Quantifying the Unitary Generation of Coherence from Thermal Quantum Systems
Abstract
1. Introduction
2. General Aspects of Coherence Measurment: Information and Entropy
3. Maximum Coherences I: The General Case and Its Relation to the Micro-canonical Ensemble
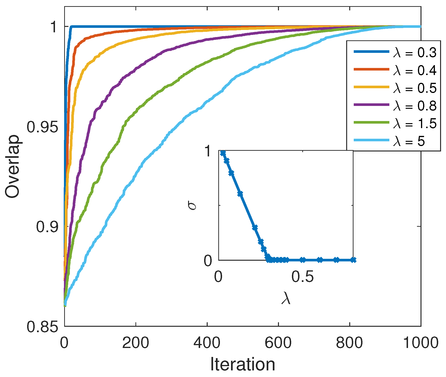
Computational Control Demonstration and Model
4. Maximum Coherence II: Energy Constraint and The Canonical Probability Distribution
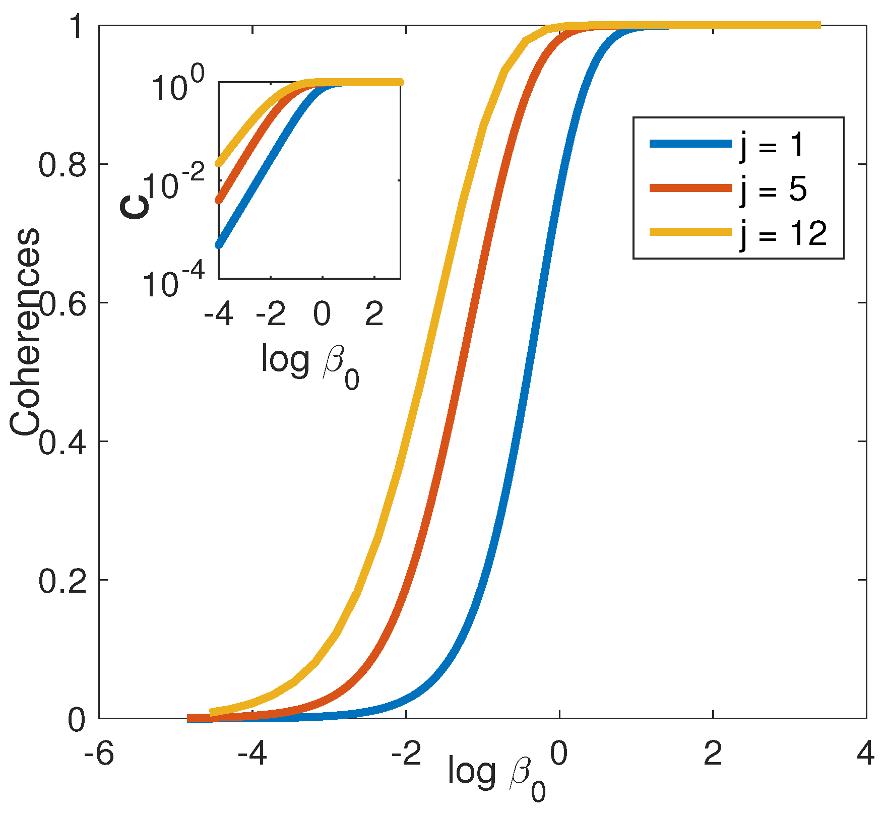
Numerical Example
5. Additional Constraints Imposing Coherence Predominately Close to the Diagonal
6. Summary
Author Contributions
Funding
Conflicts of Interest
References
- Winter, A.; Yang, D. Operational resource theory of coherence. Phys. Rev. Lett. 2016, 116, 120404. [Google Scholar] [CrossRef] [PubMed]
- Streltsov, A.; Adesso, G.; Plenio, M.B. Colloquium: Quantum coherence as a resource. Rev. Mod. Phys. 2017, 89, 041003. [Google Scholar] [CrossRef]
- Kosloff, R. Quantum thermodynamics: a dynamical viewpoint. Entropy 2013, 15, 2100–2128. [Google Scholar] [CrossRef]
- Goold, J.; Huber, M.; Riera, A.; del Rio, L.; Skrzypczyk, P. The role of quantum information in thermodynamics: A topical review. J. Phys. A Math. Theor. 2016, 49, 143001. [Google Scholar] [CrossRef]
- Haag, R.; Kastler, D.; Trych-Pohlmeyer, E.B. Stability and equilibrium states. Commun. Math. Phys. 1974, 38, 173–193. [Google Scholar] [CrossRef]
- Lenard, A. Thermodynamical proof of the Gibbs formula for elementary quantum systems. J. Stat. Phys. 1978, 19, 575–586. [Google Scholar] [CrossRef]
- Pusz, W.; Woronowicz, S. Passive states and KMS states for general quantum systems. Commun. Math. Phys. 1978, 58, 273–290. [Google Scholar] [CrossRef]
- Felker, P.; Baskin, J.; Zewail, A. Rephasing of collisionless molecular rotational coherence in large molecules. J. Phys. Chem. 1986, 90, 724–728. [Google Scholar] [CrossRef]
- Baskin, J.S.; Felker, P.M.; Zewail, A.H. Purely rotational coherence effect and time-resolved sub-Doppler spectroscopy of large molecules. II. Experimental. J. Chem. Phys. 1987, 86, 2483–2499. [Google Scholar] [CrossRef]
- Damari, R.; Kallush, S.; Fleischer, S. Rotational control of asymmetric molecules: Dipole-versus polarizability-driven rotational dynamics. Phys. Rev. Lett. 2016, 117, 103001. [Google Scholar] [CrossRef]
- Sugny, D.; Keller, A.; Atabek, O.; Daems, D.; Dion, C.; Guérin, S.; Jauslin, H.R. Control of mixed-state quantum systems by a train of short pulses. Phys. Rev. A 2005, 72, 032704. [Google Scholar] [CrossRef]
- Girardeau, M.; Ina, M.; Schirmer, S.; Gulsrud, T. Kinematical bounds on evolution and optimization of mixed quantum states. Phys. Rev. A 1997, 55, R1565. [Google Scholar] [CrossRef]
- Kosloff, R.; Rezek, Y. The Quantum harmonic otto Cycle. Entropy 2017, 19, 136. [Google Scholar] [CrossRef]
- Feldmann, T.; Kosloff, R. Quantum four-stroke heat engine: Thermodynamic observables in a model with intrinsic friction. Phys. Rev. E 2003, 68, 016101. [Google Scholar] [CrossRef]
- Plastina, F.; Alecce, A.; Apollaro, T.; Falcone, G.; Francica, G.; Galve, F.; Gullo, N.L.; Zambrini, R. Irreversible work and inner friction in quantum thermodynamic processes. Phys. Rev. Lett. 2014, 113, 260601. [Google Scholar] [CrossRef]
- Uzdin, R.; Levy, A.; Kosloff, R. Quantum heat machines equivalence and work extraction beyond Markovianity, and strong coupling via heat exchangers. Entropy 2016, 18, 124. [Google Scholar] [CrossRef]
- Kieu, T.D. The second law, Maxwell’s demon, and work derivable from quantum heat engines. Phys. Rev. Lett. 2004, 93, 140403. [Google Scholar] [CrossRef]
- Deffner, S.; Lutz, E. Generalized Clausius inequality for nonequilibrium quantum processes. Phys. Rev. Lett. 2010, 105, 170402. [Google Scholar] [CrossRef]
- Misra, A.; Singh, U.; Bhattacharya, S.; Pati, A.K. Energy cost of creating quantum coherence. Phys. Rev. A 2016, 93, 052335. [Google Scholar] [CrossRef]
- Banin, U.; Bartana, A.; Ruhman, S.; Kosloff, R. Impulsive excitation of coherent vibrational motion ground surface dynamics induced by intense short pulses. J. Chem. Phys. 1994, 101, 8461–8481. [Google Scholar] [CrossRef]
- Baumgratz, T.; Cramer, M.; Plenio, M. Quantifying coherence. Phys. Rev. Lett. 2014, 113, 140401. [Google Scholar] [CrossRef]
- Shannon, C.E. A mathematical theory of communication. Bell Syst. Tech. J. 1948, 27, 379–423. [Google Scholar] [CrossRef]
- Neumann, J.V. Mathematical Foundations of Quantum Mechanics; Princeton University Press: Princeton, NJ, USA, 1955. [Google Scholar]
- Nielsen, M.A.; Chuang, I.L. Quantum computation and quantum information. Am. J. Phys. 2000, 70. [Google Scholar] [CrossRef]
- Uzdin, R.; Dalla Torre, E.G.; Kosloff, R.; Moiseyev, N. Effects of an exceptional point on the dynamics of a single particle in a time-dependent harmonic trap. Phys. Rev. A 2013, 88, 022505. [Google Scholar] [CrossRef]
- Lindblad, G. Expectations and entropy inequalities for finite quantum systems. Commun. Math. Phys. 1974, 39, 111–119. [Google Scholar] [CrossRef]
- Feldmann, T.; Kosloff, R. Transitions between refrigeration regions in extremely short quantum cycles. Phys. Rev. E 2016, 93, 052150. [Google Scholar] [CrossRef]
- Uzdin, R.; Rahav, S. Global passivity in microscopic thermodynamics. Phys. Rev. X 2018, 8, 021064. [Google Scholar] [CrossRef]
- Mahan, G.D. Many-Particle Physics; Springer Science & Business Media: New York, NY, USA, 2013. [Google Scholar]
- Kallush, S.; Khasin, M.; Kosloff, R. Quantum control with noisy fields: computational complexity versus sensitivity to noise. New J. Phys. 2014, 16, 015008. [Google Scholar] [CrossRef]
- Palao, J.P.; Kosloff, R. Optimal control theory for unitary transformations. Phys. Rev. A 2003, 68, 062308. [Google Scholar] [CrossRef]
- Chakrabarti, R.; Rabitz, H. Quantum control landscapes. Int. Rev. Phys. Chem. 2007, 26, 671–735. [Google Scholar] [CrossRef]
- Rabitz, H.; Hsieh, M.; Rosenthal, C. Landscape for optimal control of quantum-mechanical unitary transformations. Phys. Rev. A 2005, 72, 052337. [Google Scholar] [CrossRef]
- Katz, A. Principles of Statistical Mechanics: The Information Theory Approach; WH Freeman: New York, NY, USA, 1967. [Google Scholar]
- Stapelfeldt, H.; Seideman, T. Colloquium: Aligning molecules with strong laser pulses. Rev. Mod. Phys. 2003, 75, 543. [Google Scholar] [CrossRef]
- Aroch, A.; Kallush, S.; Kosloff, R. Optimizing the multicycle subrotational internal cooling of diatomic molecules. Phys. Rev. A 2018, 97, 053405. [Google Scholar] [CrossRef]
- Binder, F.; Correa, L.A.; Gogolin, C.; Anders, J.; Adesso, G. Thermodynamics in the Quantum Regime; Springer: Berlin, Germany, 2019. [Google Scholar]






© 2019 by the authors. Licensee MDPI, Basel, Switzerland. This article is an open access article distributed under the terms and conditions of the Creative Commons Attribution (CC BY) license (http://creativecommons.org/licenses/by/4.0/).
Share and Cite
Kallush, S.; Aroch, A.; Kosloff, R. Quantifying the Unitary Generation of Coherence from Thermal Quantum Systems. Entropy 2019, 21, 810. https://doi.org/10.3390/e21080810
Kallush S, Aroch A, Kosloff R. Quantifying the Unitary Generation of Coherence from Thermal Quantum Systems. Entropy. 2019; 21(8):810. https://doi.org/10.3390/e21080810
Chicago/Turabian StyleKallush, Shimshon, Aviv Aroch, and Ronnie Kosloff. 2019. "Quantifying the Unitary Generation of Coherence from Thermal Quantum Systems" Entropy 21, no. 8: 810. https://doi.org/10.3390/e21080810
APA StyleKallush, S., Aroch, A., & Kosloff, R. (2019). Quantifying the Unitary Generation of Coherence from Thermal Quantum Systems. Entropy, 21(8), 810. https://doi.org/10.3390/e21080810

