Fluid Flow and Entropy Generation Analysis of Al2O3–Water Nanofluid in Microchannel Plate Fin Heat Sinks
Abstract
:1. Introduction
2. Mathematical Model
2.1. Physical Model and Assumptions
2.2. Governing Equations
2.3. Thermophysical Properties
2.4. Fluid Flow Analysis
2.5. Entropy Generation Analysis
3. Numerical Method
4. Results and Discussion
4.1. Model Validation
4.2. Effect of Reynolds Number on Pressure Drop and Frictional Entropy Generation
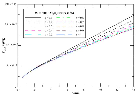
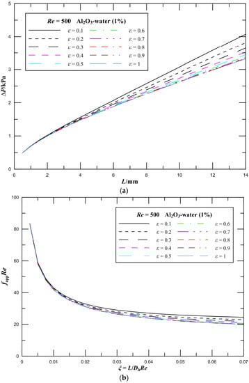
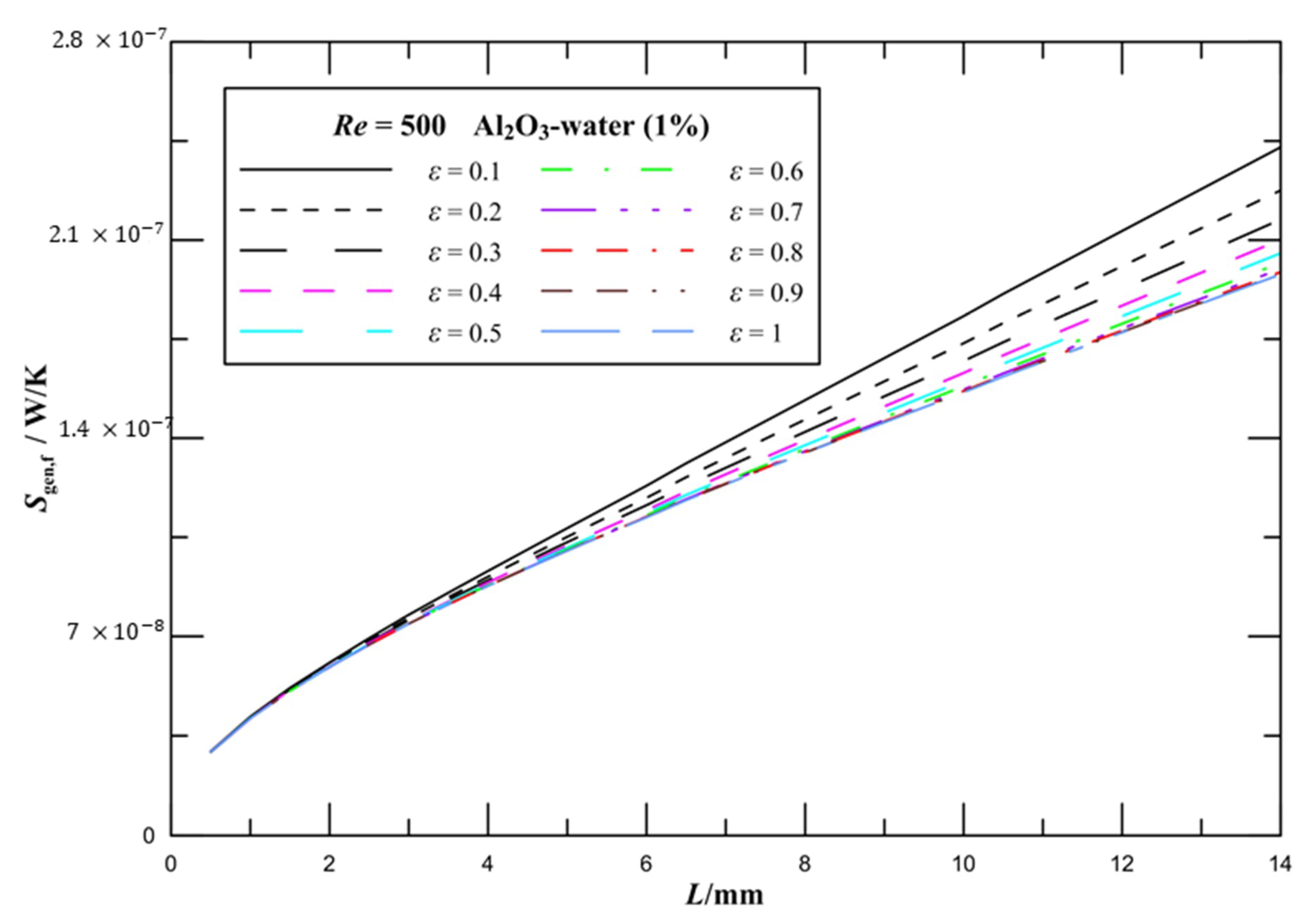
4.3. Effect of Aspect Ratio on Pressure Drop and Frictional Entropy Generation
4.4. Effect of Volume Fraction of Al2O3-water Nanofluid on Pressure Drop and Frictional Entropy Generation
5. Conclusions
- (1)
- For given nanoparticle volume fraction and channel aspect ratio, the frictional entropy generation and pressure drop of the microchannel plate fin heat sinks dramatically increase by increasing the Reynolds number. For the 1 vol.% Al2O3–water nanofluid, when the Reynolds number increases from 500 to 1000, the pressure drop and frictional entropy generation of rectangular microchannel heat sinks with aspect ratio ε = 1 increases by 144% and 389%, respectively. In addition, the fappRe at low Reynolds numbers is higher than the values at high Reynolds numbers, especially in the entrance region.
- (2)
- The frictional entropy generation and pressure drop slightly increases as the channel aspect ratio decreases. For the 1 vol.% Al2O3–water nanofluid, when the aspect ratio increases from 0.6 to 1 at Re = 500, the pressure drop of the channel decreases by 2%; however, when the aspect ratio increases from 0.1 to 0.5, the pressure drop of the channel decreases by 15%. The results also demonstrate that the flow parameters are not observably affected by the geometry of the cross-section at the entrance region.
- (3)
- Given an increase in nanoparticle volume fraction, the frictional entropy generation and pressure drop have a slight increase. When the nanoparticle volume fraction increases from 0 to 1% at Re = 500, the pressure drop of microchannel plate fin heat sinks with the aspect ratio ε = 0.5 increases by 3%. Further, when the nanoparticle volume fraction increases from 1 to 5%, the pressure drop of the channel increases by 12%. The results mean that a heat transfer enhancement can be obtained by adding appropriate volume fraction of nanoparticles in a base fluid without significantly increasing pump work.
- (4)
- The higher viscous entropy generation rate gradient and significantly higher fappRe values occur in the entrance region, which indicates the critical importance of the effect of the entry region in determining the behavior of microchannel heat sinks. Furthermore, the general expression of the entropy generation rate considering entrance effects is developed.
Author Contributions
Funding
Conflicts of Interest
Nomenclature
| a | major semi-axis of rectangle, μm |
| A | flow area, m2 |
| b | minor semi-axis of rectangle, μm |
| Cp | specific heat capacity at constant pressure, J/(kg·K) |
| dp | particle diameter, nm |
| Dh | hydraulic diameter, = 4A/P |
| f | Fanning friction factor, = |
| H | height of heat sinks, mm |
| k | thermal conductivity, W/(m·K) |
| L | length of heat sinks, mm |
| p | pressure, N/m2 |
| Po | Poiseuille number, = |
| Pr | Prandtl number,= |
| heat transfer rate, W | |
| R | evaluation object |
| Re | Reynolds number, = |
| local entropy generation rate, W/(m3·K) | |
| global entropy generation rate, W/K | |
| t | fin thickness, m |
| T | temperature, K |
| u | velocity, m/s |
| um | average velocity, m/s |
| U | velocity scale, m/s |
| Ui | uncertainty of the variable xi |
| W | width of heat sinks, mm |
| x, y | Cartesian coordinates, m |
| xi | independent variable |
| z | coordinate in flow direction, m |
| Greek symbols | |
| ε | aspect ratio, = b/a |
| μ | dynamic viscosity, N·s/m2 |
| ν | kinematic viscosity, m2/s |
| ξ | dimensionless hydrodynamic channel length, = |
| ρ | density, kg/m3 |
| wall shear stress, N/m2 | |
| nanoparticle volume fraction, % | |
| Subscripts | |
| a | ambient |
| b | heat sink base surface |
| bf | base fluid |
| Dh | based upon the hydraulic diameter |
| m | mean |
| nf | nanofluid |
| p | nanoparticle |
References
- Ma, N.Y.; Duan, Z.P.; Ma, H.; Su, L.B.; Liang, P.; Ning, X.R.; He, B.S.; Zhang, X. Lattice Boltzmann simulation of the hydrodynamic entrance region of rectangular microchannels in the slip regime. Micromachines 2018, 9, 87. [Google Scholar] [CrossRef] [PubMed]
- Wang, S.X.; Yin, Y.; Hu, C.X.; Rezai, P. 3D integrated circuit cooling with microfluidics. Micromachines 2018, 9, 287. [Google Scholar] [CrossRef] [PubMed]
- Duan, Z.P.; Ma, H.; He, B.S.; Su, L.B.; Zhang, X. Pressure drop of microchannel plate fin heat sinks. Micromachines 2019, 10, 80. [Google Scholar] [CrossRef] [PubMed]
- Adham, A.M.; Mohd-Ghazali, N.; Ahmad, R. Thermal and hydrodynamic analysis of microchannel heat sinks: A review. Renew. Sustain. Energy Rev. 2013, 21, 614–622. [Google Scholar] [CrossRef]
- Colin, S. Gas microflows in the slip flow regime: A critical review on convective heat transfer. Trans. ASME J. Heat Transf. 2012, 134, 020908. [Google Scholar] [CrossRef]
- Duan, Z.P.; Muzychka, Y.S. Slip flow in elliptic microchannels. Int. J. Therm. Sci. 2007, 46, 1104–1111. [Google Scholar] [CrossRef]
- Morini, G.L. Scaling effects for liquid flows in microchannels. Heat Transf. Eng. 2006, 27, 64–73. [Google Scholar] [CrossRef]
- Liu, D.; Garimella, S.V. Investigation of liquid flow in microchannels. J. Thermophys. Heat Transf. 2004, 18, 65–72. [Google Scholar] [CrossRef]
- Kong, K.S.; Ooi, K.T. A numerical and experimental investigation on microscale heat transfer effect in the combined entry region in macro geometries. Int. J. Therm. Sci. 2013, 68, 8–19. [Google Scholar] [CrossRef]
- Wang, C.Y. On the Nusselt number for H2 heat transfer in rectangular ducts of large aspect ratios. Trans. ASME J. Heat Transf. 2014, 136, 074501. [Google Scholar] [CrossRef]
- Wang, C.Y. Mixed H1 and H2 forced convection in a rectangular duct. Trans. ASME J. Heat Transf. 2018, 140, 034502. [Google Scholar] [CrossRef]
- Vocale, P.; Morini, G.L.; Spiga, M. Convective heat transfer in elliptical microchannels under slip flow regime and h1 boundary conditions. Trans. ASME J. Heat Transf. 2016, 138, 044502. [Google Scholar] [CrossRef]
- Si Salah, S.A.; Filali, E.G.; Djellouli, S. Numerical investigation of Reynolds number and scaling effects in microchannels flows. J. Hydrodyn. 2017, 29, 647–658. [Google Scholar] [CrossRef]
- Cheng, K.X.; Chong, Y.S.; Ooi, K.T. Thermal-hydraulic performance of a tapered microchannel. Int. Commun. Heat Mass Transf. 2018, 94, 53–60. [Google Scholar] [CrossRef]
- Steinke, M.E.; Kandlikar, S.G. Single-phase liquid friction factors in microchannels. Int. J. Therm. Sci. 2006, 45, 1073–1083. [Google Scholar] [CrossRef]
- Wen, D.S.; Ding, Y.L. Experimental investigation into convective heat transfer of nanofluids at the entrance region under laminar flow conditions. Int. J. Heat Mass Transf. 2004, 47, 5181–5188. [Google Scholar] [CrossRef]
- Mishan, Y.; Mosyak, A.; Pogrebnyak, E.; Hetsroni, G. Effect of developing flow and thermal regime on momentum and heat transfer in micro-scale heat sink. Int. J. Heat Mass Transf. 2007, 50, 3100–3114. [Google Scholar] [CrossRef]
- Bayraktar, T.; Pidugu, S.B. Characterization of liquid flows in microfluidic systems. Int. J. Heat Fluid Flow 2006, 49, 815–824. [Google Scholar] [CrossRef]
- Vocale, P.; Spiga, M. Slip flow in the hydrodynamic entrance region of microchannels. Int. J. Microscale Nanoscale Therm. Fluid Transp. Phenom. 2013, 4, 175–191. [Google Scholar]
- Renksizbulut, M.; Niazmand, H.; Tercan, G. Slip-flow and heat transfer in rectangular microchannels with constant wall temperature. Int. J. Therm. Sci. 2006, 45, 870–881. [Google Scholar] [CrossRef]
- Hettiarachchi, H.D.M.; Golubovic, M.; Worek, W.M.; Minkowycz, W.J. Three-dimensional laminar slip-flow and heat transfer in a rectangular microchannel with constant wall temperature. Int. J. Heat Mass Transf. 2008, 51, 5088–5096. [Google Scholar] [CrossRef]
- Hamadneh, N.N.; Khan, W.A.; Khan, I.; Alsagri, A.S. Modeling and optimization of gaseous thermal slip flow in rectangular microducts using a particle swarm optimization algorithm. Symmetry 2019, 11, 488. [Google Scholar] [CrossRef]
- Pang, L.P.; Wang, M.X.; Wang, W.; Liu, M.; Wang, J. Optimal thermal design of a stacked mini-channel heat sink cooled by a low flow rate coolant. Entropy 2013, 15, 4716–4731. [Google Scholar] [CrossRef]
- Vinodhan, V.L.; Rajan, K.S. Computational analysis of new microchannel heat sink configurations. Energy Convers. Manag. 2014, 86, 595–604. [Google Scholar] [CrossRef]
- Lu, S.N.; Vafai, K. A comparative analysis of innovative microchannel heat sinks for electronic cooling. Int. Commun. Heat Mass Transf. 2016, 76, 271–284. [Google Scholar] [CrossRef]
- Wang, R.J.; Wang, W.; Wang, J.W.; Zhu, Z.F. Analysis and optimization of trapezoidal grooved microchannel heat sink using nanofluids in a micro solar cell. Entropy 2017, 20, 9. [Google Scholar] [CrossRef]
- Ansari, D.; Kim, K.-Y. Performance analysis of double-layer microchannel heat sinks under non-uniform heating conditions with random hotspots. Micromachines 2017, 8, 54. [Google Scholar] [CrossRef]
- Jing, D.L.; Song, S.Y.; Pan, Y.L.; Wang, X.M. Size dependences of hydraulic resistance and heat transfer of fluid flow in elliptical microchannel heat sinks with boundary slip. Int. J. Heat Mass Transf. 2018, 119, 647–653. [Google Scholar] [CrossRef]
- Jing, D.L.; He, L. Thermal characteristics of staggered double-layer microchannel heat sink. Entropy 2018, 20, 537. [Google Scholar] [CrossRef]
- Radwan, A.; Ookawara, S.; Mori, S.; Ahmed, M. Uniform cooling for concentrator photovoltaic cells and electronic chips by forced convective boiling in 3D-printed monolithic double-layer microchannel heat sink. Energy Convers. Manag. 2018, 166, 356–371. [Google Scholar] [CrossRef]
- Soleimanikutanaei, S.; Ghasemisahebi, E.; Lin, C.-X. Numerical study of heat transfer enhancement using transverse microchannels in a heat sink. Int. J. Therm. Sci. 2018, 125, 89–100. [Google Scholar] [CrossRef]
- Al Siyabi, I.; Khanna, S.; Sundaram, S.; Mallick, T. Experimental and numerical thermal analysis of multi-layered microchannel heat sink for concentrating photovoltaic application. Energies 2019, 12, 122. [Google Scholar] [CrossRef]
- Deng, D.X.; Pi, G.; Zhang, W.X.; Wang, P.; Fu, T. Numerical study of double-layered microchannel heat sinks with different cross-sectional shapes. Entropy 2019, 21, 16. [Google Scholar] [CrossRef]
- Xie, X.L.; Liu, Z.J.; He, Y.L.; Tao, W.Q. Numerical study of laminar heat transfer and pressure drop characteristics in a water-cooled minichannel heat sink. Appl. Therm. Eng. 2009, 29, 64–74. [Google Scholar] [CrossRef]
- Hung, T.-C.; Yan, W.-M. Enhancement of thermal performance in double-layered microchannel heat sink with nanofluids. Int. J. Heat Mass Transf. 2012, 55, 3225–3238. [Google Scholar] [CrossRef]
- Hung, T.-C.; Yan, W.-M.; Wang, X.-D.; Chang, C.-Y. Heat transfer enhancement in microchannel heat sinks using nanofluids. Int. J. Heat Mass Transf. 2012, 55, 2559–2570. [Google Scholar] [CrossRef]
- Nasiri, M.; Rashidi, M.M.; Lorenzini, G. Effect of magnetic field on entropy generation in a microchannel heat sink with offset fan shaped. Entropy 2016, 18, 10. [Google Scholar] [CrossRef]
- Bahiraei, M.; Heshmatian, S. Thermal performance and second law characteristics of two new microchannel heat sinks operated with hybrid nanofluid containing grapheme-silver nanoparticles. Energy Convers. Manag. 2018, 168, 357–370. [Google Scholar] [CrossRef]
- Xia, G.D.; Liu, R.; Wang, J.; Du, M. The characteristics of convective heat transfer in microchannel heat sinks using Al2O3 and TiO2 nanofluids. Int. Commun. Heat Mass Transf. 2016, 76, 256–264. [Google Scholar] [CrossRef]
- Hassani, S.M.; Khoshvaght-Aliabadi, M.; Mazloumi, S.H. Influence of chevron fin interruption on thermo-fluidic transport characteristics of nanofluid-cooled electronic heat sink. Chem. Eng. Sci. 2018, 191, 436–447. [Google Scholar] [CrossRef]
- Sarafraz, M.M.; Nikkhah, V.; Nakhjavani, M.; Arya, A. Thermal performance of a heat sink microchannel working with biologically produced silver-water nanofluid: Experimental assessment. Exp. Therm. Fluid Sci. 2018, 91, 509–519. [Google Scholar] [CrossRef]
- Fan, Y.; Lee, P.S.; Jin, L.-W.; Chua, B.W. Experimental investigation on heat transfer and pressure drop of a novel cylindrical oblique fin heat sink. Int. J. Therm. Sci. 2014, 76, 1–10. [Google Scholar] [CrossRef]
- Kanargi, B.; Lee, P.S.; Yap, C. A numerical and experimental investigation of heat transfer and fluid flow characteristics of an air-cooled oblique-finned heat sink. Int. J. Heat Mass Transf. 2018, 116, 393–416. [Google Scholar] [CrossRef]
- Xu, F.; Wu, H.Y. Experimental study of water flow and heat transfer in silicon micro-pin-fin heat sinks. Trans. ASME J. Heat Transf. 2018, 140, 122401. [Google Scholar] [CrossRef]
- Milanese, M.; Iacobazzi, F.; Colangelo, G.; de Risi, A. An investigation of layering phenomenon at the liquid-solid interface in Cu and CuO based nanofluids. Int. J. Heat Mass Transf. 2016, 103, 564–571. [Google Scholar] [CrossRef]
- Iacobazzi, F.; Milanese, M.; Colangelo, G.; Lomascolo, M.; de Risi, A. An explanation of the Al2O3 nanofluid thermal conductivity based on the phonon theory of liquid. Energy 2016, 116, 786–794. [Google Scholar] [CrossRef]
- Iacobazzi, F.; Milanese, M.; Colangelo, G.; de Risi, A. A critical analysis of clustering phenomenon in Al2O3 nanofluids. J. Therm. Anal. Calorim. 2019, 135, 371–377. [Google Scholar] [CrossRef]
- Duan, Z.P.; He, B.S.; Duan, Y.Y. Sphere drag and heat transfer. Sci. Rep. 2015, 5, 12304. [Google Scholar] [CrossRef]
- Chai, L.; Wang, L.; Bai, X. Thermohydraulic performance of microchannel heat sinks with triangular ribs on sidewalls–Part 1: Local fluid flow and heat transfer characteristics. Int. J. Heat Mass Transf. 2018, 127, 1124–1137. [Google Scholar] [CrossRef]
- Khan, A.A.; Kim, S.M.; Kim, K.-Y. Performance analysis of a microchannel heat sink with various rib configurations. J. Thermophys. Heat Transf. 2015, 30, 782–790. [Google Scholar] [CrossRef]
- Chai, L.; Xia, G.D.; Wang, H.S. Laminar flow and heat transfer characteristics of interrupted microchannel heat sink with ribs in the transverse microchambers. Int. J. Therm. Sci. 2016, 110, 1–11. [Google Scholar] [CrossRef]
- Bejan, A. A study of entropy generation in fundamental convective heat transfer. Trans. ASME J. Heat Transf. 1979, 101, 718–725. [Google Scholar] [CrossRef]
- Bejan, A. Entropy generation minimization: The new thermodynamics of finite-size devices and finite-time processes. J. Appl. Phys. 1996, 79, 1191–1218. [Google Scholar] [CrossRef]
- Wu, J.; Guo, Z.-Y. Entropy and its correlations with other related quantities. Entropy 2014, 16, 1089–1100. [Google Scholar] [CrossRef]
- Hua, Y.-C.; Zhao, T.; Guo, Z.-Y. Irreversibility and action of the heat conduction process. Entropy 2018, 20, 206. [Google Scholar]
- Zhao, T.; Hua, Y.-C.; Guo, Z.-Y. The principle of least action for reversible thermodynamic processes and cycles. Entropy 2018, 20, 542. [Google Scholar] [CrossRef]
- Eger, T.; Bol, T.; Thanu, A.; Daróczy, L.; Janiga, G.; Schroth, R.; Thévenin, D. Application of entropy generation to improve heat transfer of heat sinks in electric machines. Entropy 2017, 19, 255. [Google Scholar] [CrossRef]
- Bondarenko, D.S.; Sheremet, M.A.; Oztop, H.F.; Ali, M.E. Impacts of moving wall and heat-generating element on heat transfer and entropy generation of Al2O3/H2O nanofluid. J. Therm. Anal. Calorim. 2019, 136, 673–686. [Google Scholar] [CrossRef]
- Khan, W.A.; Culham, J.R.; Yovanovich, M.M. Optimization of microchannel heat sinks using entropy generation minimization method. IEEE Trans. Compon. Package Technol. 2009, 32, 243–251. [Google Scholar] [CrossRef]
- Awad, M.M. A review of entropy generation in microchannels. Adv. Mech. Eng. 2015, 7, 1687814015590297. [Google Scholar] [CrossRef]
- Hassan, M.; Sadri, R.; Ahmadi, G.; Dahari, M.B.; Kazi, S.N.; Safaei, M.R.; Sadeghinezhad, E. Numerical study of entropy generation in a flowing nanofluid used in micro-and minichannels. Entropy 2013, 15, 144–155. [Google Scholar] [CrossRef]
- Abbas, M.A.; Bai, Y.; Rashidi, M.M.; Bhatti, M.M. Analysis of entropy generation in the flow of peristaltic nanofluids in channels with compliant walls. Entropy 2016, 18, 90. [Google Scholar] [CrossRef]
- Bhatti, M.M.; Abbas, T.; Rashidi, M.M.; Ali, M.E.-S. Numerical simulation of entropy generation with thermal radiation on MHD Carreau nanofluid towards a shrinking sheet. Entropy 2016, 18, 200. [Google Scholar] [CrossRef]
- Ji, Y.; Zhang, H.-C.; Yang, X.; Shi, L. Entropy generation analysis and performance evaluation of turbulent forced convective heat transfer to nanofluids. Entropy 2017, 19, 108. [Google Scholar] [CrossRef]
- Rashidi, M.M.; Abbas, M.A. Effect of slip conditions and entropy generation analysis with an effective Prandtl number model on a nanofluid flow through a stretching sheet. Entropy 2017, 19, 414. [Google Scholar] [CrossRef]
- Karimzadehkhouei, M.; Shojaeian, M.; Sadaghiani, A.; Şendur, K.; Mengüç, M.; Koşar, A. Entropy generation analysis of laminar flows of water-based nanofluids in horizontal minitubes under constant heat flux conditions. Entropy 2018, 20, 242. [Google Scholar] [CrossRef]
- Lorenzini, G.; Mahian, O. Entropy in Nanofluids. Entropy 2018, 20, 339. [Google Scholar] [CrossRef]
- Hussien, A.A.; Abdullah, M.Z.; Yusop, N.M.; Al-Kouz, W.; Mahmoudi, E.; Mehrali, M. Heat transfer and entropy generation abilities of MWCNTs/GNPs hybrid nanofluids in microtubes. Entropy 2019, 21, 480. [Google Scholar] [CrossRef]
- Colangelo, G.; Favale, E.; Milanese, M.; de Risi, A.; Laforgia, D. Cooling of electronic devices: Nanofluids contribution. Appl. Therm. Eng. 2017, 127, 421–435. [Google Scholar] [CrossRef]
- Boruah, M.P.; Randive, P.R.; Pati, S. Effect of non-uniform asymmetric heating on the thermal and entropy generation characteristics for flow of Al2O3-water nanofluid in a micro-channel. Int. J. Numer. Methods Heat Fluid Flow 2019, 29, 981–999. [Google Scholar] [CrossRef]
- Shahsavar, A.; Sardari, P.T.; Toghraie, D. Free convection heat transfer and entropy generation analysis of water-Fe3O4/CNT hybrid nanofluid in a concentric annulus. Int. J. Numer. Methods Heat Fluid Flow 2019, 29, 915–934. [Google Scholar] [CrossRef]
- Gherasim, I.; Roy, G.; Nguyen, C.T.; Vo-Ngoc, D. Experimental investigation of nanofluids in confined laminar radial flows. Int. J. Therm. Sci. 2009, 48, 1486–1493. [Google Scholar] [CrossRef]
- Brinkman, H.C. The viscosity of concentrated suspensions and solutions. J. Chem. Phys. 1952, 20, 571. [Google Scholar] [CrossRef]
- Chon, C.H.; Kihm, K.D.; Lee, S.P.; Choi, S.U. Empirical correlation finding the role of temperature and particle size for nanofluid (Al2O3) thermal conductivity enhancement. Appl. Phys. Lett. 2005, 87, 153107. [Google Scholar] [CrossRef]
- Shah, R.K.; London, A.L. Laminar Flow Forced Convection in Ducts; Academic Press: New York, NY, USA, 1978. [Google Scholar]
- Duan, Z.P.; Muzychka, Y.S. Slip flow in non-circular microchannels. Microfluid. Nanofluid. 2007, 3, 473–484. [Google Scholar] [CrossRef]
- Duan, Z.P.; Muzychka, Y.S. Slip flow in the hydrodynamic entrance region of circular and noncircular microchannels. Trans. ASME J. Fluids Eng. 2010, 132, 011201. [Google Scholar] [CrossRef]
- Bejan, A. Entropy Generation through Heat and Fluid Flow; Wiley: New York, NY, USA, 1982. [Google Scholar]
- Duan, Z.P.; Liang, P.; Ma, H.; Ma, N.Y.; He, B.S. Numerical simulation of pressure drop for three-dimensional rectangular microchannels. Eng. Comput. 2018, 35, 2234–2254. [Google Scholar] [CrossRef]
- Jung, J.-Y.; Oh, H.-S.; Kwak, H.-Y. Forced convective heat transfer of nanofluids in microchannels. Int. J. Heat Mass Transf. 2009, 52, 466–472. [Google Scholar] [CrossRef]
- Lee, J.; Mudawar, I. Assessment of the effectiveness of nanofluids for single-phase and two-phase heat transfer in micro-channels. Int. J. Heat Mass Transf. 2007, 50, 452–463. [Google Scholar] [CrossRef]
- Ho, C.J.; Wei, L.C.; Li, Z.W. An experimental investigation of forced convective cooling performance of a microchannel heat sink with Al2O3/water nanofluid. Appl. Therm. Eng. 2010, 30, 96–103. [Google Scholar] [CrossRef]
- Hussien, A.A.; Yusop, N.M.; Abdullah, M.Z.; Al-Nimr, M.A.; Khavarian, M. Study on convective heat transfer and pressure drop of MWCNTs/water nanofluid in mini-tube. J. Therm. Anal. Calorim. 2019, 135, 123–132. [Google Scholar] [CrossRef]
- Peyghambarzadeh, S.M.; Hashemabadi, S.H.; Chabi, A.R.; Salimi, M. Performance of water based CuO and Al2O3 nanofluids in a Cu–Be alloy heat sink with rectangular microchannels. Energy Convers. Manag. 2014, 86, 28–38. [Google Scholar] [CrossRef]
- Moffat, R.J. Describing uncertainties in experimental results. Exp. Therm. Fluid Sci. 1988, 1, 3–17. [Google Scholar] [CrossRef]









| ε | a (μm) | b (μm) | Dh (μm) | L (mm) | Mesh (Computational Domain) |
|---|---|---|---|---|---|
| 0.1 | 1100 | 110 | 400 | 14 | 700 × 165 × 17 |
| 0.2 | 600 | 120 | 400 | 14 | 700 × 90 × 18 |
| 0.3 | 433 | 130 | 400 | 14 | 700 × 65 × 20 |
| 0.4 | 350 | 140 | 400 | 14 | 700 × 53 × 21 |
| 0.5 | 300 | 150 | 400 | 14 | 700 × 45 × 23 |
| 0.6 | 267 | 160 | 400 | 14 | 700 × 40 × 24 |
| 0.7 | 243 | 170 | 400 | 14 | 700 × 37 × 25 |
| 0.8 | 225 | 180 | 400 | 14 | 700 × 34 × 27 |
| 0.9 | 211 | 190 | 400 | 14 | 700 × 32 × 28 |
| 1 | 200 | 200 | 400 | 14 | 700 × 30 × 30 |
| Material [Reference] | ρ (kg/m3) | Cp (J/kgK) | k (W/mK) | μ (Pa·s) | dp (nm) |
|---|---|---|---|---|---|
| Deionized water [39] | 996 | 4178 | 0.611 | 0.000859 | - |
| Al2O3 [70] | 3380 | 765 | 30 | - | 47 |
| Nanofluids | Φ (%) | ρ (kg/m3) | Cp (J/kgK) | μ (Pa·s) |
|---|---|---|---|---|
| Al2O3-water | 0.5 | 1007.92 | 4120.77 | 0.000870 |
| Al2O3-water | 1 | 1019.84 | 4064.88 | 0.000881 |
| Al2O3-water | 3 | 1067.52 | 3853.81 | 0.000927 |
| Al2O3-water | 5 | 1115.20 | 3660.79 | 0.000977 |
© 2019 by the authors. Licensee MDPI, Basel, Switzerland. This article is an open access article distributed under the terms and conditions of the Creative Commons Attribution (CC BY) license (http://creativecommons.org/licenses/by/4.0/).
Share and Cite
Ma, H.; Duan, Z.; Su, L.; Ning, X.; Bai, J.; Lv, X. Fluid Flow and Entropy Generation Analysis of Al2O3–Water Nanofluid in Microchannel Plate Fin Heat Sinks. Entropy 2019, 21, 739. https://doi.org/10.3390/e21080739
Ma H, Duan Z, Su L, Ning X, Bai J, Lv X. Fluid Flow and Entropy Generation Analysis of Al2O3–Water Nanofluid in Microchannel Plate Fin Heat Sinks. Entropy. 2019; 21(8):739. https://doi.org/10.3390/e21080739
Chicago/Turabian StyleMa, Hao, Zhipeng Duan, Liangbin Su, Xiaoru Ning, Jiao Bai, and Xianghui Lv. 2019. "Fluid Flow and Entropy Generation Analysis of Al2O3–Water Nanofluid in Microchannel Plate Fin Heat Sinks" Entropy 21, no. 8: 739. https://doi.org/10.3390/e21080739
APA StyleMa, H., Duan, Z., Su, L., Ning, X., Bai, J., & Lv, X. (2019). Fluid Flow and Entropy Generation Analysis of Al2O3–Water Nanofluid in Microchannel Plate Fin Heat Sinks. Entropy, 21(8), 739. https://doi.org/10.3390/e21080739

