High-Temperature Nano-Indentation Creep of Reduced Activity High Entropy Alloys Based on 4-5-6 Elemental Palette
Abstract
1. Introduction
2. Experimental
3. Results
4. Discussion
5. Conclusions
- (1)
- The creep exponent was in the range of 20–140 and activation volume was in the range of 13–20b3, indicating that the time-dependent deformations for all alloys were dislocation dominated.
- (2)
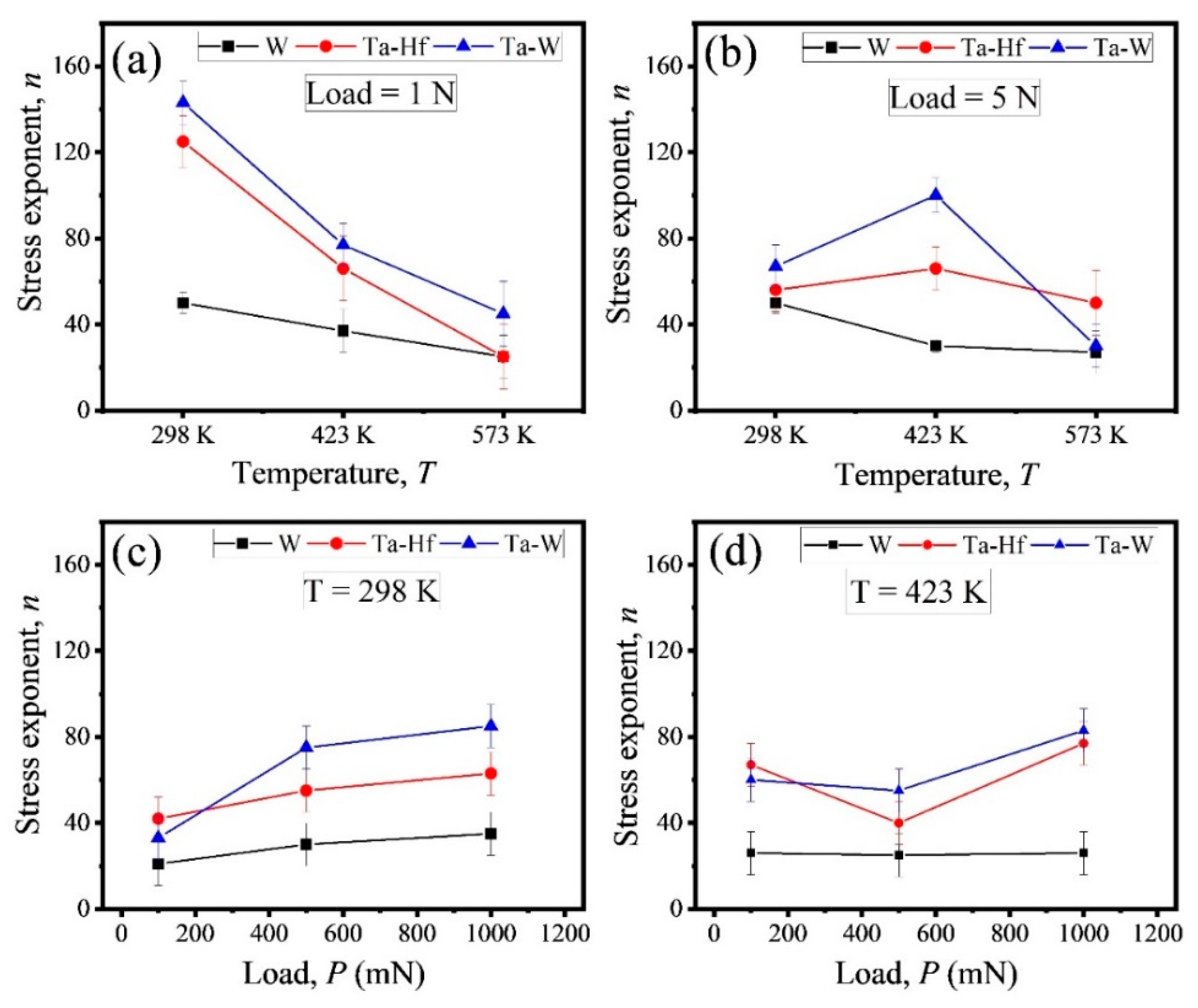
- The stress exponent decreased with increasing temperature owing to thermally activated dislocations and the reduction was sharper for HEAs compared to pure W.
- (3)
- The creep exponent increased with increasing load (depth) leading to an apparent size effect due to a higher generation rate of dislocation and their entanglement at larger penetration depth. A higher diffusion/annihilation rate of dislocations near the free surface at a smaller depth may be another possible explanation.
- (4)
- HEAs showed smaller creep displacement and higher activation energy compared to pure tungsten, which may be attributed to sluggish diffusion and severe lattice strains.
Author Contributions
Funding
Acknowledgments
Conflicts of Interest
References
- Zinkle, S.J.; Was, G.S. Materials challenges in nuclear energy. Acta Mater. 2013, 61, 735–758. [Google Scholar] [CrossRef]
- Murty, K.L.; Charit, I. Structural materials for Gen-IV nuclear reactors: Challenges and opportunities. J. Nucl. Mater. 2008, 383, 189–195. [Google Scholar] [CrossRef]
- Miracle, D.B.; Senkov, O.N. A critical review of high entropy alloys and related concepts. Acta Mater. 2017, 122, 448–511. [Google Scholar] [CrossRef]
- Zhang, Y.; Zuo, T.T.; Tang, Z.; Gao, M.C.; Dahmen, K.A.; Liaw, P.K.; Lu, Z.P. Microstructures and properties of high entropy alloys. Prog. Mater. Sci. 2014, 61, 1–93. [Google Scholar] [CrossRef]
- Sadeghilaridjani, M.; Ayyagari, A.; Muskeri, S.; Hasannaeimi, V.; Salloom, R.; Chen, W.-Y.; Mukherjee, S. Ion irradiation response and mechanical behavior of reduced activity high entropy alloy. J. Nucl. Mater. 2020, 529, 151955. [Google Scholar] [CrossRef]
- Senkov, O.N.; Wilks, G.B.; Miracle, D.B.; Chuang, C.P.; Liaw, P.K. Refractory high entropy alloys. Intermetallics 2010, 18, 1758–1765. [Google Scholar] [CrossRef]
- Senkov, O.N.; Scott, J.M.; Senkova, S.V.; Miracle, D.B.; Woodward, C.F. Microstructure and room temperature properties of a high entropy TaNbHfZrTi alloy. J. Alloys Compd. 2011, 509, 6043–6048. [Google Scholar] [CrossRef]
- Senkov, O.N.; Wilks, G.B.; Scott, J.M.; Miracle, D.B. Mechanical properties of Nb25Mo25Ta25W25 and V20Nb20Mo20Ta20W20 refractory high entropy alloys. Intermetallics 2011, 19, 698–706. [Google Scholar] [CrossRef]
- Ayyagari, A.; Salloom, R.; Muskeri, S.; Mukherjee, S. Low activation high entropy alloys for next generation nuclear applications. Materialia 2018, 4, 99–103. [Google Scholar] [CrossRef]
- Mathew, M.D.; Yang, H.; Movva, S.; Murty, K.L. Creep deformation characteristics of tin and tin-based electronic solder alloys. Metall. Mater. Trans. A 2005, 36, 99–105. [Google Scholar] [CrossRef]
- Tsao, T.-K.; Yeh, A.-C.; Kuo, C.-M.; Kakehi, K.; Murakami, H.; Yeh, J.-W.; Jian, S.-R. The High Temperature Tensile and Creep Behaviors of High Entropy Superalloy. Sci. Rep. 2017, 7, 12658. [Google Scholar] [CrossRef]
- Cao, C.; Fu, J.; Tong, T.; Hao, Y.; Gu, P.; Hao, H.; Peng, L. Intermediate-Temperature Creep Deformation and Microstructural Evolution of an Equiatomic FCC-Structured CoCrFeNiMn High-Entropy Alloy. Entropy 2018, 20, 960. [Google Scholar] [CrossRef]
- Choi, I.-C.; Kim, Y.-J.; Seok, M.-Y.; Yoo, B.-G.; Kim, J.-Y.; Wang, Y.; Jang, J.-I. Nanoscale room temperature creep of nanocrystalline nickel pillars at low stresses. Int. J. Plast. 2013, 41, 53–64. [Google Scholar] [CrossRef]
- Mridha, S.; Komarasamy, M.; Bhowmick, S.; Mishra, R.S.; Mukherjee, S. Small-Scale Plastic Deformation of Nanocrystalline High Entropy Alloy. Entropy 2018, 20, 889. [Google Scholar] [CrossRef]
- Ma, Y.; Feng, Y.H.; Debela, T.T.; Peng, G.J.; Zhang, T.H. Nanoindentation study on the creep characteristics of high-entropy alloy films: Fcc versus bcc structures. Int. J. Refract. Metals Hard Mater. 2016, 54, 395–400. [Google Scholar] [CrossRef]
- Maier, V.; Merle, B.; Göken, M.; Durst, K. An improved long-term nanoindentation creep testing approach for studying the local deformation processes in nanocrystalline metals at room and elevated temperatures. J. Mater. Res. 2013, 28, 1177–1188. [Google Scholar] [CrossRef]
- Sudharshan Phani, P.; Oliver, W.C. A direct comparison of high temperature nanoindentation creep and uniaxial creep measurements for commercial purity aluminum. Acta Mater. 2016, 111, 31–38. [Google Scholar] [CrossRef]
- Sadeghilaridjani, M.; Muskeri, S.; Hasannaeimi, V.; Pole, M.; Mukherjee, S. Strain rate sensitivity of a novel refractory high entropy alloy: Intrinsic versus extrinsic effects. Mater. Sci. Eng. A 2019, 766, 138326. [Google Scholar] [CrossRef]
- Sadeghilaridjani, M.; Mukherjee, S. Strain Gradient Plasticity in Multiprincipal Element Alloys. JOM 2019, 71, 3466–3472. [Google Scholar] [CrossRef]
- Mridha, S.; Das, S.; Aouadi, S.; Mukherjee, S.; Mishra, R.S. Nanomechanical Behavior of CoCrFeMnNi High-Entropy Alloy. JOM 2015, 67, 2296–2302. [Google Scholar] [CrossRef]
- Mridha, S.; Sadeghilaridjani, M.; Mukherjee, S. Activation Volume and Energy for Dislocation Nucleation in Multi-Principal Element Alloys. Metals 2019, 9, 263. [Google Scholar] [CrossRef]
- Shen, L.; Cheong, W.C.D.; Foo, Y.L.; Chen, Z. Nanoindentation creep of tin and aluminium: A comparative study between constant load and constant strain rate methods. Mater. Sci. Eng. A 2012, 532, 505–510. [Google Scholar] [CrossRef]
- Goodall, R.; Clyne, T.W. A critical appraisal of the extraction of creep parameters from nanoindentation data obtained at room temperature. Acta Mater. 2006, 54, 5489–5499. [Google Scholar] [CrossRef]
- Charitidis, C.A.; Dragatogiannis, D.A.; Koumoulos, E.P. A study on time dependent properties of aluminum alloy by nanoindentation technique. Int. J. Struct. Integ. 2013, 4, 33–54. [Google Scholar] [CrossRef]
- Huang, Y.J.; Chiu, Y.L.; Shen, J.; Chen, J.J.J.; Sun, J.F. Indentation creep of a Ti-based metallic glass. J. Mater. Res. 2009, 24, 993–997. [Google Scholar] [CrossRef][Green Version]
- Li, W.H.; Shin, K.; Lee, C.G.; Wei, B.C.; Zhang, T.H.; He, Y.Z. The characterization of creep and time-dependent properties of bulk metallic glasses using nanoindentation. Mater. Sci. Eng. A 2008, 478, 371–375. [Google Scholar] [CrossRef]
- Lee, D.-H.; Seok, M.-Y.; Zhao, Y.; Choi, I.-C.; He, J.; Lu, Z.; Suh, J.-Y.; Ramamurty, U.; Kawasaki, M.; Langdon, T.G.; et al. Spherical nanoindentation creep behavior of nanocrystalline and coarse-grained CoCrFeMnNi high-entropy alloys. Acta Mater. 2016, 109, 314–322. [Google Scholar] [CrossRef]
- Ma, Y.; Peng, G.J.; Wen, D.H.; Zhang, T.H. Nanoindentation creep behavior in a CoCrFeCuNi high-entropy alloy film with two different structure states. Mater. Sci. Eng. A 2015, 621, 111–117. [Google Scholar] [CrossRef]
- Wang, Z.; Guo, S.; Wang, Q.; Liu, Z.; Wang, J.; Yang, Y.; Liu, C.T. Nanoindentation characterized initial creep behavior of a high-entropy-based alloy CoFeNi. Intermetallics 2014, 53, 183–186. [Google Scholar] [CrossRef]
- Wang, X.; Gong, P.; Deng, L.; Jin, J.; Wang, S.; Zhou, P. Nanoindentation study on the room temperature creep characteristics of a senary Ti16.7Zr16.7Hf16.7Cu16.7Ni16.7Be16.7 high entropy bulk metallic glass. J. Non-Cryst. Solids 2017, 470, 27–37. [Google Scholar] [CrossRef]
- Chang, S.-Y.; Lin, S.-Y.; Huang, Y.-C.; Wu, C.-L. Mechanical properties, deformation behaviors and interface adhesion of (AlCrTaTiZr)Nx multi-component coatings. Surf. Coat. Tech. 2010, 204, 3307–3314. [Google Scholar] [CrossRef]
- Zhang, L.; Yu, P.; Cheng, H.; Zhang, H.; Diao, H.; Shi, Y.; Chen, B.; Chen, P.; Feng, R.; Bai, J.; et al. Nanoindentation Creep Behavior of an Al0.3CoCrFeNi High-Entropy Alloy. Metall. Mater. Trans. A 2016, 47, 5871–5875. [Google Scholar] [CrossRef]
- Abernethy, R.G. Predicting the performance of tungsten in a fusion environment: A literature review. Mater. Sci. Tech. 2017, 33, 388–399. [Google Scholar] [CrossRef]
- Forrest, R.A.; Tabasso, A.; Danani, C.; Jakhar, S.; Shaw, A.K. Handbook of Activation Data Calculated Using EASY-2007; United Kingdom Atomic Energy Authority: Abingdon, UK, 2009. [Google Scholar]
- Choi, I.-C.; Brandl, C.; Schwaiger, R. Thermally activated dislocation plasticity in body-centered cubic chromium studied by high-temperature nanoindentation. Acta Mater. 2017, 140, 107–115. [Google Scholar] [CrossRef]
- Zhang, W.-D.; Liu, Y.; Wu, H.; Lan, X.-D.; Qiu, J.; Hu, T.; Tang, H.-P. Room temperature creep behavior of Ti–Nb–Ta–Zr–O alloy. Mater. Charact. 2016, 118, 29–36. [Google Scholar] [CrossRef]
- Wang, Y.; Zhang, J.; Wu, K.; Liu, G.; Kiener, D.; Sun, J. Nanoindentation creep behavior of Cu–Zr metallic glass films. Mater. Res. Lett. 2018, 6, 22–28. [Google Scholar] [CrossRef]
- Sawant, A.; Tin, S.; Zhao, J.-C. High temperature nano-indentation of Ni-based superalloy. TMS Conf. Superalloys 2008, 863–871. [Google Scholar] [CrossRef]
- Almasri, A.H.; Voyiadjis, G.Z. Effect of Strain Rate on the Dynamic Hardness in Metals. J. Eng. Mater. Tech. 2007, 129, 505–512. [Google Scholar] [CrossRef]
- Li, H.; Ngan, A.H.W. Size effects of nanoindentation creep. J. Mater. Res. 2004, 19, 513–522. [Google Scholar] [CrossRef]
- Liu, Y.; Huang, C.; Bei, H.; He, X.; Hu, W. Room temperature nanoindentation creep of nanocrystalline Cu and Cu alloys. Mater. Lett. 2012, 70, 26–29. [Google Scholar] [CrossRef]
- Zhao, J.; Wang, F.; Huang, P.; Lu, T.J.; Xu, K.W. Depth dependent strain rate sensitivity and inverse indentation size effect of hardness in body-centered cubic nanocrystalline metals. Mater. Sci. Eng. A 2014, 615, 87–91. [Google Scholar] [CrossRef]
- Franke, O.; Trenkle, J.C.; Schuh, C.A. Temperature dependence of the indentation size effect. J. Mater. Res. 2010, 25, 1225–1229. [Google Scholar] [CrossRef]
- Oikawa, H.; Karashima, S. On the stress exponent and the rate-controlling mechanism of high-temperature creep in some solid solutions. Met. Trans. 1974, 5, 1179–1182. [Google Scholar] [CrossRef]
- Li, Y.J.; Mueller, J.; Hoppel, H.W.; Goken, M.; Blum, W. Deformation kinetics of nanocrystalline nickel. Acta Mater. 2007, 55, 5708–5717. [Google Scholar] [CrossRef]
- Shen, L.; Wu, Y.; Wang, S.; Chen, Z. Creep behavior of Sn–Bi solder alloys at elevated temperatures studied by nanoindentation. J. Mater. Sci. Mater. Electron. 2017, 28, 4114–4124. [Google Scholar] [CrossRef]
- Ginder, R.S.; Pharr, G.M. Characterization of power-law creep in the solid-acid CsHSO4 via nanoindentation. J. Mater. Res. 2019, 1130–1137. [Google Scholar] [CrossRef]
- Kang, Y.B.; Shim, S.H.; Lee, K.H.; Hong, S.I. Dislocation creep behavior of CoCrFeMnNi high entropy alloy at intermediate temperatures. Mater. Res. Lett. 2018, 6, 689–695. [Google Scholar] [CrossRef]
- He, J.Y.; Wang, H.; Wu, Y.; Liu, X.J.; Nieh, T.G.; Lu, Z.P. High-temperature plastic flow of a precipitation-hardened FeCoNiCr high entropy alloy. Mater. Sci. Eng. A 2017, 686, 34–40. [Google Scholar] [CrossRef]





© 2020 by the authors. Licensee MDPI, Basel, Switzerland. This article is an open access article distributed under the terms and conditions of the Creative Commons Attribution (CC BY) license (http://creativecommons.org/licenses/by/4.0/).
Share and Cite
Sadeghilaridjani, M.; Muskeri, S.; Pole, M.; Mukherjee, S. High-Temperature Nano-Indentation Creep of Reduced Activity High Entropy Alloys Based on 4-5-6 Elemental Palette. Entropy 2020, 22, 230. https://doi.org/10.3390/e22020230
Sadeghilaridjani M, Muskeri S, Pole M, Mukherjee S. High-Temperature Nano-Indentation Creep of Reduced Activity High Entropy Alloys Based on 4-5-6 Elemental Palette. Entropy. 2020; 22(2):230. https://doi.org/10.3390/e22020230
Chicago/Turabian StyleSadeghilaridjani, Maryam, Saideep Muskeri, Mayur Pole, and Sundeep Mukherjee. 2020. "High-Temperature Nano-Indentation Creep of Reduced Activity High Entropy Alloys Based on 4-5-6 Elemental Palette" Entropy 22, no. 2: 230. https://doi.org/10.3390/e22020230
APA StyleSadeghilaridjani, M., Muskeri, S., Pole, M., & Mukherjee, S. (2020). High-Temperature Nano-Indentation Creep of Reduced Activity High Entropy Alloys Based on 4-5-6 Elemental Palette. Entropy, 22(2), 230. https://doi.org/10.3390/e22020230

