Abstract
The goal of lossy data compression is to reduce the storage cost of a data set X while retaining as much information as possible about something (Y) that you care about. For example, what aspects of an image X contain the most information about whether it depicts a cat? Mathematically, this corresponds to finding a mapping that maximizes the mutual information while the entropy is kept below some fixed threshold. We present a new method for mapping out the Pareto frontier for classification tasks, reflecting the tradeoff between retained entropy and class information. We first show how a random variable X (an image, say) drawn from a class can be distilled into a vector losslessly, so that ; for example, for a binary classification task of cats and dogs, each image X is mapped into a single real number W retaining all information that helps distinguish cats from dogs. For the case of binary classification, we then show how W can be further compressed into a discrete variable by binning W into bins, in such a way that varying the parameter sweeps out the full Pareto frontier, solving a generalization of the discrete information bottleneck (DIB) problem. We argue that the most interesting points on this frontier are “corners” maximizing for a fixed number of bins which can conveniently be found without multiobjective optimization. We apply this method to the CIFAR-10, MNIST and Fashion-MNIST datasets, illustrating how it can be interpreted as an information-theoretically optimal image clustering algorithm. We find that these Pareto frontiers are not concave, and that recently reported DIB phase transitions correspond to transitions between these corners, changing the number of clusters.
1. Introduction
A core challenge in science, and in life quite generally, is data distillation: Keeping only a manageably small fraction of our available data X while retaining as much information as possible about something (Y) that we care about. For example, what aspects of an image contain the most information about whether it depicts a cat () rather than a dog ()? Mathematically, this corresponds to finding a deterministic mapping that maximizes the mutual information while the entropy is kept below some fixed threshold. The tradeoff between (bits stored) and (useful bits) is described by a Pareto frontier, defined as
and illustrated in Figure 1 (this is for a toy example described below; we compute the Pareto frontier for our cat/dog example in Section 3). The shaded region is impossible because and . The colored dots correspond to random likelihood binnings into various numbers of bins, as described in the next section, and the upper envelope of all attainable points define the Pareto frontier. Its “corners”, which are marked by black dots and maximize for M bins (), are seen to lie close to the vertical dashed lines , corresponding to all bins having equal size. We plot the H-axis flipped to conform with the tradition that up and to the right are more desirable. The core goal of this paper is to present a method for computing such Pareto frontiers.
Figure 1.
The Pareto frontier (top panel) for compressed versions of our warmup dataset with classes , showing the maximum attainable class information for a given entropy , mapped using the method described in this paper using the likelihood binning in the bottom panel.
Objectives and Relation to Prior Work
In other words, the goal of this paper is to analyze soft rather than hard classifiers: not to make the most accurate classifier, but rather to compute the Pareto frontier that reveals the most accurate (in an information-theoretic sense) classifier Z given a constraint on its bit content . These optimal soft classifiers that we will derive (corresponding to points on the Pareto frontier) are useful for the same reason that other methods for lossy data compression methods are useful: Overfitting less and therefore generalizing better, among other things.
This Pareto frontier challenge is thus part of the broader quest for data distillation: Lossy data compression that retains as much as possible of the information that is useful to us. Ideally, the information can be partitioned into a set of independent chunks and sorted from most to least useful, enabling us to select the number of chunks to retain so as to optimize our tradeoff between utility and data size. Consider two random variables X and Y which may each be vectors or scalars. For simplicity, consider them to be discrete with finite entropy. (this discreteness restriction loses us no generality in practice, since since we can always discretize real numbers by rounding them to some very large number of significant digits.) For prediction tasks, we might interpret Y as the future state of a dynamical system that we wish to predict from the present state X. For classification tasks, we might interpret Y as a class label that we wish to predict from an image, sound, video or text string X. Let us now consider various forms of ideal data distillation, as summarized in Table 1.
Table 1.
Data distillation: The relationship between principal component analysis (PCA), canonical correlation analysis (CCA), nonlinear autoencoders and nonlinear latent representations.
If we distill X as a whole, then we would ideally like to find a function f such that the so-called latent representation retains the full entropy , decomposed into independent parts with vanishing mutual infomation: (Note that when implementing any distillation algorithm in practice, there is always a one-parameter tradeoff between compression and information retention which defines a Pareto frontier. A key advantage of the latent variables (or variable pairs) being statistically independent is that this allows the Pareto frontier to be trivially computed, by simply sorting them by decreasing information content and varying the number retained.)
For the special case where is a vector with a multivariate Gaussian distribution, the optimal solution is Principal Component Analysis (PCA) [1], which has long been a workhorse of statistical physics and many other disciplines: Here f is simply a linear function mapping into the eigenbasis of the covariance matrix of . The general case remains unsolved, and it is easy to see that it is hard: If where c implements some state-of-the-art cryptographic code, then finding (to recover the independent pieces of information and discard the useless parts) would generically require breaking the code. Great progress has nonetheless been made for many special cases, using techniques such as nonlinear autoencoders [2] and Generative Adversarial Networks (GANs) [3].
Now consider the case where we wish to distill X and Y separately, into and , retaining the mutual information between the two parts. Then we ideally have , , , . This problem has attracted great interest, especially for time series where and for some sequence of states () in physics or other fields, where one typically maps the state vectors into some lower-dimensional vectors , after which the prediction is carried out in this latent space. For the special case where X has a multivariate Gaussian distribution, the optimal solution is Canonical Correlation Analysis (CCA) [4]: Here both f and g are linear functions, computed via a singular-value decomposition (SVD) [5] of the cross-correlation matrix after prewhitening X and Y. The general case remains unsolved, and is obviously even harder than the above-mentioned 1-vector autoencoding problem. The recent work [6,7] review the state-of-the art as well as presenting Contrastive Predictive Coding and Dynamic Component Analysis, powerful new distillation techniques for time series, following the long tradition of setting even though this is provably not optimal for the Gaussian case as shown in [8].
The goal of this paper is to make progress in the lower right quadrant of Table 1. We will first show that if (as in binary classification tasks) and we can successfully train a classifier that correctly predicts the conditional probability distribution , then it can be used to provide an exact solution to the distillation problem, losslessly distilling X into a single real variable . We will generalize this to an arbitrary classification problem by losslessly distilling X into a vector , although in this case, the components of the vector W may not be independent. We will then return to the binary classification case and provide a family of binnings that map W into an integer Z, allowing us to scan the full Pareto frontier reflecting the tradeoff between retained entropy and class information, illustrating the end-to-end procedure with the CIFAR-10, MNIST and Fashion-MNIST datasets. This is related to the work of [9] which maximizes for a fixed number of bins (instead of for a fixed entropy), which corresponds to the “corners” seen in Figure 1.
This work is closely related to the Information Bottleneck (IB) method [10], which provides an insightful, principled approach for balancing compression against prediction [11]. Just as in our work, the IB method aims to find a random variable that loosely speaking retains as much information as possible about Y and as little other information as possible. The IB method implements this by maximizing the IB-objective
where the Lagrange multiplier tunes the balance between knowing about Y and forgetting about X. Ref. [12] considered the alternative Deterministic Information Bottleneck (DIB) objective
to close the loophole where Z retains random information that is independent of both X and Y. (which is possible if f is function that contains random components rather than fully deterministic. In contrast, if for some deterministic function f, which is typically not the case in the popular variational IB-implementation [13,14,15], then , so , which means the two objectives (2) and (3) are identical.)
However, there is a well-known problem with this DIB objective that occurs when is continuous [16]: is strictly speaking infinite, since it requires an infinite amount of information to store the infinitely many decimals of a generic real number. While this infinity is normally regularized away by only defining up to an additive constant, which is irrelevant when minimizing Equation (3), the problem is that we can define a new rescaled random variable
for a constant and obtain
and
(Throughout this paper, we take log to denote the logarithm in base 2, so that entropy and mutual information are measured in bits.) The last two equations imply that by choosing , we can make arbitrarily negative while keeping unchanged, thus making arbitrarily negative. The objective is therefore not bounded from below, and trying to minimize it will not produce an interesting result. We will eliminate this Z-rescaling problem by making Z discrete rather than continuous, so that is always well-defined and finite. Another challenge with the DIB objective of Equation (3), which we will also overcome, is that it maximizes a linear combination of the two axes in Figure 1, and can therefore only discover concave parts of the Pareto frontier, not convex ones (which are seen to dominate in Figure 1).
The rest of this paper is organized as follows: In Section 2.1, we will provide an exact solution for the binary classification problem where by losslessly distilling X into a single real variable . We also generalize this to an arbitrary classification problem by losslessly distilling X into a vector , although the components of the vector W may not be independent. In Section 2.2, we return to the binary classification case and provide a family a binnings that map Z into an integer, allowing us to scan the full Pareto frontier reflecting the tradeoff between retained entropy and class information. We apply our method to various image datasets in Section 3 and discuss our conclusions in Section 4.
2. Method
Our algorithm for mapping the Pareto frontier transforms our original data set X in a series of steps which will be describe in turn below:
As we will show, the first, second and fourth transformations retain all mutual information with the label Y, and the information loss about Y can be kept arbitrarily small in the third step. In contrast, the last step treats the information loss as a tuneable parameter that parameterizes the Pareto frontier.
2.1. Lossless Distillation for Classification Tasks
Our first step is to compress X (an image, say) into W, a set of real numbers, in such a way that no class information is lost about .
Theorem 1 (Lossless Distillation Theorem).
For an arbitrary random variable X and a categorical random variable, we have
whereis defined by
Note that we ignore the th component since it is redundant: .
Proof.
Let S denote the domain of X, i.e., , and define the set-valued function
These sets form a partition of S parameterized by W, since they are disjoint and
For example, if and , then the sets are simply contour curves of the conditional probability . This partition enables us to uniquely specify X as the pair by first specifying which set it belongs to (determined by ), and then specifying the particular element within that set, which we denote . This implies that
completing the proof. The last equal sign follows from the fact that the conditional probability is independent of , since it is by definition constant throughout the set . □
The following corollary implies that W is an optimal distillation of the information X has about Y, in the sense that it constitutes a lossless compression of said information: as shown, and the total information content (entropy) in W cannot exceed that of X since it is a deterministic function thereof.
Corollary 1.
With the same notation as above, we have
Proof.
For any two random variables, we have the identity , where is their mutual information and denotes conditional entropy. We thus obtain
which completes the proof. We obtain the second line by using from Theorem 1 and specifying X by W and , and the third line since is independent of , as above. □
In most situations of practical interest, the conditional probability distribution is not precisely known, but can be approximated by training a neural-network-based classifier that outputs the probability distribution for Y given any input X. We present such examples in Section 3. The better the classifier, the smaller the information loss will be, approaching zero in the limit of an optimal classifier.
2.2. Pareto-Optimal Compression for Binary Classification Tasks
Let us now focus on the special case where , i.e., binary classification tasks. For example, X may correspond to images of equal numbers of felines and canines to be classified despite challenges with variable lighting, occlusion, etc., as in Figure 2, and may correspond to the labels “cat” and “dog”. In this case, Y contains bit of information of which bit is contained in X. Theorem 1 shows that for this case, all of this information about whether an image contains a cat or a dog can be compressed into a single number W which is not a bit like Y, but a real number between zero and one.
Figure 2.
Sample data from Section 3. Images from MMNIST (top), Fashion-MNIST (middle) and CIFAR-10 are mapped into integers (group labels) retaining maximum mutual information with the class variable Y (ones/sevens, shirts/pullovers and cats/dogs, respectively) for 3, 5 and 5 groups, respectively. These mappings f correspond to Pareto frontier “corners”.
The goal of this section is find a class of functions g that perform Pareto-optimal lossy compression of W, mapping it into an integer that maximizes for a fixed entropy . (Throughout this paper, we will use the term “Pareto-optimal” or “optimal” in this sense, i.e., maximizing for a fixed .) The only input we need for our work in this section is the joint probability distribution , whose marginal distributions are the discrete probability distribution for for Y and the probability distribution f for W, which we will henceforth assume to be continuous:
2.2.1. Uniformization of W
For convenience and without loss of generality, we will henceforth assume that , i.e., that W has a uniform distribution on the unit interval . We can do this because if W were not uniformly distributed, we could make it so by using the standard statistical technique of applying its cumulative probability distribution function to it
retaining all information——since this procedure is invertible almost everywhere.
2.2.2. Binning W
Given a set of bin boundaries grouped into a vector , we define the integer-value contiguous binning function
can thus be interpreted as the ID of the bin into which x falls. Note that B is a monotonically increasing piecewise constant function of x that is shaped like an N-level staircase with steps at .
Let us now bin W into N equispaced bins, by mapping it into an integer (the bin ID) defined by
where is the vector with elements , . As illustrated visually in Figure 3 and mathematically in Appendix A, binning corresponds to creating a new random variable for which the conditional distribution is replaced by a piecewise constant function , replacing the values in each bin by their average. The binned variable thus retains only information about which bin W falls into, discarding all information about the precise location within that bin. In the limit of infinitesimal bins, , and we expect the above-mentioned discarded information to become negligible. This intuition is formalized by Theorem A1 in Appendix A, which under mild smoothness assumptions ensuring that is not pathological shows that
i.e., that we can make the binned data retain essentially all the class information from W as long as we use enough bins.
Figure 3.
Essentially all information about Y is retained if W is binned into sufficiently narrow bins. Sorting the bins (left) to make the conditional probability monotonically increasing (right) changes neither this information nor the entropy.
In practice, such as for the numerical experiments that we will present in Section 3, training data is never infinite and the conditional probability function is never known to perfect accuracy. This means that the pedantic distinction between and for very large N is completely irrelevant in practice. In the rest of this paper, we will therefore work with the unbinned (W) and binned () data somewhat interchangeably below for convenience, occasionally dropping the apostrophy from when no confusion is caused.
2.2.3. Making the Conditional Probability Monotonic
For convenience and without loss of generality, we can assume that the conditional probability distribution is a monotonically increasing function. We can do this because if this were not the case, we could make it so by sorting the bins by increasing conditional probability, as illustrated in Figure 3, because both the entropy and the mutual information are left invariant by this renumbering/relabeling of the bins. The “cat” probability (the total shaded area in Figure 3) is of course also left unchanged by both this sorting and by the above-mentioned binning.
2.2.4. Proof that Pareto Frontier is Spanned by Contiguous Binnings
We are now finally ready to tackle the core goal of this paper: Mapping the Pareto frontier of optimal data compression that reflects the tradeoff between and . While fine-grained binning has no effect on the entropy and negligible effect on , it dramatically reduces the entropy of our data, whereas since W is continuous, is finite, approaching infinity only in the limit of infinitely many infinitesimal bins. (Note that while this infinity, which reflects the infinite number of bits required to describe a single generic real number, is customarily eliminated by defining entropy only up to an overall additive constant, we will not follow that custom here, for the reason explained in the introduction.) Taken together, these scalings of I and H imply that the leftmost part of the Pareto frontier , defined by Equation (1) and illustrated in Figure 1, asymptotes to a horizontal line of height as .
To reach the interesting parts of the Pareto frontier further to the right, we must destroy some information about Y. We do this by defining
where the function g groups the tiny bins indexed by into fewer ones indexed by , . There are vast numbers of such possible groupings, since each group corresponds to one of the nontrivial subsets of the tiny bins. Fortunately, as we will now prove, we need only consider the contiguous groupings, since non-contiguous ones are inferior and cannot lie on the Pareto frontier. Indeed, we will see that for the examples in Section 3, suffices to capture the most interesting information.
Theorem 2
(Contiguous binning theorem). If W has a uniform distribution and the conditional probability distribution is monotonically increasing, then all points on the Pareto frontier correspond to binning W into contiguous intervals, i.e., if
then there exists a set of bin boundaries such that the binned variable satisfies and .
Proof.
We prove this by contradiction: we will assume that there is a point on the Pareto frontier to which we can come arbitrarily close with for for a compression function that is not a contiguous binning function, and obtain a contradiction by using g to construct another compression function lying above the Pareto frontier, with and . The joint probability distribution for the Z and Y is given by the Lebesgue integral
where is the joint probability distribution for W and Y introduced earlier and is the set , i.e., the set of w-values that are grouped together into the th large bin. We define the marginal and conditional probabilities
Figure 4 illustrates the case where the binning function g corresponds to large bins, the second of which consists of two non-contiguous regions that are grouped together; the shaded rectangles in the bottom panel have width , height and area .
Figure 4.
The reason that the Pareto frontier can never be reached using non-contiguous bins is that swapping parts of them against parts of an intermediate bin can increase while keeping constant. In this example, the binning function g assigns two separate W-intervals (top panel) to the same bin (bin 2) as seen in the bottom panel. The shaded rectangles have widths , heights and areas . In the upper panel, the conditional probabilities are monotonically increasing because they are averages of the monotonically increasing curve .
According to Theorem A2 in the Appendix B, we obtain the contradiction required to complete our proof (an alternative compression above the Pareto frontier with and ) if there are two different conditional probabilities , and we can change g into so that the joint distribution of and Y changes in the following way:
- Only and change,
- both marginal distributions remain the same,
- the new conditional probabilities and are further apart.
Figure 4 shows how this can be accomplished for non-contiguous binning: Let k be a bin with non-contiguous support set (bin 2 in the illustrated example), let l be a bin whose support (bin 4 in the example) contains a positive measure subset within two parts and of , and define a new binning function that differs from only by swapping a set against a subset of either or of measure (in the illustrated example, the binning function change implementing this subset is shown with dotted lines). This swap leaves the total measure of both bins (and hence the marginal distribution ) unchanged, and also leaves unchanged. If , we perform this swap between an (as in the figure), and if , we instead perform this swap between an , in both cases guaranteeing that and move further apart (since is monotonically increasing). This completes our proof by contradiction except for the case where ; in this case, we swap to entirely eliminate the discontiguity, and repeat our swapping procedure between other bins until we increase the entropy (again obtaining a contradiction) or end up with a fully contiguous binning (if needed, can be changed to eliminate any measure-zero subsets that ruin contiguity, since they leave the Lebesgue integral in Equation (22) unchanged.) □
2.3. Mapping the Frontier
Theorem 2 implies that we can in practice find the Pareto frontier for any random variable X by searching the space of contiguous binnings of after uniformization, binning and sorting. In practice, we can first try the two bin case by scanning the bin boundary , then trying the three bin case by trying bin boundaries , then trying the four bin case, etc., as illustrated in Figure 1. Each of these cases corresponds to a standard multi-objective optimization problem aiming to maximize the two objectives and . We perform this optimization numerically with the AWS algorithm of [17] as described in the next section.
While the uniformization, binning and sorting procedures are helpful in practice as well as for for simplifying proofs, they are not necessary in practice. Since what we really care about is grouping into integrals containing similar conditional probabilities , not similar w-values, it is easy to see that binning horizontally after sorting is equivalent to binning vertically before sorting. In other words, we can eliminate the binning and sorting steps if we replace “horizontal” binning by “vertical” binning
where denotes the conditional probability as before.
3. Results
The purpose of this section is to examine how our method for Pareto-frontier mapping works in practice on various datasets, both to compare its performance with prior work and to gain insight into the shape and structure of the Pareto frontiers for well-known datasets such as the CIFAR-10 image database [18], the MNIST database of hand-written digits [19] and the Fashion-MNIST database of garment images [20]. Before doing this, however, let us build intuition for how our method works by testing on a much simpler toy model that is analytically solvable, where the accuracy of all approximations can be exactly determined.
3.1. Analytic Warmup Example
Let the random variables and be defined by the bivariate probability distribution
which corresponds to and being two independent and identically distributed random variables with triangle distribution if , but flipped if . This gives bit and mutual information
The compressed random variable defined by Equation (9) is thus
After defining for a vector of bin boundaries, a straightforward calculation shows that the joint probability distribution of Y and the binned variable Z is given by
where the cumulative distribution function is given by
Computing using this probability distribution recovers exactly the same mutual information bits as in Equation (26), as we proved in Theorem 1.
3.2. The Pareto Frontier
Given any binning vector , we can plot a corresponding point in Figure 1 by computing , , etc., where is given by Equation (28).
The figure shows 6000 random binnings each for bins; as we have proven, the upper envelope of points corresponding to all possible (contiguos) binnings defines the Pareto frontier. The Pareto frontier begins with the black dot at (the lower right corner), since bin obviously destroys all information. The bin case corresponds to a 1-dimensional closed curve parametrized by the single parameter that specifies the boundary between the two bins: It runs from when , moves to the left until when , and returns to when . The and branches are indistinguishable in Figure 1 because of the symmetry of our warmup problem, but in generic cases, a closed loop can be seen where only the upper part defines the Pareto frontier.
More generally, we see that the set of all binnings into bins maps the vector of bin boundaries into a contiguous region in Figure 1. The inferior white region region below can also be reached if we use non-contiguous binnings.
The Pareto Frontier is seen to resemble the top of a circus tent, with convex segments separated by “corners” where the derivative vanishes, corresponding to a change in the number of bins. We can understand the origin of these corners by considering what happens when adding a new bin of infinitesimal size . As long as is continuous, this changes all probabilites by amounts , and the probabilities corresponding to the new bin (which used to vanish) will now be . The function has infinite derivative at , blowing up as , which implies that the entropy increase . In contrast, a straightforward calculation shows that all -terms cancel when computing the mutual information, which changes only by . As we birth a new bin and move leftward from one of the black dots in Figure 1, the initial slope of the Pareto frontier is thus
In other words, the Pareto frontier starts out horizontally to the left of each of its corners in Figure 1. Indeed, the corners are “soft” in the sense that the derivative of the Pareto Frontier is continuous and vanishes at the corners: For a given number of bins, by definition takes its global maximum at the corresponding corner, so the derivative vanishes also as we approach the corner from the right. The first corner (the transition from 2 to 3 bins) can nonetheless look fairly sharp because the 2-bin curve turns around rather abruptly, and the right derivative does not vanish in the limit where a symmetry causes the upper and lower parts of the 2-bin loop to coincide.
Our theorems imply that in the limit of infinitely many bins, successive corners become gradually less pronounced (with ever smaller derivative discontinuities), because the left asymptote of the Pareto frontier simply approaches the horizontal line .
3.2.1. Approximating
For our toy example, we knew the conditional probability distribution and could therefore compute exactly. For practical examples where this is not the case, we can instead train a neural network to implement a function that approximates . For our toy example, we train a fully connected feedforward neural network to predict Y from X using cross-entropy loss; it has two hidden layers, each with 256 neurons with ReLU activation, and a final linear layer with softmax activation, whose first neuron defines . An illustrated in Figure 5, the network prediction for the conditional probability is fairly accurate, but slightly over-confident, tending to err on the side of predicting more extreme probabilities (further from 0.5). The average KL-divergence between the predicted and actual conditional probability distribution is about 0.004, which causes negligible loss of information about Y.
Figure 5.
Contour plot of the function computed both exactly using Equation (27) (solid curves) and approximately using a neural network (dashed curves).
3.2.2. Approximating
For practical examples where the conditional joint probability distribution cannot be computed analytically, we need to estimate it from the observed distribution of W-values output by the neural network. For our examples, we do this by fitting each probability distribution by a beta-distribution times the exponential of a polynomial of degree d:
where the coefficient is fixed by the normalization requirement . We use this simple parametrization because it can fit any smooth distribution arbitrarily well for sufficiently large d, and provides accurate fits for the probability distributions in our examples using quite modest d; for example, gives for
which causes rather negligible loss of information about Y. For our examples below where we do not know the exact distribution and merely have samples drawn from it, one for each element of the data set, we instead perform the fitting by the standard technique of minimizing the cross entropy loss, i.e.,
Table 2.
Fits to the conditional probability distributions for our experiments, in terms of the parameters defined by Equation (31).
Figure 6.
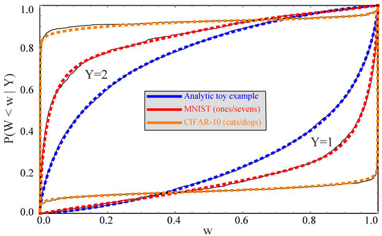
Cumulative distributions are shown for the analytic (blue/dark grey), Fashion-MNIST (red/grey) and CIFAR-10 (orange/light grey) examples. Solid curves show the observed cumulative histograms of W from the neural network, and dashed curves show the fits defined by Equation (31) and Table 2.
3.3. MNIST, Fashion-MNIST and CIFAR-10
The MNIST database consists of 28 × 28 pixel greyscale images of handwritten digits: 60,000 training images and 10,000 testing images [19]. We use the digits 1 and 7, since they are the two that are most frequently confused, relabeled as (ones) and (sevens). To increase difficulty, we inject 30% of pixel noise, i.e., randomly flip each pixel with 30% probability (see examples in Figure 2). For easy comparison with the other cases, we use the same number of samples for each class.
The Fashion-MNIST database has the exact same format (60,000 + 10,000 28 × 28 pixel greyscale images), depicting not digits but 10 classes of clothing [20]. Here we again use the two most easily confused classes: Pullovers () and shirts (); see Figure 2 for examples.
We train a neural network classifier on our datasets using the architecture from https://github.com/pytorch/examples/blob/master/mnist/main.py, changing the number of outpiut neurons from 10 to 2. We use two convolutional layers (kernel size 5, stride 1, ReLU activation) with 20 and 50 features, respectively, each of which is followed by max-pooling with kernel size 2. This is followed by a fully connected layer with 500 ReLU neurons and finally a softmax layer that produces the predicted probabilities for the two classes. After training, we apply the trained model to the test set to obtain for each dataset.
CIFAR-10 [21] is one of the most widely used datasets for machine learning research, and contains 60,000 color images in 10 different classes. We use only the cat () and dog () classes, which are the two that are empirically hardest to discriminate; see Figure 2 for examples. We use a ResNet18 architecture adapted from https://github.com/kuangliu/pytorch-cifar, for which we use its ResNet18 model [22]; the only difference in architecture is that we use 2 rather than 10 output neurons. We train with a learning rate of 0.01 for the first 150 epochs, 0.001 for the next 100, and 0.0001 for the final 100 epochs; we keep all other settings the same as in the original repository.
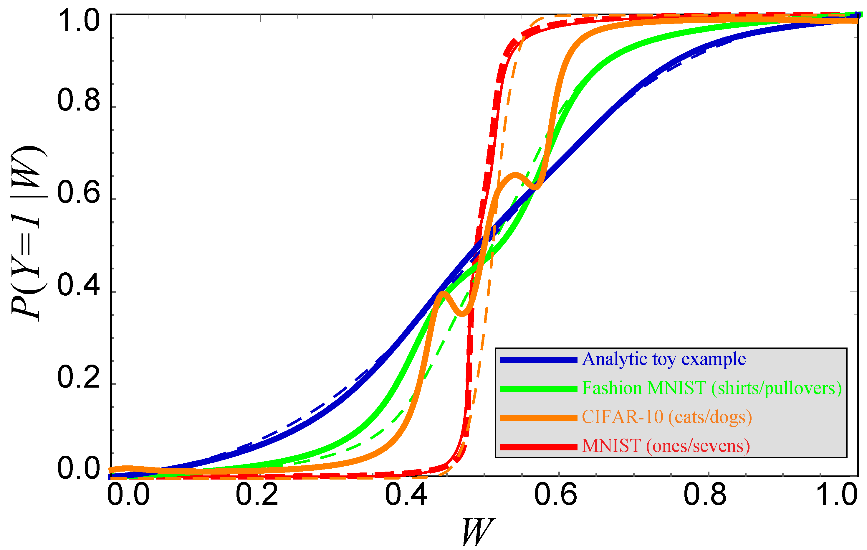
Figure 6 shows observed cumulative distribution functions (solid curves) for the generated by the neural network classifiers, together with our above-mentioned analytic fits (dashed curves). Figure 7 shows the corresponding conditional probability curves after remapping W to have a uniform distribution as described above. Figure 6 shows that the original W-distributions are strongly peaked around and , so this remapping stretches the W-axis so as to shift probability toward more central values.
Figure 7.
The solid curves show the actual conditional probability for CIFAR-10 (where the labels Y = 1 and 2 correspond to “cat” and “dog”) and MNIST with 20% label noise (where the labels Y = 1 and 2 correspond to “1” and “7”), respectively. The color-matched dashed curves show the conditional probabilities predicted by the neural network; the reason that they are not diagonal lines is that W has been reparametrized to have a uniform distribution. If the neural network classifiers were optimal, then solid and dashed curves would coincide.
In the case of CIFAR-10, the observed distribution was so extremely peaked near the endpoints that we replaced Equation (31) by the more accurate fit
where the parameters vectors and are given in Table 2 for both cats and dogs. For the cat case, this fit gives not but . Note that , .
The final result of our calculations is shown in Figure 8: The Pareto frontiers for our four datasets, computed using our method.
Figure 8.
The Pareto frontier for compressed versions of our four datasets X, showing the maximum attainable class information for a given entropy . The “corners” (dots) correspond to the maximum attainable when binning the likelihood W into a given number of bins (2, 3, …, 8 from right to left). The horizontal dotted lines show the maximum available information for each case, reflecting that there is simply less to learn in some examples than in others.
3.4. Interpretation of Our Results
To build intuition for our results, let us consider our CIFAR-10 example of images X depicting cats (Y = 1) and dogs (Y = 2) as in Figure 2 and ask what aspects of an image X capture the most information about the species Y. Above, we estimated that bits, so what Z captures the largest fraction of this information for a fixed entropy? Given a good neural network classifier, a natural guess might be the single bit Z containing its best guess, say “it’s probably a cat”. This corresponds to defining if , otherwise, and gives the joint distribution
corresponding to bits. However, our results show that we can improve things in two separate ways.
First of all, if we only want to store one bit Z, then we can do better, corresponding to the first “corner” in Figure 8: moving the likelihood cutoff from 0.5 to 0.51, i.e., redefining if , increases the mutual information to bits.
More importantly, we are still falling far short of the 0.69692 bits of information we had without data compression, capturing only 88% of the available species information. Our Theorem 1 showed that we can retain all this information if we instead define Z as the cat probability itself: . For example, a given image might be compressed not into “It’s probably a cat” but into “I’m 94.2477796% sure it’s a cat”. However, it is clearly impractical to report the infinitely many decimals required to retain all the species information, which would make infinite. Our results can be loosely speaking interpreted as the optimal way to round Z, so that the information required to store it becomes finite. We found that simply rounding to a fixed number of decimals is suboptimal; for example, if we pick 2 decimals and say “I’m 94.25% sure it’s a cat”, then we have effectively binned the probability W into 10,000 bins of equal size, even though we can often do much better with bins of unequal size, as illustrated in the bottom panel of Figure 1. Moreover, when the probability W is approximated by a neural network, we found that what should be optimally binned is not W but the conditional probability illustrated in Figure 7 (“vertical binning”).
It is convenient to interpret our Pareto-optimal data compression as clustering, i.e., as a method of grouping our images or other data into clusters based on what information they contain about Y. For example, Figure 2 illustrates CIFAR-10 images clustered by their degree of “cattiness” into 5 groups that might be nicknamed “1.9% cat”, “11.8% cat”, “31.4% cat”, “68.7% cat” and “96.7% cat”. This gives the joint distribution ) where
and gives , thus increasing the fraction of species information retained from 82% to 99%.
This is a striking result: We can group the images into merely five groups and discard all information about all images except which group they are in, yet retain 99% of the information we cared about. Such grouping may be helpful in many contexts. For example, given a large sample of labeled medical images of potential tumors, they can be used to define say five optimal clusters, after which future images can be classified into five degrees of cancer risk that collectively retain virtually all the malignancy information in the original images.
Given that the Pareto Frontier is continuous and corresponds to an infinite family of possible clusterings, which one is most useful in practice? Just as in more general multi-objective optimization problems, the most interesting points on the frontier are arguably its “corners”, indicated by dots in Figure 8, where we do notably well on both criteria. This point was also made in the important paper [23] in the context of the DIB-frontier discussed below. We see that the parts of the frontier between corners tend to be convex and thus rather unappealing, since any weighted average of and will be maximized at a corner. Our results show that these corners can conveniently be computed without numerically tedious multiobjective optimization, by simply maximizing the mutual information for bins. The first corner, at bit, corresponds to the learnability phase transition for DIB, i.e., the largest for which DIB is able to learn a non-trivial representation. In contrast to the IB learnability phase transition [24,25] where increases continuously from 0, here the has a jump from 0 to a positive value, due to the non-concave nature of the Pareto frontier.
Moreover, all the examples in Figure 8 are seen to get quite close to the asymptote for , so the most interesting points on the Pareto frontier are simply the first handful of corners. For these examples, we also see that the greater the mutual information is, the fewer bins are needed to capture most of it.
An alternative way if interpreting the Pareto plane in Figure 8 is as a traveoff between two evils:
What we are calling the “information bloat” has also been called “causal waste” [26]. It is simply the conditional entropy of Z given Y, and represents the excess bits we need to store in order to retain the desired information about Y. Geometrically, it is the horizontal distance to the impossible region to the right in Figure 8, and we see that for MNIST, it takes local minima at the corners for both 1 and 2 bins. The information loss is simply the information discarded by our lossy compression of X. Geometrically, it is the vertical distance to the impossible region at the top of Figure 1 (and, in Figure 8, it is the vertical distance to the corresponding dotted horizontal line). As we move from corner to corner adding more bins, we typically reduce the information loss at the cost of increased information bloat. For the examples in Figure 8, we see that going beyond a handful of bins essentially just adds bloat without significantly reducing the information loss.
3.5. Real-World Issues
We just discussed how lossy compression is a tradeoff between information bloat and information loss. Let us now elaborate on the latter, for the real-world situation where is approximated by a neural network.
If the neural network learns to become perfect, then the function w that it implements will be such that satisfies , which corresponds to the dashed curves in Figure 7 being identical to the solid curves. While we see that this is close to being the case for the analytic and MNIST examples, the neural networks are further from optimal for Fashion-MNIST and CIFAR-10. The figure illustrates that the general trend is for these neural networks to overfit and therefore be overconfident, predicting probabilities that are too extreme.
This fact that probably indicates that our Fashion-MNIST and CIFAR-10 classifiers destroy information about X, but it does not prove this, because if we had a perfect lossless classifier satisfying , then we could define an overconfident lossless classifier by an invertible (and hence information-preserving) reparameterization such as that violates the condition .
So how much information does X contain about Y? One way to lower-bound uses the classification accuracy: if we have a classification problem where and compress X into a single classification bit Z (corresponding to a binning of W into two bins), then we can write the joint probability distribution for Y and the guessed class Z as
For a fixed total error rate , Fano’s Inequality implies that the mutual information takes a minimum
when , so if we can train a classifier that gives an error rate , then the right-hand-side of Equation (39) places a lower bound on the mutual information . The prediction accuracy is shown for reference on the right side of Figure 8. Note that getting close to one bit of mutual information requires extremely high accuracy; for example, 99% prediction accuracy corresponds to only 0.92 bits of mutual information.
We can obtain a stronger estimated lower bound on from the cross-entropy loss function used to train our classifiers:
where denotes the average KL-divergence between true and predicted conditional probability distributions, and denotes ensemble averaging over data points, which implies that
If as we discussed above, then and hence the loss can be further reduced be recalibrating W as we have done, which increases the information bound from Equation (41) up to the the value computed directly from the observed joint distribution .
Unfortunately, without knowing the true probability , there is no rigorous and practically useful upper bound on the mutual information other than the trivial inequality bit, as the following simple counterexample shows: Suppose our images X are encrypted with some encryption algorithm that is extremely time-consuming to crack, rendering the images for all practical purposes indistinguishable from random noise. Then any reasonable neural network will produce a useless classifier giving even though the true mutual information could be as large as one bit. In other words, we generally cannot know the true information loss caused by compressing , so the best we can do in practice is to pick a corner reasonably close to the upper asymptote in Figure 8.
3.6. Performance Compared with Blahut–Arimoto Method
The most commonly used technique to date for finding the Pareto frontier is the Blahut–Arimoto (BA) method [27,28] applied to the DIB objective of Equation (3) as described in [12]. Figure 9 and Table 3 shows the BA method implemented as in [23], applied to our above-mentioned analytic toy example, after binning using 2000 equispaced W-bins and , scanning the -parameter from Equation (3) from to 1 in 20,000 logarithmically equispaced steps. Our method is seen to improve on the BA method in two ways. First, our method finds the entire continuous frontier, whereas the BA method finds only six discrete disconnected points. This is because the BA-method tries to maximize the the DIB-objective from Equation (3) and thus cannot discover points where the Pareto frontier is convex as discussed above. Second, our method finds the exact frontier, whereas the BA-method finds only approximations, which are seen to generally lie below the true frontier.
Figure 9.
The Pareto frontier our analytic example is computed exactly with our method (solid curve) and approximately with the Blahut–Arimoto method (dots).
Table 3.
The approximate Pareto frontier points for our analytic example computed with the Blahut–Arimoto (BA) method compared with the points for those same six H-values computed with our exact method.
4. Conclusions and Discussion
We have presented a method for mapping out the Pareto frontier for classification tasks (as in Figure 8), reflecting the tradeoff between retained entropy and class information. In other words, we have generalized the quest for maximizing raw classification accuracy to that of mapping the full Pareto frontier corresponding to the accuracy–complexity tradeoff. The optimal soft classifiers that we have studied (corresponding to points on the Pareto frontier) are useful for the same reason that the DIB method is useful, e.g., overfitting less and therefore generalizing better.
We first showed how a random variable X (an image, say) drawn from a class can be distilled into a vector losslessly, so that . For the case of binary classification, we then showed how the Pareto frontier is swept out by a one-parameter family of binnings of W into a discrete variable that corresponds to binning W into bins, such that is maximized for each fixed entropy . Our method efficiently finds the exact Pareto frontier, significantly outperforming the Blahut–Arimoto (BA) method [27,28]. Our MATLAB code for computing the Pareto frontier is freely available here: https://github.com/tailintalent/distillation.
4.1. Relation to Information Bottleneck
As mentioned in the introduction, the discrete information bottleneck (DIB) method [12] maximizes a linear combination of the two axes in Figure 8. We have presented a method solving a generalization of the DIB problem. The generalization lies in switching the objective from Equation (3) to Equation (1), which has the advantage of discovering the full Pareto frontier in Figure 8 instead of merely the corners and concave parts (as mentioned, the DIB objective cannot discover convex parts of the frontier). The solution lies in our proof that the frontier is spanned by binnings of the likelihood into etc., bins, which enables it to be computed more efficiently than with the iterative/variational method of [12].
The popular original Information Bottleneck (IB) method [10] generalizes DIB by allowing the compression function to be non-deterministic, thus adding noise that is independent of X. Starting with a Pareto-optimal and adding such noise will simply shift us straight to the left in Figure 8, away from the frontier (which is by definition monotonically decreasing) and into the Pareto-suboptimal region in the vs. plane. As shown in [12], IB-compressions tend to altogether avoid the rightmost part of Figure 8, with an entropy that never drops below some fixed value independent of .
4.2. Relation to Phase Transitions in DIB Learning
Recent work has revealed interesting phase transitions that occur during information bottleneck learning [12,24,25,29], as well as phase transitions in other objectives, e.g., -VAE [30], infoDropout [31]. Specifically, when the -parameter that controls the tradeoff between information retention and model simplicity is continuously adjusted, the resulting point in the IB-plane can sometimes “get stuck” or make discontinuous jumps. For the DIB case, our results provide an intuitive understanding of these phase transitions in terms of the geometry of the Pareto frontier.
Let us consider Figure 1 as an example. The DIB maximiziation of geometrically corresponds to finding a tangent line of the Pareto frontier of slope .
If the Pareto frontier were everywhere continuous and concave, so that , then its slope would range from some steepest value at the right endpoint and continuously flatten out as we move leftward, asymptotically approaching zero slope as . The learnability phase transition studied in [24,25] would then occur when : for any , the DIB method learns nothing, e.g., discovers as optimal the point where Z retains no information whatsoever about Y. As is continuously reduced, the DIB-discovered point would then continuously move up and to the left along the Pareto frontier.
This was for the case of an everywhere concave frontier, but Figure 1 and Figure 8 show that actual Pareto frontiers need not be concave—indeed, none of the frontiers that we have computed are concave. Instead, they are seen to consist of long convex segments joint together by short concave pieces near the “corners”. This means that as is continuously increased, the DIB solution exhibits first-order phase transitions, making discontinuous jumps from corner to corner at certain critical -values; these phase transitions correspond to increasing the number of clusters into which the data X is grouped.
4.3. Outlook
Our results suggest a number of opportunities for further work, ranging from information theory to machine learning, neuroscience and physics.
As to information theory, it will be interesting to try to generalize our method from binary classification into classification into more than two classes. Moreover, one can ask if there is a way of pushing the general information distillation problem all the way to bits. It is easy to show that a discrete random variable can always be encoded as independent random bits (Bernoulli variables) , defined by
while this generically requires some information bloat. The mapping z from bit strings to integers is defined so that is the position of the last bit that equals one when is preceded by a one. For example, for , the mapping from length-3 bit strings to integers is , , , . So in the spirit of the introduction, is there some useful way of generalizing PCA, autoencoders, CCA and/or the method we have presented so that the quantities and in Table 1 are not real numbers but bits?
As to neural networks, it is interesting to explore novel classifier architectures that reduce the overfitting and resulting overconfidence revealed by Figure 7, as this might significantly increase the amount of information we can distill into our compressed data. It is important not to complacently declare victory just because classification accuracy is high; as mentioned, even 99% binary classification accuracy can waste 8% of the information.
As to neuroscience, our discovery of optimal “corner” binnings begs the question of whether evolution may have implemented such categorization in brains. For example, if some binary variable Y that can be inferred from visual imagery is evolutionarily important for a given species (say, whether potential food items are edible), might our method help predict how many distinct colors m their brains have evolved to classify hues into? In this example, X might be a triplet of real numbers corresponding to light intensity recorded by three types of retinal photoreceptors, and the integer Z might end up corresponding so some definitions of yellow, orange, etc. A similar question can be asked for other cases where brains define finite numbers of categories, for example categories defined by distinct words.
As to physics, it has been known even since the introduction of Maxwell’s Demon that a physical system can use information about its environment to extract work from it. If we view an evolved life form as an intelligent agent seeking to perform such work extraction, then it faces a tradeoff between retaining too little relevant infomation (consequently extrating less work) and retaining too much (wasting energy on information processing and storage). Susanne Still recently proved the remarkable physics result [32] that the lossy data compression optimizing such work extraction efficiency is precisely that prescribed by the above-mentioned information bottleneck method [10]. As she puts it, an intelligent data representation strategy emerges from the optimization of a fundamental physical limit to information processing. This derivation made minimal and reasonable seeming assumptions about the physical system, but did not include an energy cost for information encoding. We conjecture that this can be done such that an extra Shannon coding term proportional to gets added to the loss function, which means that when this term dominates, the generalized Still criterion would instead prefer the Deterministic Information Bottleneck or one of our Pareto-optimal data compressions.
While noise-adding IB-style data compression may turn out to be commonplace in many biological settings, it is striking that the types of data compression we typically associate with human perception intelligence appears more deterministic, in the spirit of DIB and our work. For example, when we compress visual input into “this is a probably a cat”, we do not typically add noise by deliberately flipping our memory to “this is probably a dog”. Similarly, the popular jpeg image compression algorithm dramatically reduces image sizes while retaining essentially all information that we humans find relevant, and does so deterministically, without adding noise.
It is striking that simple information-theoretical principles such as IB, DIB and Pareto-optimality appear relevant across the spectrum of known intelligence, ranging from extremely simple physical systems as in Still’s work all the way up to high-level human perception and cognition. This motivates further work on the exciting quest for a deeper understanding of Pareto-optimal data compression and its relation to neuroscience and physics.
Author Contributions
Conceptualization, resources, supervision, project administration, funding acquisition, M.T.; methodology, software, validation, formal analysis, investigation, writing—original draft preparation, writing—review and editing, visualization, M.T. and T.W. All authors have read and agreed to the published version of the manuscript.
Funding
This work was supported by The Casey and Family Foundation, the Ethics and Governance of AI Fund, the Foundational Questions Institute, the Rothberg Family Fund for Cognitive Science and by Theiss Research through TWCF grant #0322. The opinions expressed in this publication are those of the authors and do not necessarily reflect the views of the funders.
Acknowledgments
The authors wish to thank Olivier de Weck for sharing the AWS multiobjective optimization software.
Conflicts of Interest
The authors declare no conflict of interest. The funders had no role in the design of the study; in the collection, analyses, or interpretation of data; in the writing of the manuscript, or in the decision to publish the results.
Appendix A. Binning Can Be Practically Lossless
If the conditional probability distribution is a slowly varying function and the range of W is divided into tiny bins, then will be almost constant within each bin and so binning W (discarding information about the exact position of W within a bin) should destroy almost no information about Y. This intuition is formalized by the following theorem, which says that a random variable W can be binned into a finite number of bins at the cost of losing arbitrarily little information about Y.
Theorem A1.
Binning can be practically lossless: Given a random variableand a uniformly distributed random variablesuch that the conditional probability distributionis monotonic, there exists for any real numbera vectorof bin boundaries such that the information reduction
where B is the binning function defined by Equation (17).
Proof.
The binned bivariate probability distribution is
with marginal distribution
Let denote the piecewise constant function that in the th bin takes the average value of in that bin, i.e.,
These definitions imply that
where . Since vanishes at and and takes its intermediate maximum value at , the function
is continuous and increases monotonically for , with . This means that if we define the non-negative monotonic function
it changes at least as fast as either of its terms, so that for any , , we have
We will exploit this bound to limit how much can vary within a bin. Since and , we pick bins boundaries implicitly defined by
for some integer . Using Equation (A6), this implies that
The mutual information between two variables is given by , where the second term (the conditional entropy is given by the following expressions in the cases that we need:
The information loss caused by our binning is therefore
where we used Equation (A4) to obtain the third row and Equation (A8) to obtain the last row. This means that however small an information loss tolerance we want, we can guarantee by choosing bins placed according to Equation (A7), which completes the proof. □
Note that the proof still holds if the function is not monotonic, as long as the number of times M that it changes direction is finite: In that case, we can simply repeat the above-mentioned binning procedure separately in the intervals where is monotonic, using bins in each interval, i.e., a total of bins.
Appendix B. More Varying Conditional Probability Boosts Mutual Information
Mutual information is loosely speaking a measure of how far a probability distribution is from being separable, i.e., a product of its two marginal distributions. (specifically, the mutual information is the Kullback–Leibler divergence between the bivariate probability distribution and the product of its marginals.) If all conditional probabilities for one variable Y given the other variable Z are identical, then the distribution is separable and the mutual information vanishes, so one may intuitively expect that making conditional probabilities more different from each other will increase . The following theorem formalizes this intuition in a way that enables Theorem 2.
Theorem A2.
Consider two discrete random variablesandand define,, so that the joint probability distributionis given by,. If two conditional probabilitiesanddiffer, then we increase the mutual informationif we bring them further apart by adjustingandin such a way that both marginal distributions remain unchanged.
Proof.
The only such change that keeps the marginal distributions for both Z and Y unchanged takes the form
where the parameter must be kept small enough for all probabilities to remain non-negative. Without loss of generality, we can assume that , so that we make the conditional probabilities
more different when increasing from zero. Computing and differentiating the mutual information with respect to , most terms cancel and we find that
which means that adjusting the probabilities with a sufficiently tiny will increase the mutual information, completing the proof. □
References
- Pearson, K. LIII. On lines and planes of closest fit to systems of points in space. Lond. Edinb. Dublin Philos. Mag. J. Sci. 1901, 2, 559–572. [Google Scholar] [CrossRef]
- Vincent, P.; Larochelle, H.; Bengio, Y.; Manzagol, P.A. Extracting and composing robust features with denoising autoencoders. In Proceedings of the 25th International Conference on Machine Learning, Helsinki, Finland, 5–9 July 2008; pp. 1096–1103. [Google Scholar]
- Goodfellow, I.; Pouget-Abadie, J.; Mirza, M.; Xu, B.; Warde-Farley, D.; Ozair, S.; Courville, A.; Bengio, Y. Generative adversarial nets. In Proceedings of the Neural Information Processing Systems 2014, Montreal, QC, Canada, 8–13 December 2014; pp. 2672–2680. [Google Scholar]
- Hotelling, H. Relation between two sets of variates. Biometrica 1936, 28, 321–377. [Google Scholar] [CrossRef]
- Eckart, C.; Young, G. The approximation of one matrix by another of lower rank. Psychometrika 1936, 1, 211–218. [Google Scholar] [CrossRef]
- van den Oord, A.; Li, Y.; Vinyals, O. Representation learning with contrastive predictive coding. arXiv 2018, arXiv:1807.03748. [Google Scholar]
- Clark, D.G.; Livezey, J.A.; Bouchard, K.E. Unsupervised Discovery of Temporal Structure in Noisy Data with Dynamical Components Analysis. arXiv 2019, arXiv:1905.09944. [Google Scholar]
- Tegmark, M. Optimal Latent Representations: Distilling Mutual Information into Principal Pairs. arXiv 2019, arXiv:1902.03364. [Google Scholar]
- Kurkoski, B.M.; Yagi, H. Quantization of binary-input discrete memoryless channels. IEEE Trans. Inf. Theory 2014, 60, 4544–4552. [Google Scholar] [CrossRef]
- Tishby, N.; Pereira, F.C.; Bialek, W. The information bottleneck method. arXiv 2000, arXiv:physics/0004057. [Google Scholar]
- Tan, A.; Meshulam, L.; Bialek, W.; Schwab, D. The renormalization group and information bottleneck: A unified framework. In Proceedings of the APS Meeting Abstracts, Boston, MA, USA, 4–8 March 2019. [Google Scholar]
- Strouse, D.; Schwab, D.J. The deterministic information bottleneck. Neural Comput. 2017, 29, 1611–1630. [Google Scholar] [CrossRef]
- Alemi, A.A.; Fischer, I.; Dillon, J.V.; Murphy, K. Deep variational information bottleneck. arXiv 2016, arXiv:1612.00410. [Google Scholar]
- Chalk, M.; Marre, O.; Tkacik, G. Relevant sparse codes with variational information bottleneck. In Proceedings of the Neural Information Processing Systems 2016, Barcelona, Spain, 5–10 December 2016; pp. 1957–1965. [Google Scholar]
- Fischer, I. The Conditional Entropy Bottleneck. 2018. Available online: https://openreview.net/forum?id=rkVOXhAqY7 (accessed on 11 December 2019).
- Amjad, R.A.; Geiger, B.C. Learning representations for neural network-based classification using the information bottleneck principle. IEEE Trans. Pattern Anal. Mach. Intell. 2019. [Google Scholar] [CrossRef] [PubMed]
- Kim, I.Y.; de Weck, O.L. Adaptive weighted-sum method for bi-objective optimization: Pareto front generation. Struct. Multidiscip. Optim. 2005, 29, 149–158. [Google Scholar] [CrossRef]
- Krizhevsky, A.; Nair, V.; Hinton, G. The CIFAR-10 Dataset. 2014. Available online: https://www.cs.toronto.edu/~kriz/cifar.html (accessed on 11 December 2019).
- LeCun, Y.; Cortes, C.; Burges, C. MNIST Handwritten Digit Database. 2010. Available online: http://yann.lecun.com/exdb/mnist (accessed on 11 December 2019).
- Xiao, H.; Rasul, K.; Vollgraf, R. Fashion-mnist: A novel image dataset for benchmarking machine learning algorithms. arXiv 2017, arXiv:1708.07747. [Google Scholar]
- Krizhevsky, A.; Hinton, G. Learning Multiple Layers of Features from Tiny Images; Technical Report TR-2009; University of Toronto: Toronto, ON, Canada, 2009. [Google Scholar]
- He, K.; Zhang, X.; Ren, S.; Sun, J. Deep residual learning for image recognition. In Proceedings of the IEEE Conference on Computer Vision and Pattern Recognition, Las Vegas, NV, USA, 27–30 June 2016; pp. 770–778. [Google Scholar]
- Strouse, D.; Schwab, D.J. The information bottleneck and geometric clustering. Neural Comput. 2019, 31, 596–612. [Google Scholar] [CrossRef] [PubMed]
- Wu, T.; Fischer, I.; Chuang, I.; Tegmark, M. Learnability for the information bottleneck. arXiv 2019, arXiv:1907.07331. [Google Scholar]
- Wu, T.; Fischer, I.; Chuang, I.; Tegmark, M. Learnability for the information bottleneck. Entropy 2019, 21, 924. [Google Scholar] [CrossRef]
- Thompson, J.; Garner, A.J.; Mahoney, J.R.; Crutchfield, J.P.; Vedral, V.; Gu, M. Causal asymmetry in a quantum world. Phys. Rev. X 2018, 8, 031013. [Google Scholar] [CrossRef]
- Blahut, R. Computation of channel capacity and rate-distortion functions. IEEE Trans. Inf. Theory 1972, 18, 460–473. [Google Scholar] [CrossRef]
- Arimoto, S. An algorithm for computing the capacity of arbitrary discrete memoryless channels. IEEE Trans. Inf. Theory 1972, 18, 14–20. [Google Scholar] [CrossRef]
- Chechik, G.; Globerson, A.; Tishby, N.; Weiss, Y. Information bottleneck for Gaussian variables. J. Mach. Learn. Res. 2005, 6, 165–188. [Google Scholar]
- Rezende, D.J.; Viola, F. Taming VAEs. arXiv 2018, arXiv:1810.00597. [Google Scholar]
- Achille, A.; Soatto, S. Emergence of invariance and disentanglement in deep representations. J. Mach. Learn. Res. 2018, 19, 1947–1980. [Google Scholar]
- Still, S. Thermodynamic cost and benefit of data representations. arXiv 2017, arXiv:1705.00612. [Google Scholar]
© 2019 by the authors. Licensee MDPI, Basel, Switzerland. This article is an open access article distributed under the terms and conditions of the Creative Commons Attribution (CC BY) license (http://creativecommons.org/licenses/by/4.0/).








