Numerical Simulation on Convection and Thermal Radiation of Casson Fluid in an Enclosure with Entropy Generation
Abstract
1. Introduction
2. Mathematical Model
3. Entropy Generation Analysis
4. Cup Mixing Temperature and RMSD
5. Numerical Technique and Validation
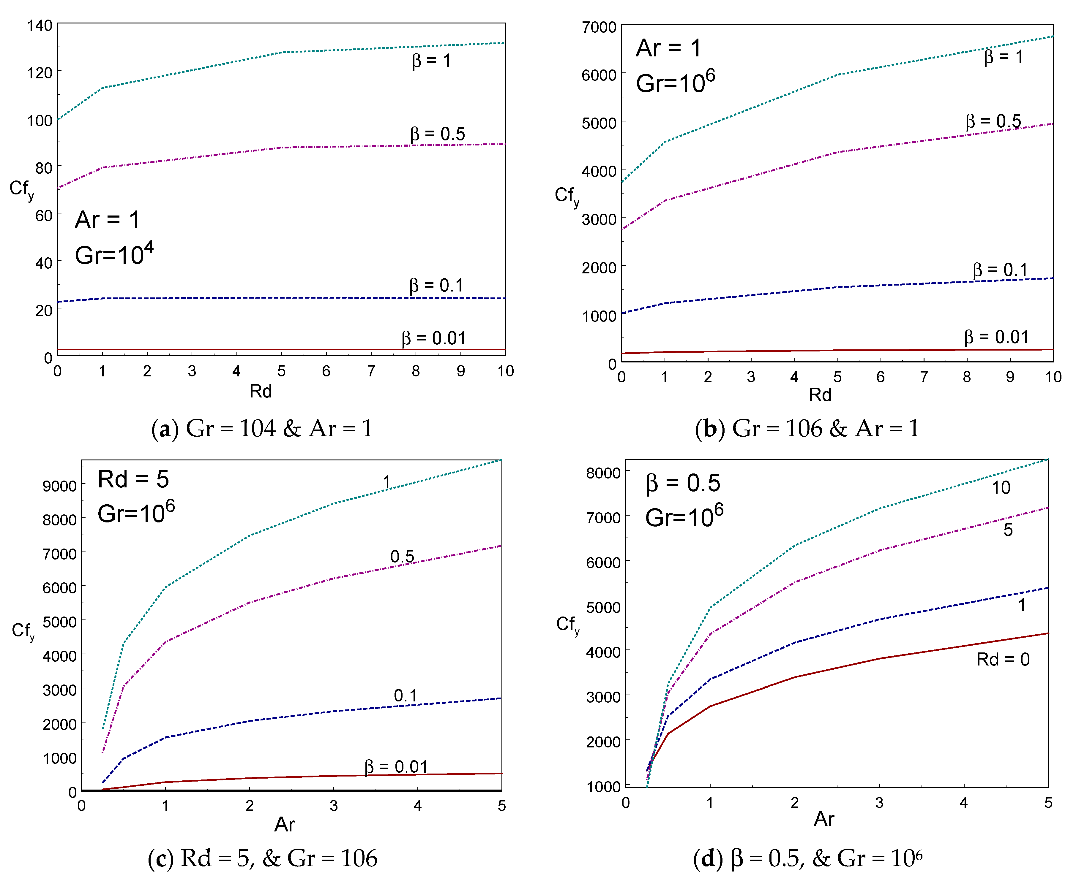
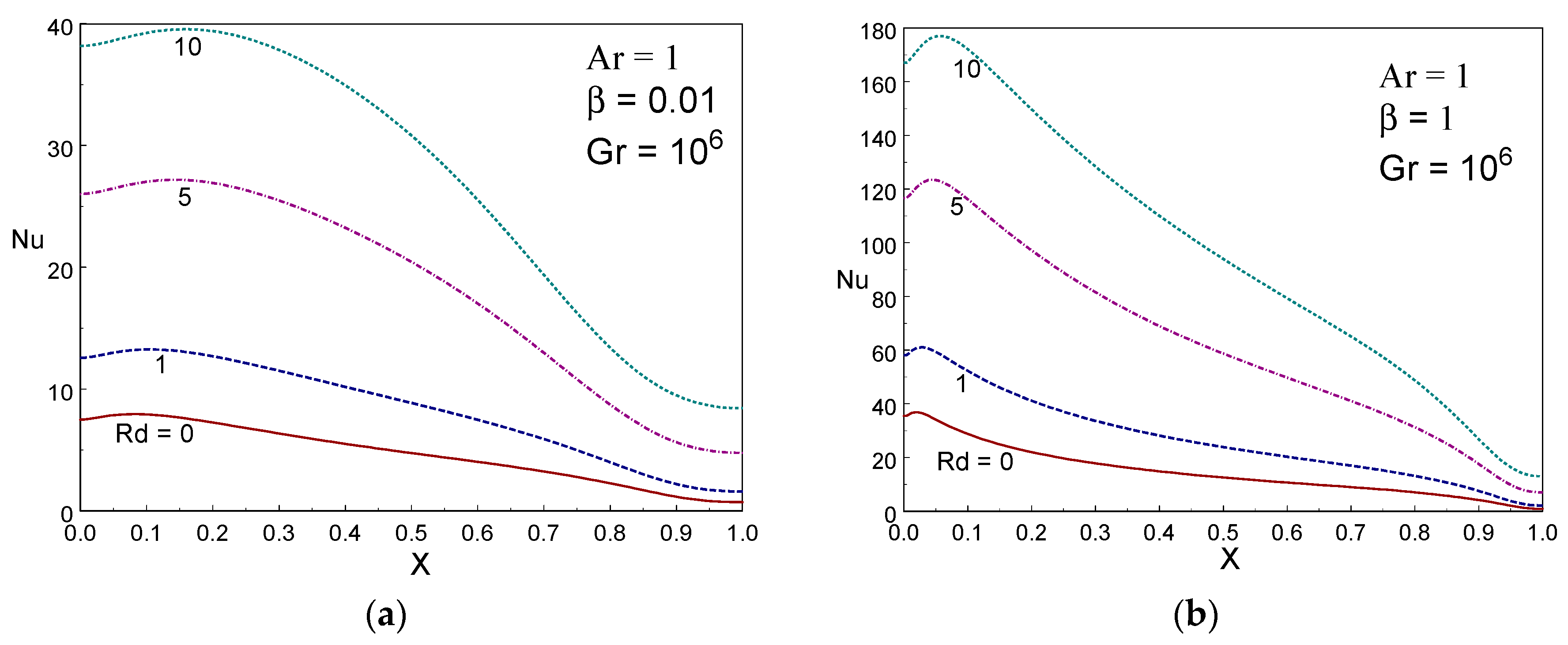
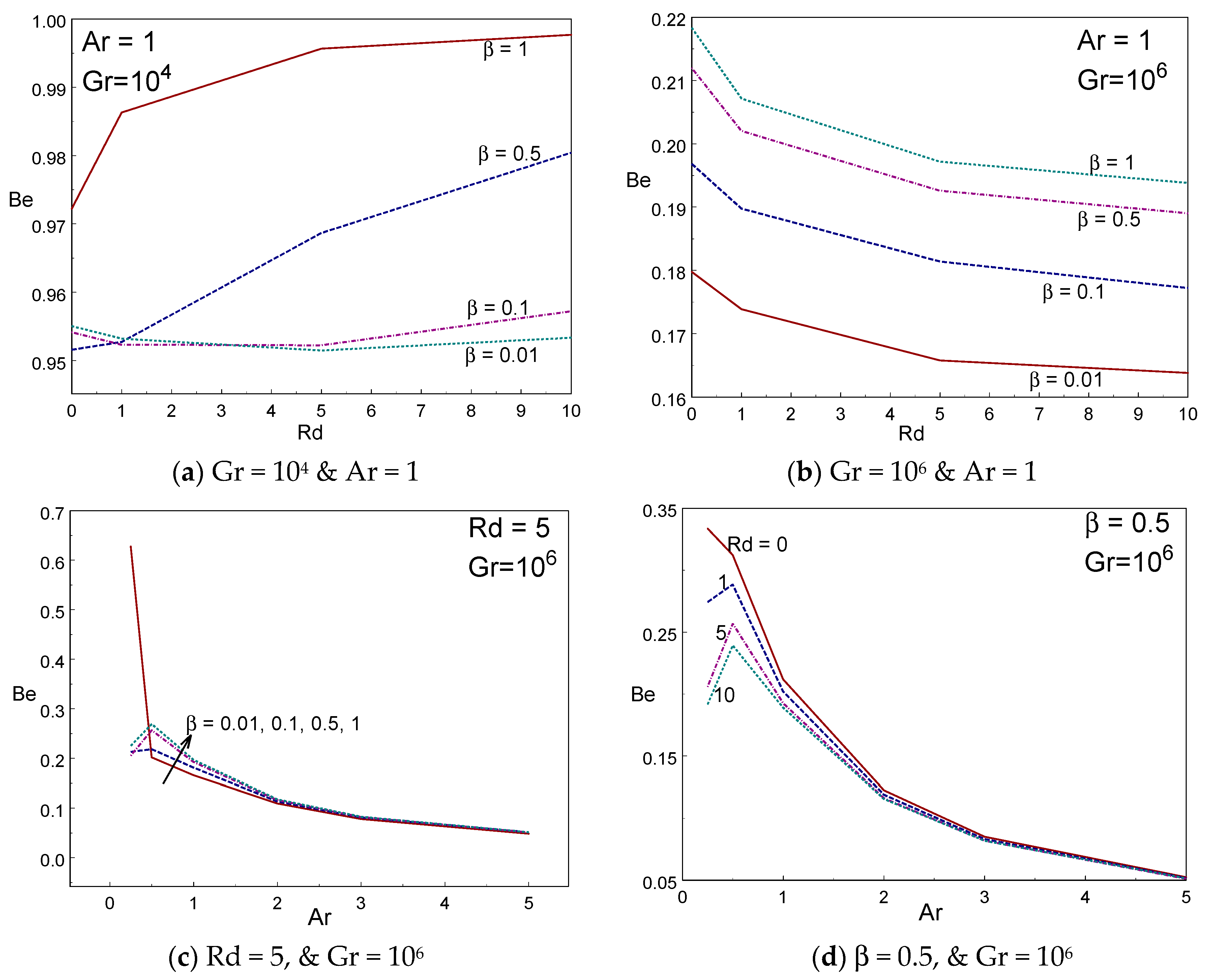
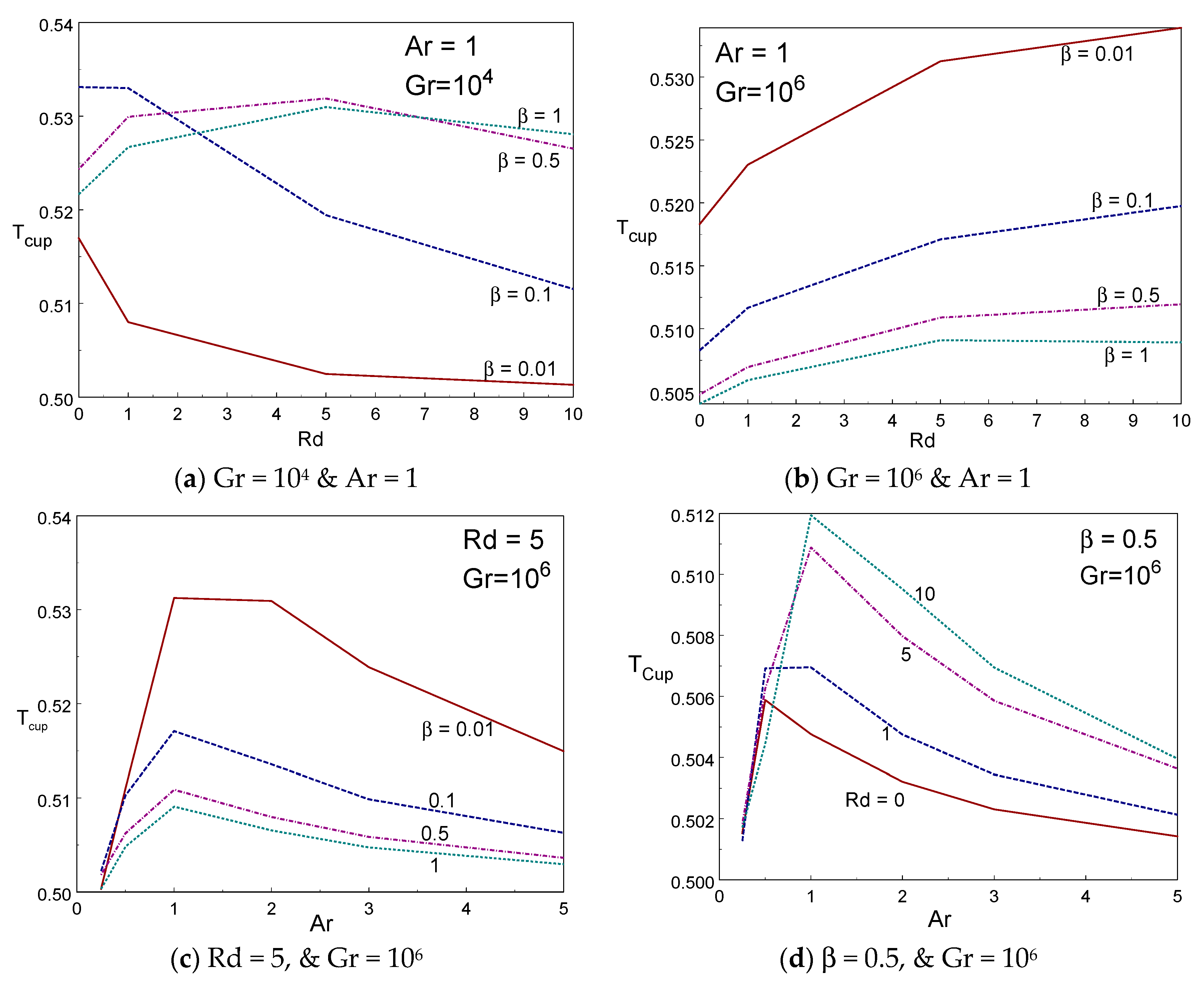
6. Results and Discussion
7. Conclusions
- ○
- Strong thermal layers at boundary are formed along the thermal walls.
- ○
- Thermal stratification found for higher values of β (= 1) for all values of radiation parameter.
- ○
- Skin friction develops with aspect ratio, thermal radiation, and Casson fluid parameter.
- ○
- The kinetic energy enhances with aspect ratio, thermal radiation, and Casson fluid parameter.
- ○
- Averaged heat transfer enhances with thermal radiation and Casson fluid parameter. However, it increases first and then declines when growing the aspect ratio of the box.
- ○
- The Bejan number enhances with Casson fluid parameter and declines with Ar.
- ○
- The cup mixing and average temperature behaves in a nonlinear fashion with aspect ratio of the box.
- ○
- The RMSDTavg augments while the Casson fluid parameter falls and it enhances by rising the thermal radiation.
- ○
- The RMSDTcup enhances while reducing the Casson fluid parameter and it augments by growing the thermal radiation.
Author Contributions
Funding
Acknowledgments
Conflicts of Interest
References
- Revnic, C.; Ghalambaz, M.; Grosan, T.; Sheremet, M.A.; Pop, I. Impacts of non-uniform border temperature variations on time-dependent nanofluid free convection within a trapezium: Buongiorno’s Nanofluid Model. Energies 2019, 12, 1461. [Google Scholar] [CrossRef]
- Cheong, H.T.; Sivasankaran, S.; Bhuvaneswari, M. Natural convection in a wavy porous cavity with sinusoidal heating and internal heat generation. Int. J. Numer. Methods Heat Fluid Flow 2017, 27, 287–309. [Google Scholar] [CrossRef]
- Janagi, K.; Sivasankaran, S.; Bhuvaneswari, M.; Eswaramurthi, M. Numerical study on free convection of cold water in a square porous cavity with sinusoidal wall temperature. Int. J. Numer. Methods Heat Fluid Flow 2017, 27, 1000–1014. [Google Scholar] [CrossRef]
- Sivasankaran, S.; Cheong, H.T.; Bhuvaneswari, M.; Ganesan, P. Effect of moving wall direction on mixed convection in an inclined lid-driven square cavity with sinusoidal heating. Numer. Heat Transf. A 2016, 69, 630–642. [Google Scholar] [CrossRef]
- Eswaramoorthi, S.; Bhuvaneswari, M.; Sivasankaran, S.; Rajan, S.; Alshomrani, A.S. Effect of viscous dissipation and Newtonian heating on convective flow of a second grade fluid over a stretching surface: Analytical and numerical study. Scientia Iranica-Trans. B Mech. Eng. 2019, 26, 1350–1357. [Google Scholar]
- Abbas, Z.; Sheikh, M.; Motsa, S.S. Numerical solution of binary chemical reaction on stagnation-point flow of Casson fluid over a stretching/shrinking sheet with thermal radiation. Energy 2016, 95, 12–20. [Google Scholar] [CrossRef]
- Rehman, K.U.; Malik, A.A.; Malik, M.Y.; Sandeep, N.; Saba, N.U. Numerical study of double stratification in Casson fluid flow in the presence of mixed convection and chemical reaction. Results Phys. 2017, 7, 2997–3006. [Google Scholar] [CrossRef]
- Malik, M.Y.; Khan, M.; Salahuddin, T.; Khan, I. Variable viscosity and MHD flow in Casson fluid with Cattaneo–Christov heat flux model: Using Keller box method. Eng. Sci. Technol. Int. J. 2016, 19, 1985–1992. [Google Scholar] [CrossRef]
- Pop, I.; Sheremet, M.A. Free convection in a square cavity filled with a Casson fluid under the effects of thermal radiation and viscous dissipation. Int. J. Numer. Methods Heat Fluid Flow 2017, 27, 2318–2332. [Google Scholar] [CrossRef]
- Sheremet, M.A.; Pop, I. Natural convection combined with thermal radiation in a square cavity filled with a viscoelastic fluid. Int. J. Numer. Methods Heat Fluid Flow 2018, 28, 624–640. [Google Scholar] [CrossRef]
- Srinivas, S.; Kumar, C.K.; Subramanyam Reddy, A. Pulsating flow of Casson fluid in a porous channel, with thermal radiation, chemical reaction and applied magnetic field. Nonlinear Anal. Model. Control 2018, 23, 213–233. [Google Scholar] [CrossRef]
- Niranjan, H.; Sivasankaran, S.; Bhuvaneswari, M. Chemical reaction, soret and dufour effects on MHD mixed convection stagnation point flow with radiation and slip condition. Sci. Iranica-Trans. B Mech. Eng. 2017, 24, 698–706. [Google Scholar] [CrossRef]
- Sivasankaran, S.; Niranjan, H.; Bhuvaneswari, M. Chemical reaction, radiation and slip effects on MHD mixed convection stagnation-point flow in a porous medium with convective boundary condition. Int. J. Numer. Methods Heat Fluid Flow 2017, 27, 454–470. [Google Scholar] [CrossRef]
- Zheng, S.; Liang, W.; Chu, H.; Zhou, H. Effects of radiation reabsorption of C1-C6 hydrocarbon flames at normal and elevated pressures. Fuel 2020, 266, 117061. [Google Scholar] [CrossRef]
- Sun, Y.; Zheng, S.; Jiang, B.; Tang, J.; Liu, F. One-dimensional P1 method for gas radiation heat transfer in spherical geometry. Int. J. Heat Mass Transf. 2019, 145, 118777. [Google Scholar] [CrossRef]
- Mansour, M.A.; Abd El-Aziz, M.M.; Mohamed, R.A.; Ahmed, S.E. Numerical simulation of natural convection in wavy porous cavities under the influence of thermal radiation using a thermal non equilibrium model. Transp. Porous Media 2011, 86, 585–600. [Google Scholar] [CrossRef]
- Mahapatra, T.R.; Pulal, D.; Mondal, S. Combined effects of thermal radiation and heat generation on natural convection in a square cavity filled with Darcy-Forchheimer porous medium. Int. J. Appl. Math. Comput. 2012, 4, 359–368. [Google Scholar]
- Miroshnichenko, I.V.; Sheremet, M.A.; Mohamad, A.A. The influence of surface radiation on the passive cooling of a heat-generating element. Energies 2019, 12, 980. [Google Scholar] [CrossRef]
- Sheremet, M.A.; Oztop, H.F.; Pop, I.; Abu-Hamdeh, N. Analysis of entropy generation in natural convection of nanofluid inside a square cavity having hot solid block: Tiwari and Das’ model. Entropy 2016, 18, 9. [Google Scholar] [CrossRef]
- Sheremet, M.A.; Grosan, T.; Pop, I. Natural convection and entropy generation in a square cavity with variable temperature side walls filled with a nanofluid: Buongiorno’s Mathematical Model. Entropy 2017, 19, 337. [Google Scholar] [CrossRef]
- Chamkha, A.J.; Selimefendigil, F. MHD free convection and entropy generation in a corrugated cavity filled with a porous medium saturated with nanofluids. Entropy 2018, 20, 846. [Google Scholar] [CrossRef]
- Chamkha, A.J.; Selimefendigil, F.; Oztop, H.F. MHD mixed convection and entropy generation in a lid-driven triangular cavity for various electrical conductivity models. Entropy 2018, 20, 903. [Google Scholar] [CrossRef]
- Alsabery, A.I.; Ismael, M.A.; Chamkha, A.J.; Hashim, I. Numerical investigation of mixed convection and entropy generation in a wavy-walled cavity filled with nanofluid and involving a rotating cylinder. Entropy 2018, 20, 664. [Google Scholar] [CrossRef]
- Oztop, H.F.; A Almeshaal, M.; Kolsi, L.; Rashidi, M.M.; E Ali, M. Natural Convection and irreversibility evaluation in a cubic cavity with partial opening in both top and bottom sides. Entropy 2019, 21, 116. [Google Scholar] [CrossRef]
- Khan, N.S.; Shah, Z.; Islam, S.; Khan, I.; Alkanhal, T.A.; Tlili, I. Entropy generation in MHD mixed convection non-Newtonian second-grade nanoliquid thin film flow through a porous medium with chemical reaction and stratification. Entropy 2019, 21, 139. [Google Scholar] [CrossRef]
- Ahmed, S.E.; Mansour, M.A.; Mahdy, A.; Mohamed, S.S. Entropy generation due to double diffusive convective flow of Casson fluids over nonlinearity stretching sheets with slip conditions. Eng. Sci. Technol. Int. J. 2017, 20, 1553–1562. [Google Scholar] [CrossRef]
- Hajji, F.; Mazgar, A.; Sakly, A.; Nejma, F.B. Entropy generation due to combined natural convection and thermal radiation within a rectangular enclosure. Heat Transf. Eng. 2018, 39, 1698–1714. [Google Scholar] [CrossRef]
- Daniel, Y.S.; Aziz, Z.A.; Ismail, Z.; Salah, F. Entropy analysis in electrical magnetohydro-dynamic (MHD) flow of nanofluid with effects of thermal radiation, viscous dissipation, and chemical reaction. Theor. Appl. Mech. Lett. 2017, 7, 235–242. [Google Scholar] [CrossRef]
- Kefayati, G.H.R.; Tang, H. Double-diffusive natural convection and entropy generation of Carreau fluid in a heated enclosure with an inner circular cold cylinder (Part I: Entropy generation). Int. J. Heat Mass Transf. 2018, 120, 683–713. [Google Scholar] [CrossRef]
- Kefayati, G.H.R. Double-diffusive natural convection and entropy generation of Bingham fluid in an inclined cavity. Int. J. Heat Mass Transf. 2018, 116, 762–812. [Google Scholar] [CrossRef]
- Chamkha, A.J.; Rashad, A.M.; Mansour, M.A.; Armaghani, T.; Ghalambaz, M. Effects of heat sink and source and entropy generation on MHD mixed convection of a Cu-water nanofluid in a lid-driven square porous enclosure with partial slip. Phys. Fluids 2017, 29, 052001. [Google Scholar] [CrossRef]
- Basak, T.; Kaluri, R.S.; Balakrishnan, A.R. Effects of thermal boundary conditions on entropy generation during natural convection. Numer. Heat Transf. Part A 2011, 59, 372–402. [Google Scholar] [CrossRef]
- Ho, C.J.; Chen, M.W.; Li, Z.W. Numerical simulation of natural convection of nanofluid in a square enclosure: Effects due to uncertainties of viscosity and thermal conductivity. Int. J. Heat Mass Transf. 2008, 51, 4506–4516. [Google Scholar] [CrossRef]
- Fusegi, T.; Hyun, J.M.; Kuwahara, K.; Farouk, B. A numerical study of three-dimensional natural convection in a differentially heated cubical enclosure. Int. J. Heat Mass Transf. 1991, 34, 1543–1557. [Google Scholar] [CrossRef]
















© 2020 by the authors. Licensee MDPI, Basel, Switzerland. This article is an open access article distributed under the terms and conditions of the Creative Commons Attribution (CC BY) license (http://creativecommons.org/licenses/by/4.0/).
Share and Cite
Alzahrani, A.K.; Sivasankaran, S.; Bhuvaneswari, M. Numerical Simulation on Convection and Thermal Radiation of Casson Fluid in an Enclosure with Entropy Generation. Entropy 2020, 22, 229. https://doi.org/10.3390/e22020229
Alzahrani AK, Sivasankaran S, Bhuvaneswari M. Numerical Simulation on Convection and Thermal Radiation of Casson Fluid in an Enclosure with Entropy Generation. Entropy. 2020; 22(2):229. https://doi.org/10.3390/e22020229
Chicago/Turabian StyleAlzahrani, A. K., S. Sivasankaran, and M. Bhuvaneswari. 2020. "Numerical Simulation on Convection and Thermal Radiation of Casson Fluid in an Enclosure with Entropy Generation" Entropy 22, no. 2: 229. https://doi.org/10.3390/e22020229
APA StyleAlzahrani, A. K., Sivasankaran, S., & Bhuvaneswari, M. (2020). Numerical Simulation on Convection and Thermal Radiation of Casson Fluid in an Enclosure with Entropy Generation. Entropy, 22(2), 229. https://doi.org/10.3390/e22020229

