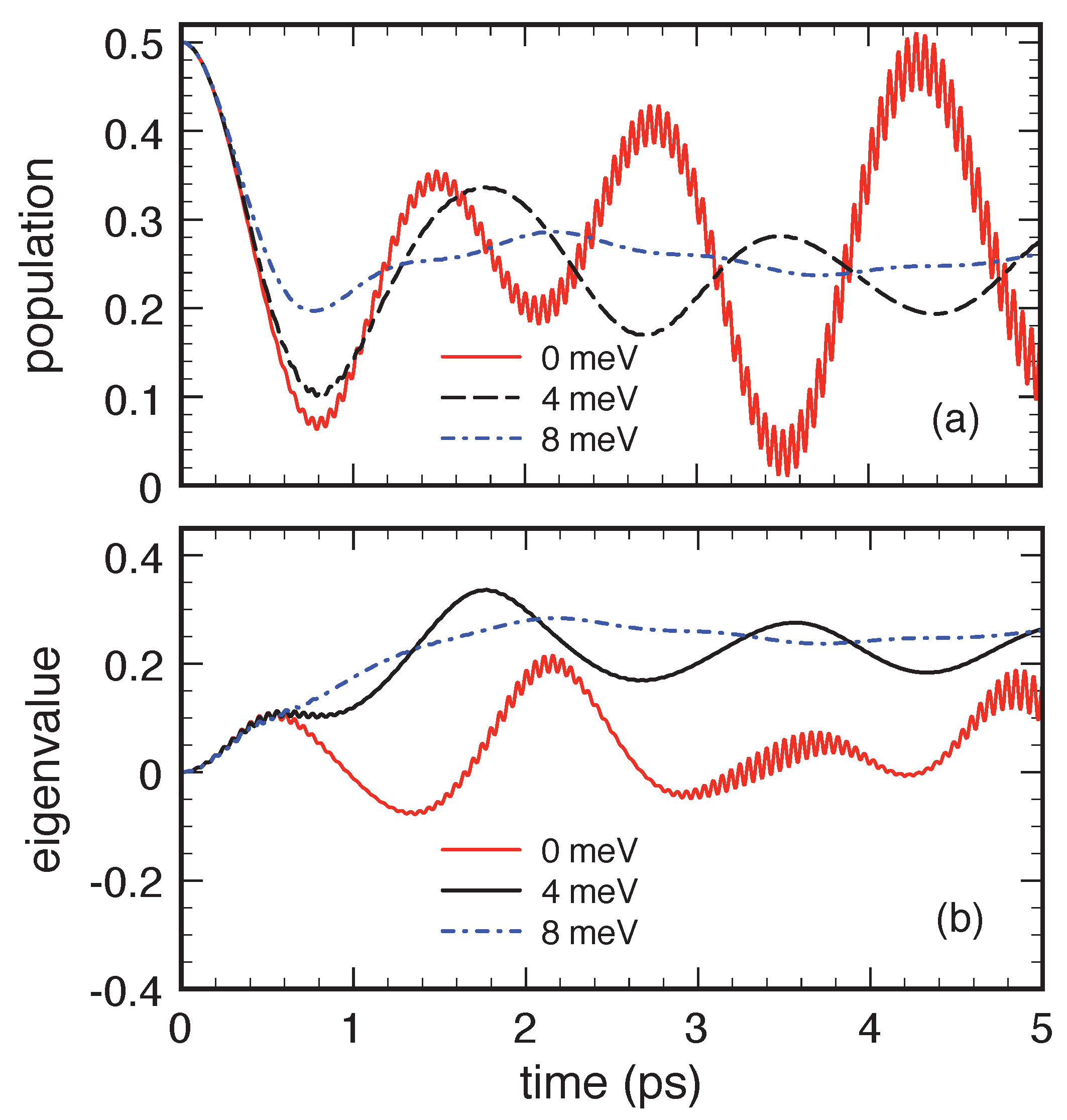
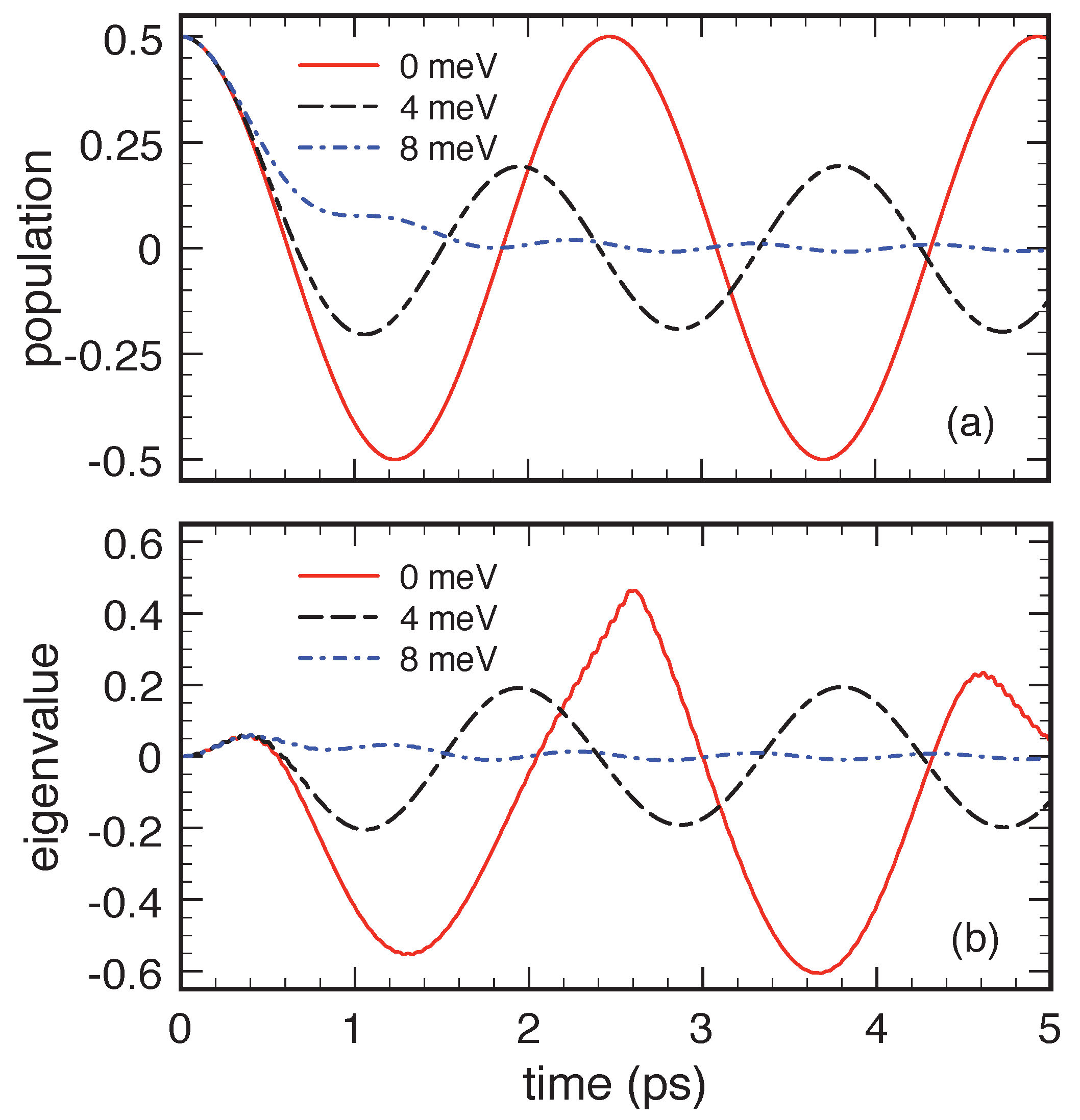
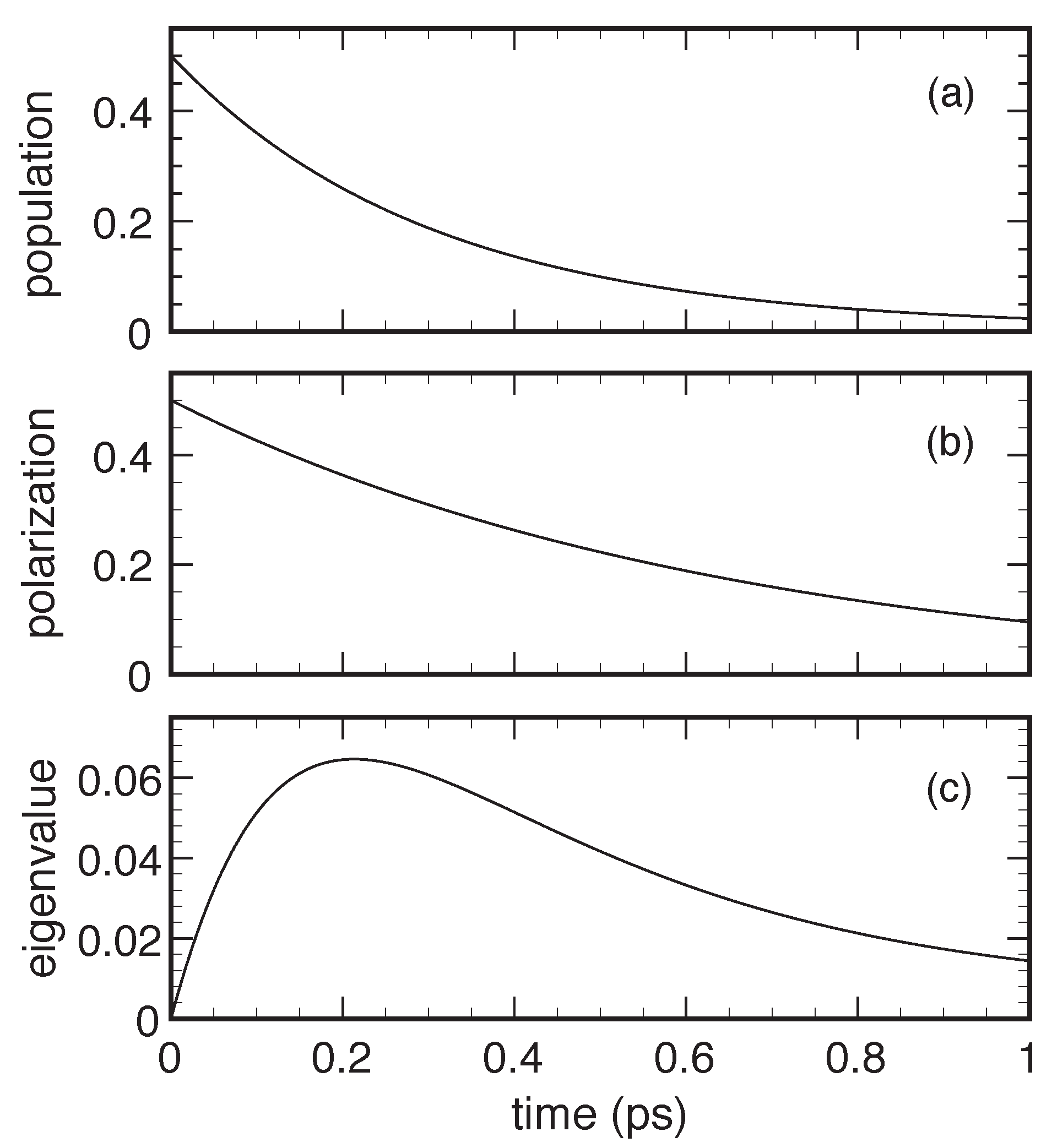
3. Non-Markovian Dissipation Models
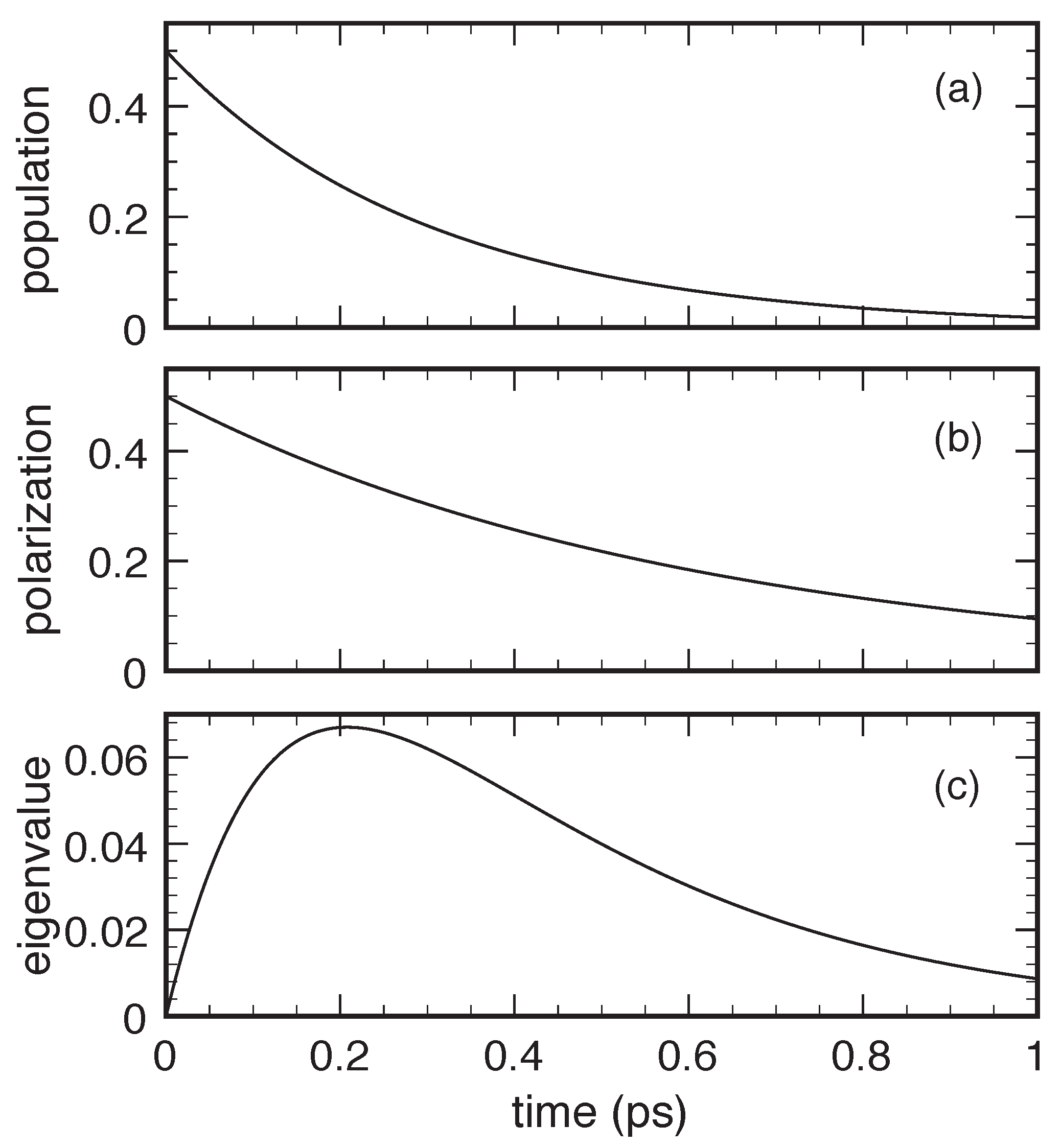
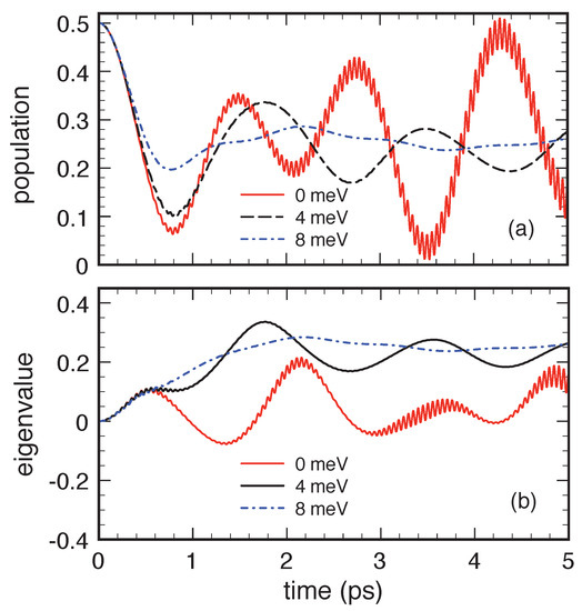
3.1. Low-Density Analysis
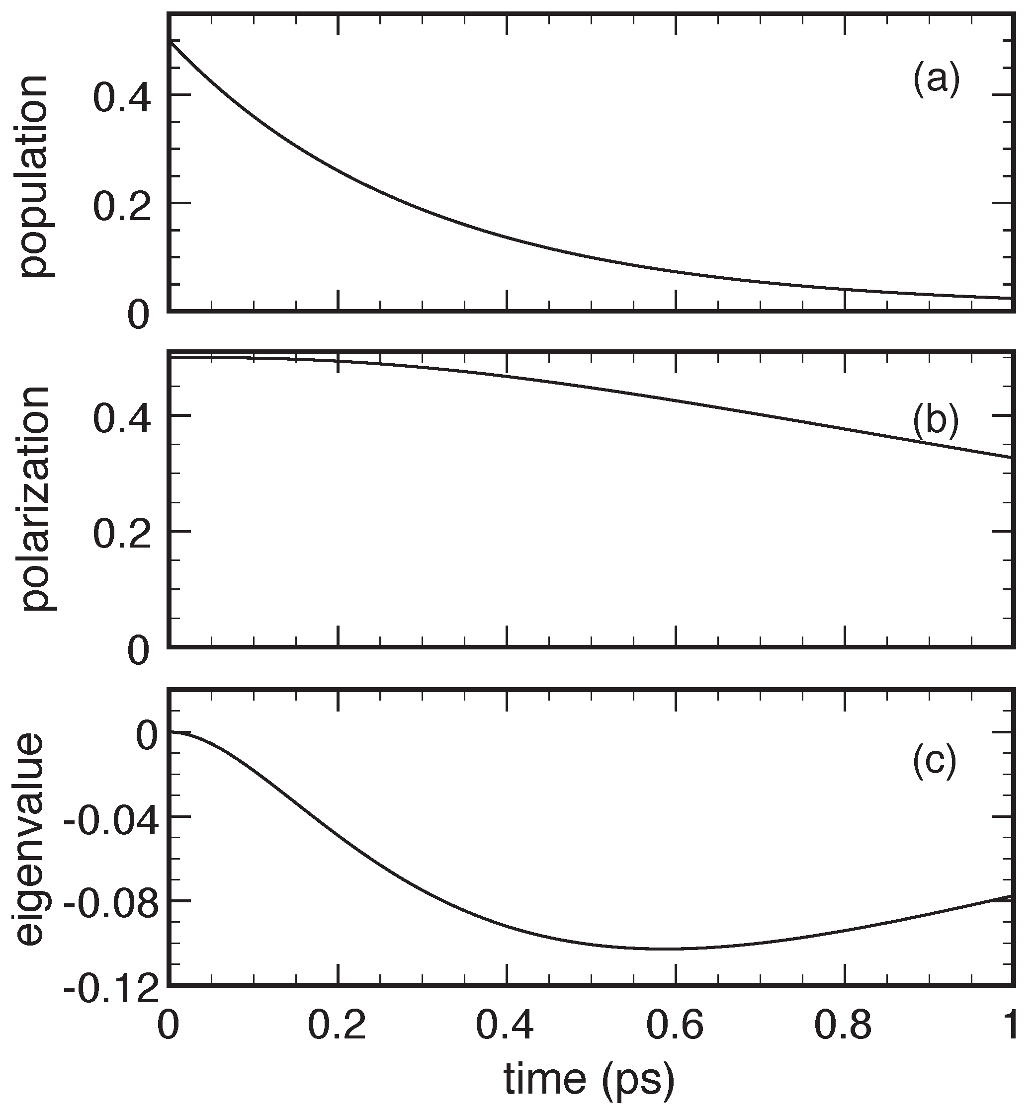
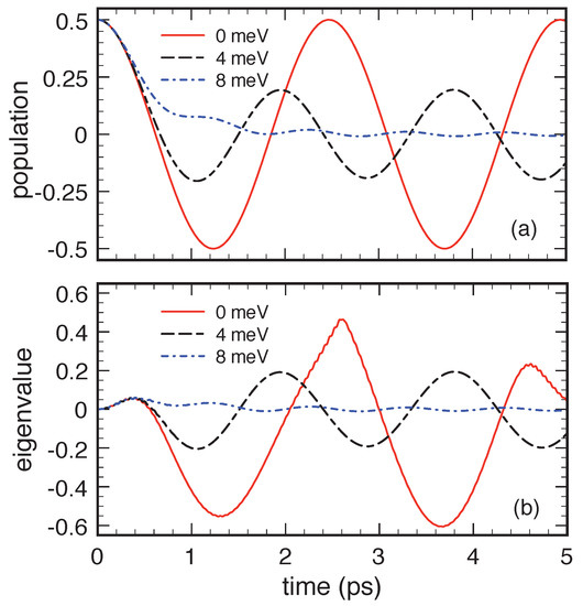
3.2. High-Density Analysis
4. Summary and Conclusions
Author Contributions
Funding
Conflicts of Interest
References
- Nielsen, M.; Chuang, I. Quantum Computation and Quantum Information: 10th Anniversary Edition; Cambridge University Press: Cambridge, UK, 2010. [Google Scholar]
- Bouwmeester, D.; Ekert, A.; Zeilinger, A. The Physics of Quantum Information: Quantum Cryptography, Quantum Teleportation, Quantum Computation; Springer: Berlin/Heidelberg, Germany, 2013. [Google Scholar]
- Rossi, F. (Ed.) Semiconductor Macroatoms: Basic Physics and Quantum-device Applications; Imperial College Press: London, UK, 2005. [Google Scholar]
- Benson, O.; Henneberger, F. (Eds.) Semiconductor Quantum Bits; Pan Stanford: Stanford, CA, USA, 2009. [Google Scholar]
- Weiss, U. Quantum Dissipative Systems; Series in modern condensed matter physics; World Scientific: Singapore, 2012. [Google Scholar]
- Ihn, T. Semiconductor Nanostructures: Quantum States and Electronic Transport; OUP Oxford: Oxford, UK, 2010. [Google Scholar]
- Rossi, F. Theory of Semiconductor Quantum Devices: Microscopic Modeling and Simulation Strategies; Springer: Berlin, Germany, 2011. [Google Scholar]
- Breuer, H.; Petruccione, F. The Theory of Open Quantum Systems; OUP Oxford: Oxford, UK, 2007. [Google Scholar]
- Shah, J. Ultrafast Spectroscopy of Semiconductors and Semiconductor Nanostructures; Springer Series in Solid-State Sciences; Springer: Berlin, Germany, 1999. [Google Scholar]
- Davies, E. Quantum Theory of Open Systems; Academic Press: Cambridge, MA, USA, 1976. [Google Scholar]
- Lindblad, G. Generators of quantum dynamical semigroups. Commun. Math. Phys. 1976, 48, 119–130. [Google Scholar] [CrossRef]
- Bonitz, M. Quantum Kinetic Theory; Teubner-Texte zur Physik, Teubner: Sonnewalde, Germany, 1998. [Google Scholar]
- Haug, H.; Koch, S. Quantum Theory of the Optical and Electronic Properties of Semiconductors; World Scientific: Singapore, 2004. [Google Scholar]
- Datta, S. Quantum Transport: Atom to Transistor; Cambridge University Press: Cambridge, UK, 2005. [Google Scholar]
- Haug, H.; Jauho, A. Quantum Kinetics in Transport and Optics of Semiconductors; Springer: Berlin, Germany, 2007. [Google Scholar]
- Jacoboni, C. Theory of Electron Transport in Semiconductors: A Pathway from Elementary Physics to Nonequilibrium Green Functions; Springer: Berlin, Germany, 2010. [Google Scholar]
- Iotti, R.C.; Ciancio, E.; Rossi, F. Quantum transport theory for semiconductor nanostructures: A density-matrix formulation. Phys. Rev. B 2005, 72, 125347. [Google Scholar] [CrossRef]
- Spohn, H. Kinetic equations from Hamiltonian dynamics: Markovian limits. Rev. Mod. Phys. 1980, 52, 569–615. [Google Scholar] [CrossRef]
- Taj, D.; Iotti, R.C.; Rossi, F. Microscopic modeling of energy relaxation and decoherence in quantum optoelectronic devices at the nanoscale. Eur. Phys. J. B 2009, 72, 305–322. [Google Scholar] [CrossRef]
- Dolcini, F.; Iotti, R.C.; Rossi, F. Interplay between energy dissipation and reservoir-induced thermalization in nonequilibrium quantum nanodevices. Phys. Rev. B 2013, 88, 115421. [Google Scholar] [CrossRef]
- Rosati, R.; Iotti, R.C.; Dolcini, F.; Rossi, F. Derivation of nonlinear single-particle equations via many-body Lindblad superoperators: A density-matrix approach. Phys. Rev. B 2014, 90, 125140. [Google Scholar] [CrossRef]
- Rosati, R.; Rossi, F. Scattering nonlocality in quantum charge transport: Application to semiconductor nanostructures. Phys. Rev. B 2014, 89, 205415. [Google Scholar] [CrossRef]
- Rosati, R.; Dolcini, F.; Rossi, F. Electron-phonon coupling in metallic carbon nanotubes: Dispersionless electron propagation despite dissipation. Phys. Rev. B 2015, 92, 235423. [Google Scholar] [CrossRef]
- Rosati, R.; Reiter, D.E.; Kuhn, T. Lindblad approach to spatiotemporal quantum dynamics of phonon-induced carrier capture processes. Phys. Rev. B 2017, 95, 165302. [Google Scholar] [CrossRef]
- Rosati, R.; Lengers, F.; Reiter, D.E.; Kuhn, T. Spatial control of carrier capture in two-dimensional materials: Beyond energy selection rules. Phys. Rev. B 2018, 98, 195411. [Google Scholar] [CrossRef]
- Tran Thoai, D.B.; Haug, H. Band-edge quantum kinetics for coherent ultrashort-pulse spectroscopy in polar semiconductors. Phys. Rev. B 1993, 47, 3574–3581. [Google Scholar] [CrossRef] [PubMed]
- Schilp, J.; Kuhn, T.; Mahler, G. Electron-phonon quantum kinetics in pulse-excited semiconductors: Memory and renormalization effects. Phys. Rev. B 1994, 50, 5435–5447. [Google Scholar] [CrossRef] [PubMed]
- Fürst, C.; Leitenstorfer, A.; Laubereau, A.; Zimmermann, R. Quantum Kinetic Electron-Phonon Interaction in GaAs: Energy Nonconserving Scattering Events and Memory Effects. Phys. Rev. Lett. 1997, 78, 3733–3736. [Google Scholar] [CrossRef]
- Bányai, L.; Vu, Q.T.; Mieck, B.; Haug, H. Ultrafast Quantum Kinetics of Time-Dependent RPA-Screened Coulomb Scattering. Phys. Rev. Lett. 1998, 81, 882–885. [Google Scholar] [CrossRef]
- Gartner, P.; Bányai, L.; Haug, H. Two-time electron-LO-phonon quantum kinetics and the generalized Kadanoff-Baym approximation. Phys. Rev. B 1999, 60, 14234–14241. [Google Scholar] [CrossRef]
- Vu, Q.T.; Haug, H.; Hügel, W.A.; Chatterjee, S.; Wegener, M. Signature of Electron-Plasmon Quantum Kinetics in GaAs. Phys. Rev. Lett. 2000, 85, 3508–3511. [Google Scholar] [CrossRef] [PubMed]
- Hannewald, K.; Glutsch, S.; Bechstedt, F. Quantum-Kinetic Theory of Hot Luminescence from Pulse-Excited Semiconductors. Phys. Rev. Lett. 2001, 86, 2451–2454. [Google Scholar] [CrossRef] [PubMed]
- Schmitt, O.M.; Thoai, D.B.T.; Bányai, L.; Gartner, P.; Haug, H. Bose-Einstein Condensation Quantum Kinetics for a Gas of Interacting Excitons. Phys. Rev. Lett. 2001, 86, 3839–3842. [Google Scholar] [CrossRef]
- Axt, V.M.; Haase, B.; Neukirch, U. Influence of Two-Pair Continuum Correlations Following Resonant Excitation of Excitons. Phys. Rev. Lett. 2001, 86, 4620–4623. [Google Scholar] [CrossRef]
- Betz, M.; Göger, G.; Laubereau, A.; Gartner, P.; Bányai, L.; Haug, H.; Ortner, K.; Becker, C.R.; Leitenstorfer, A. Subthreshold Carrier-LO Phonon Dynamics in Semiconductors with Intermediate Polaron Coupling: A Purely Quantum Kinetic Relaxation Channel. Phys. Rev. Lett. 2001, 86, 4684–4687. [Google Scholar] [CrossRef] [PubMed]
- Mieck, B.; Haug, H. Quantum-kinetic Langevin fluctuations for exciton Bose-Einstein condensation. Phys. Rev. B 2002, 66, 075111. [Google Scholar] [CrossRef]
- Wolterink, T.; Axt, V.M.; Kuhn, T. Role of exchange interaction in Coulomb quantum kinetics. Phys. Rev. B 2003, 67, 115311. [Google Scholar] [CrossRef]
- Herbst, M.; Glanemann, M.; Axt, V.M.; Kuhn, T. Electron-phonon quantum kinetics for spatially inhomogeneous excitations. Phys. Rev. B 2003, 67, 195305. [Google Scholar] [CrossRef]
- Förstner, J.; Weber, C.; Danckwerts, J.; Knorr, A. Phonon-Assisted Damping of Rabi Oscillations in Semiconductor Quantum Dots. Phys. Rev. Lett. 2003, 91, 127401. [Google Scholar] [CrossRef] [PubMed]
- Seebeck, J.; Nielsen, T.R.; Gartner, P.; Jahnke, F. Polarons in semiconductor quantum dots and their role in the quantum kinetics of carrier relaxation. Phys. Rev. B 2005, 71, 125327. [Google Scholar] [CrossRef]
- Butscher, S.; Förstner, J.; Waldmüller, I.; Knorr, A. Ultrafast electron-phonon interaction of intersubband transitions: Quantum kinetics from adiabatic following to Rabi-oscillations. Phys. Rev. B 2005, 72, 045314. [Google Scholar] [CrossRef]
- Glanemann, M.; Axt, V.M.; Kuhn, T. Transport of a wave packet through nanostructures: Quantum kinetics of carrier capture processes. Phys. Rev. B 2005, 72, 045354. [Google Scholar] [CrossRef]
- Indlekofer, K.M.; Knoch, J.; Appenzeller, J. Quantum kinetic description of Coulomb effects in one-dimensional nanoscale transistors. Phys. Rev. B 2005, 72, 125308. [Google Scholar] [CrossRef]
- Krügel, A.; Axt, V.M.; Kuhn, T. Back action of nonequilibrium phonons on the optically induced dynamics in semiconductor quantum dots. Phys. Rev. B 2006, 73, 035302. [Google Scholar] [CrossRef]
- Gartner, P.; Seebeck, J.; Jahnke, F. Relaxation properties of the quantum kinetics of carrier-LO-phonon interaction in quantum wells and quantum dots. Phys. Rev. B 2006, 73, 115307. [Google Scholar] [CrossRef]
- Vu, Q.T.; Haug, H.; Koch, S.W. Relaxation and dephasing quantum kinetics for a quantum dot in an optically excited quantum well. Phys. Rev. B 2006, 73, 205317. [Google Scholar] [CrossRef]
- Nedjalkov, M.; Vasileska, D.; Ferry, D.K.; Jacoboni, C.; Ringhofer, C.; Dimov, I.; Palankovski, V. Wigner transport models of the electron-phonon kinetics in quantum wires. Phys. Rev. B 2006, 74, 035311. [Google Scholar] [CrossRef]
- Zhou, J.; Cheng, J.L.; Wu, M.W. Spin relaxation in n-type GaAs quantum wells from a fully microscopic approach. Phys. Rev. B 2007, 75, 045305. [Google Scholar] [CrossRef]
- Shelykh, I.A.; Johne, R.; Solnyshkov, D.D.; Kavokin, A.V.; Gippius, N.A.; Malpuech, G. Quantum kinetic equations for interacting bosons and their application for polariton parametric oscillators. Phys. Rev. B 2007, 76, 155308. [Google Scholar] [CrossRef]
- Zhang, P.; Wu, M.W. Non-Markovian hole spin kinetics in p-type GaAs quantum wells. Phys. Rev. B 2007, 76, 193312. [Google Scholar] [CrossRef]
- Rozbicki, E.; Machnikowski, P. Quantum Kinetic Theory of Phonon-Assisted Excitation Transfer in Quantum Dot Molecules. Phys. Rev. Lett. 2008, 100, 027401. [Google Scholar] [CrossRef] [PubMed]
- Grodecka-Grad, A.; Förstner, J. Theory of phonon-mediated relaxation in doped quantum dot molecules. Phys. Rev. B 2010, 81, 115305. [Google Scholar] [CrossRef]
- Aeberhard, U. Quantum-kinetic theory of photocurrent generation via direct and phonon-mediated optical transitions. Phys. Rev. B 2011, 84, 035454. [Google Scholar] [CrossRef]
- Daniels, J.M.; Papenkort, T.; Reiter, D.E.; Kuhn, T.; Axt, V.M. Quantum kinetics of squeezed lattice displacement generated by phonon down conversion. Phys. Rev. B 2011, 84, 165310. [Google Scholar] [CrossRef]
- Thurn, C.; Axt, V.M. Quantum kinetic description of spin transfer in diluted magnetic semiconductors. Phys. Rev. B 2012, 85, 165203. [Google Scholar] [CrossRef]
- Papenkort, T.; Axt, V.M.; Kuhn, T. Optical excitation of squeezed longitudinal optical phonon states in an electrically biased quantum well. Phys. Rev. B 2012, 85, 235317. [Google Scholar] [CrossRef]
- Haug, H.; Doan, T.D.; Tran Thoai, D.B. Quantum kinetic derivation of the nonequilibrium Gross-Pitaevskii equation for nonresonant excitation of microcavity polaritons. Phys. Rev. B 2014, 89, 155302. [Google Scholar] [CrossRef]
- Cygorek, M.; Axt, V.M. Comparison between a quantum kinetic theory of spin transfer dynamics in Mn-doped bulk semiconductors and its Markov limit for nonzero Mn magnetization. Phys. Rev. B 2014, 90, 035206. [Google Scholar] [CrossRef]
- Papenkort, T.; Axt, V.M.; Kuhn, T. Stationary Phonon Squeezing by Optical Polaron Excitation. Phys. Rev. Lett. 2017, 118, 097401. [Google Scholar] [CrossRef] [PubMed]
- Ungar, F.; Cygorek, M.; Axt, V.M. Quantum kinetic equations for the ultrafast spin dynamics of excitons in diluted magnetic semiconductor quantum wells after optical excitation. Phys. Rev. B 2017, 95, 245203. [Google Scholar] [CrossRef]
- Ungar, F.; Cygorek, M.; Axt, V.M. Role of excited states in the dynamics of excitons and their spins in diluted magnetic semiconductors. Phys. Rev. B 2019, 99, 195309. [Google Scholar] [CrossRef]
- Zimmermann, R.; Wauer, J. Non-Markovian relaxation in semiconductors: An exactly soluble model. J. Lumin. 1994, 58, 271–274. [Google Scholar] [CrossRef]
- Iotti, R.C.; Rossi, F. Electronic phase coherence vs. dissipation in solid-state quantum devices: Two approximations are better than one. EPL 2015, 112, 67005. [Google Scholar] [CrossRef]
- Iotti, R.C.; Rossi, F. Phonon-induced dissipation and decoherence in solid-state quantum devices: Markovian versus non-Markovian treatments. Eur. Phys. J. B 2017, 90, 250. [Google Scholar] [CrossRef]
- Rossi, F.; Kuhn, T. Theory of ultrafast phenomena in photoexcited semiconductors. Rev. Mod. Phys. 2002, 74, 895–950. [Google Scholar] [CrossRef]
- Cho, G.C.; Kütt, W.; Kurz, H. Subpicosecond time-resolved coherent-phonon oscillations in GaAs. Phys. Rev. Lett. 1990, 65, 764–766. [Google Scholar] [CrossRef] [PubMed]
- Iotti, R.C.; Rossi, F.; Vitiello, M.S.; Scamarcio, G.; Mahler, L.; Tredicucci, A. Impact of nonequilibrium phonons on the electron dynamics in terahertz quantum cascade lasers. Appl. Phys. Lett. 2010, 97, 033110. [Google Scholar] [CrossRef]
- Vitiello, M.S.; Iotti, R.C.; Rossi, F.; Mahler, L.; Tredicucci, A.; Beere, H.E.; Ritchie, D.A.; Hu, Q.; Scamarcio, G. Non-equilibrium longitudinal and transverse optical phonons in terahertz quantum cascade lasers. Appl. Phys. Lett. 2012, 100, 091101. [Google Scholar] [CrossRef]
- Iotti, R.C.; Rossi, F. Coupled carrier–phonon nonequilibrium dynamics in terahertz quantum cascade lasers: A Monte Carlo analysis. New J. Phys. 2013, 15, 075027. [Google Scholar] [CrossRef]
- Verzelen, O.; Ferreira, R.; Bastard, G. Excitonic Polarons in Semiconductor Quantum Dots. Phys. Rev. Lett. 2002, 88, 146803. [Google Scholar] [CrossRef]
- Grange, T.; Ferreira, R.; Bastard, G. Polaron relaxation in self-assembled quantum dots: Breakdown of the semiclassical model. Phys. Rev. B 2007, 76, 241304. [Google Scholar] [CrossRef]
- Bányai, L.; Thoai, D.B.T.; Reitsamer, E.; Haug, H.; Steinbach, D.; Wehner, M.U.; Wegener, M.; Marschner, T.; Stolz, W. Exciton-LO Phonon Quantum Kinetics: Evidence of Memory Effects in Bulk GaAs. Phys. Rev. Lett. 1995, 75, 2188–2191. [Google Scholar] [CrossRef]
- Leitenstorfer, A.; Lohner, A.; Rick, K.; Leisching, P.; Elsaesser, T.; Kuhn, T.; Rossi, F.; Stolz, W.; Ploog, K. Excitonic and free-carrier polarizations of bulk GaAs studied by femtosecond coherent spectroscopy. Phys. Rev. B 1994, 49, 16372–16380. [Google Scholar] [CrossRef]
- Haas, S.; Rossi, F.; Kuhn, T. Generalized Monte Carlo approach for the study of the coherent ultrafast carrier dynamics in photoexcited semiconductors. Phys. Rev. B 1996, 53, 12855–12868. [Google Scholar] [CrossRef]
- Wehner, M.U.; Ulm, M.H.; Chemla, D.S.; Wegener, M. Coherent Control of Electron-LO-Phonon Scattering in Bulk GaAs. Phys. Rev. Lett. 1998, 80, 1992–1995. [Google Scholar] [CrossRef]
- De Rinaldis, S.; D’Amico, I.; Rossi, F. Intrinsic electric field effects on few-particle interactions in coupled GaN quantum dots. Phys. Rev. B 2004, 69, 235316. [Google Scholar] [CrossRef]
- Krummheuer, B.; Axt, V.M.; Kuhn, T.; D’Amico, I.; Rossi, F. Pure dephasing and phonon dynamics in GaAs- and GaN-based quantum dot structures: Interplay between material parameters and geometry. Phys. Rev. B 2005, 71, 235329. [Google Scholar] [CrossRef]
- Callsen, G.; Pahn, G.M.O.; Kalinowski, S.; Kindel, C.; Settke, J.; Brunnmeier, J.; Nenstiel, C.; Kure, T.; Nippert, F.; Schliwa, A.; et al. Analysis of the exciton-LO-phonon coupling in single wurtzite GaN quantum dots. Phys. Rev. B 2015, 92, 235439. [Google Scholar] [CrossRef]










© 2020 by the authors. Licensee MDPI, Basel, Switzerland. This article is an open access article distributed under the terms and conditions of the Creative Commons Attribution (CC BY) license (http://creativecommons.org/licenses/by/4.0/).
Share and Cite
Iotti, R.C.; Rossi, F. Energy Dissipation and Decoherence in Solid-State Quantum Devices: Markovian versus non-Markovian Treatments. Entropy 2020, 22, 489. https://doi.org/10.3390/e22040489
Iotti RC, Rossi F. Energy Dissipation and Decoherence in Solid-State Quantum Devices: Markovian versus non-Markovian Treatments. Entropy. 2020; 22(4):489. https://doi.org/10.3390/e22040489
Chicago/Turabian StyleIotti, Rita Claudia, and Fausto Rossi. 2020. "Energy Dissipation and Decoherence in Solid-State Quantum Devices: Markovian versus non-Markovian Treatments" Entropy 22, no. 4: 489. https://doi.org/10.3390/e22040489
APA StyleIotti, R. C., & Rossi, F. (2020). Energy Dissipation and Decoherence in Solid-State Quantum Devices: Markovian versus non-Markovian Treatments. Entropy, 22(4), 489. https://doi.org/10.3390/e22040489
 
        

 
      