Abstract
Mental workload assessment is crucial in many real life applications which require constant attention and where imbalance of mental workload resources may cause safety hazards. As such, mental workload and its relationship with heart rate variability (HRV) have been well studied in the literature. However, the majority of the developed models have assumed individuals are not ambulant, thus bypassing the issue of movement-related electrocardiography (ECG) artifacts and changing heart beat dynamics due to physical activity. In this work, multi-scale features for mental workload assessment of ambulatory users is explored. ECG data was sampled from users while they performed different types and levels of physical activity while performing the multi-attribute test battery (MATB-II) task at varying difficulty levels. Proposed features are shown to outperform benchmark ones and further exhibit complementarity when used in combination. Indeed, results show gains over the benchmark HRV measures of in accuracy and of in F1 score can be achieved even at high activity levels.
1. Introduction
Mental workload is defined as the part of a person’s mental capacity that is needed to perform different demands brought on by a task [1]. Mental workload resources, if not used in a balanced way, can lead to a decrease in worker performance [2], as the resources are directly related to other mental concepts such as situational awareness, mental fatigue, and drowsiness, to name a few. In fact, in various jobs which require continuous attention for long durations of time, such as air traffic management, aircraft piloting, and emergency responders, overload of mental resources may lead to life-threatening outcomes. As such, mental workload assessment can be used to optimize operator performance by preventing the operators from becoming overwhelmed by the task at any point in time while also ensuring that they can perform the task efficiently. System design improvements can also be made to ensure balanced used of mental resources by proper assessment of mental workload. For example, car dashboards are designed in such a way that they provide the driver with all the necessary/critical information whilst minimizing mental workload. Similarly, aircraft cockpit design has been greatly simplified using mental workload considerations [3].
Mental workload is typically assessed using subjective, performance-related, and/or physiological methods. Subjective ratings are a direct way of mental workload assessment. Typically, such methods involve sampling the participant response to the amount of mental workload by using a questionnaire. The sampling can be done for every set amount of stimuli, or every set amount of time. Two of the most commonly used questionnaires are the (1) Subjective Workload Assessment Technique (SWAT) [4] and (2) NASA Task Load Index (NASA-TLX) [5]. The latter requires subjects to rate multiple dimensions that can then be aggregated into a single general workload index [6,7,8]. However, subjective ratings have some key limitations. First, they do not allow for continuous mental workload assessment and have poor temporal resolution. While increasing the sampling rate for operator feedback via the questionnaire could lead to improved temporal resolution, this may actually have negative impact of increasing the perceived workload due to the number of interruptions to the task being performed. Second, the ratings collected can be corrupted by subject bias, particularly if responses impact benefits received by the operators e.g., unpaid time off from work [6]. In turn, performance metrics related to the task can also be used to devise strategies for monitoring mental workload. Examples of such metrics include reaction time, number of errors, and task accuracy. However, one major barrier to applying these strategies to safety critical scenarios is the fact that the metrics can only be computed once the task is concluded.
In order to circumvent the limitations presented by these methods, operator physiological monitoring has emerged as a promising solution for mental workload assessment. Monitoring psycho-physiological signals allows for unbiased, continuous assessment of real-time mental workload while also being unobtrusive to the task at hand. In fact, with recent improvements in wearable technologies, remote monitoring of mental workload has been made possible even with operators in ambulatory conditions [9]. To this end, the electrocardiogram (ECG) has become an important modality to be measured. Heart rate variability (HRV), which is the variability in the inter-beat interval (RR) series derived from ECG, has shown to be an important correlate of psycho-social workload [10] (i.e., job stressors), mental workload and anxiety [11], as well as mental fatigue [12]. HRV is an indicator of the changes in the autonomic nervous system (ANS) and is controlled by both the sympathetic and para-sympathetic nervous system demands (increased activation of the sympathetic nervous system causes increases in heart rate, whereas an increased activation of the parasympathetic branch makes the heart rate slower). HRV has traditionally been quantified using time- and/or frequency-domain features computed from the RR time series [13]. The inter-beat interval series also exhibit complex fractal behavior with long-term correlations [14]. Over the last decade, these non-linear properties of the cardiac autonomic system have also been exploited using several complexity measures [15].
One such measure, called the multi-scale entropy (MSE) [16] has been proposed to characterize the complexity of physiologic time series at multiple scales. The algorithm is based on obtaining sample entropy at different time scales using a scaling algorithm. However, the originally proposed scaling algorithm (known as coarse graining) is sub-optimal and may lead to imprecise or undefined entropy values [17]. As a result, several variants of the multi-scale algorithm have been proposed in recent years [17], including permutation entropy () [18,19] which has been shown to be robust to signal artifacts, as it deals with the shape of the time series, and not on magnitude values themselves [20,21]. Several variants of the coarse-graining method have also been proposed, including replacing it with moving average for short time series [22], a composite procedure that reduces the variance of entropy at higher scales [23], and the recently-proposed generalized multi-scale entropy measure [24], which quantifies the dynamics of the volatility (variance) of the time series over different scales [24,25].
Entropy-based measures have been used in the past to characterize aging and to diagnose different cardiac diseases [26,27,28]. Moreover, multi-scale analysis of the volatility series of the RR intervals [24] has also shown non-linear behavior and is able to successfully distinguish between healthy subjects and those with congestive heart failure. In [24], the authors argue that the coarse grained volatility series encapsulates additional information about the time series missed by the normal coarse graining procedure. Additionally the magnitude of the difference intervals of the RR series (i.e., has exhibited similar long-range correlations [29]. This property was used in [30] and showed better performance in distinguishing patients with congestive heart failure at lower scales compared to the RR series. Further, several improvements to the permutation entropy measure have been proposed. The modified permutation entropy (), for example, takes into account cases in which instantaneous heart rate measures remain the same for two consecutive beats [31], while the weighted permutation entropy [32] tries to incorporate the amplitude information of the time series being analyzed.
While such multi-scale measures have been used in cardiac disease monitoring, they have received little attention for mental state monitoring. However, was recently used for emotion assessment [33] of stationary users. Here, we are particularly interested in assessing user mental states in an ambulatory setting, in which movement may not only introduce artifacts that play a detrimental role in signal quality, but also cause changes in cardiac dynamics that may alter HRV measurement. As such, we explore a number of existing multi-scale features and propose new ones for mental workload assessment as subjects performed two different physical activities at three different levels. We hypothesize that the noise robustness provided by the permutation entropy measure coupled with studying complexity at different scales would help better quantify heart rate changes due to mental workload at different levels of physical activity.
The remainder of this paper is organized as follows. Section 2 describes the materials and methods used, including the database considered, proposed and benchmark features, prediction method, and performance metrics used. Section 3 then presents and discusses the results obtained and conclusions are presented in Section 4.
2. Materials and Methods
Here, we describe the database used, benchmark features, the different multi-scale methods tested, as well as the feature selection scheme employed, classifiers, and analysis pipeline.
2.1. Data Collection
2.1.1. Participants
After screening, 47 participants were selected (23 female, years old). Screening was performed in order to prevent any potential risk to the participants during the experiments. Candidates with cardiovascular diseases, neurological disorders, history of feeling dizzy or fainting were excluded from the experiment. The participants were asked to wear comfortable sportswear. Twenty-two participants utilized a treadmill during the experiment and 26 a stationary bike. Participants consented to participating in the experiment and were remunerated for their time. The experimental protocol was approved by the Ethics Review Boards of INRS, Université Laval and the PERFORM Centre (Concordia University), the latter being the location in which data was collected.
2.1.2. Experimental Protocol
Before starting the data collection, a tutorial explaining the experimental procedure and task to be executed was shown to the participants. Next, various sensors were placed on the subject. These included a portable eight-channel wireless EEG headset (Enobio, Neuroelectrics), a portable chest strap (Bioharness 3, Zephyr) for ECG, respiration, and accelerometer signal recording, an E4 (Empatica) wrist watch which measures blood volume pulse, skin temperature, galvanic skin response and acceleration. Following this step, in the case of participants using the treadmill, a safety harness was placed on the participant’s chest to avoid falls. For participants using the stationary bike, they were asked to adjust the seat according to their preference. The height of the screen was then adjusted to provide a more comfortable set-up. Three levels of physical activity were considered: no movement, medium (treadmill: 3 km/h, bike: 50 rpm), and high (treadmill: 5 km/h, bike: 70 rpm). Figure 1 shows the experimental setup for both bike and treadmill conditions.
Figure 1.
Experimental setup for both bike and treadmill conditions.
In order to elicit high and low mental workload levels, the NASA multi-attribute task battery (MATB-II) was used. It is a computer-based task designed to evaluate operator performance and mental workload. Figure 2 depicts the MATB-II interface seen by the participant [34]. MATB-II encompass four tasks, all grouped under a single-window interface. These four tasks are the system monitoring (top-left), the tracking (top-center), the communications (bottom-left) and the resource management (bottom-center). In this study, the communication task was not used. The interface also includes a scheduler (top-right), which only showed the time remaining in each trials, as well as the pump status (bottom-right), which complemented information on the resource management task (see below). Since participants were simultaneously doing a physical task, a mouse could not be used to interact with MATB-II. Instead, participants were instructed to use an xBox One controller.
Figure 2.
Multi-attribute task battery (MATB-II) game for eliciting different levels of mental workload.
The system monitoring task requires the participant to monitor four sliders and report deviations from their normal state. The two warning lights (see F5 and F6 on Figure 2) were not used in this study. In their normal states, sliders were oscillating around the middle position. In their deviation state, sliders started oscillating around the top or the bottom of the sliders. Participant had to use the directional pad of the controller to report deviations. The tracking task requires the participant to keep a target (the circle) within a box (the square). As the trials went on, the target started to move randomly. Participants had to use the joystick of their controller to brink it back near the center of the square. The resource management task requires the participant to balance a network of fuel tanks. Participants were instructed to keep the level of tanks A and B as close as possible from 2500 units (this level is indicated by ticks on tanks A and B, see Figure 2). Fuel gradually depleted from tanks A and B. To keep the tanks at level, participants could use eight pumps (labeled 1–8, between tank) to move fuel between tanks. To activate pumps, participants had to use the other joystick of the controller to move the cursor and “click” on the pumps. Pumps were configured to fail from times to times. When a pump failed, it turned red and became unusable. Pumps were “repaired” automatically after a while and the participant could resume using it if needed.
Two levels of workload were used for the mental task. Compared to the low workload condition, the high workload condition had: more frequent sliders deviations (for system monitoring), faster random oscillations (for the tracking task) and more frequent pump failures (for resource management monitoring).
In total, six combinations of combined mental workload and physical activity were tested (two level of mental workload X three levels of physical activity). The experiment was then split into six sessions, each one corresponding to one of the six combinations previously described. The order in which the combinations were done was counterbalanced to avoid ordering effects. Before each session, two baseline sessions were performed. During the first session, there were neither physical or mental activity and the participants were asked to close their eyes and relax for 60 s. Then the subject was asked to open their eyes and start moving according to the corresponding sessions physical activity until reaching the desired level. After reaching a stable activity level, the second baseline was collected while the participant kept the pace for 2 min without any mental effort involved. This baseline has been added to ensure the stationarity of the heart rate dynamics for a given activity level prior to introducing the mental workload condition. This Lastly, the experimenter gave the joystick to the participant who then started the first experimental session for a duration of 10 min. After each session, a 5-min break was given. After each of the experimental sessions, participants were asked to fill the NASA-TLX questionnaire and report their perceived fatigue level based on the Borg scale. The NASA-TLX ratings were validated with respect to the ground truth in [9] Overall, the experimental protocol lasted roughly two hours.
2.2. Pre-Processing
In this study, we focused only on the ECG signal measured by the Bioharness Bh3 device, sampled at 250 Hz. This sampling rate allowed for continuous streaming throughout the experiment without the need to recharge the device. Such sampling rate has been successfully used in a number of different applications, including [35,36,37]. First, the ECG signal for all subjects was visually inspected and two subjects were removed as the data was corrupted due to sensor malfunction. For the remaining subjects the inter-beat interval series was extracted as follows. First, the ECG was filtered using a band-pass filter with a bandwidth 4–40 Hz to enhance the QRS complex. This was followed by an energy based QRS detection algorithm [38], which is an adaption of the popular Pan and Tompkins algorithm [39]. The RR series was further filtered to remove outliers using range based detection (≥280 ms and ≤1500 ms), moving average outlier detection, and a filter based on percent change in consecutive RR values (≤20%) as implemented in [40].
2.3. Benchmark HRV Features
Standard time- and frequency-domain HRV metrics were extracted and used as benchmark measures. A complete list of these conventional measures can be found in Table 1. The majority of these benchmark features have been shown in the literature to correlate with mental workload [41] and anxiety [11]. Complete details about these measures can be found in [13]. A total of 15 benchmark features were extracted over 5-min segments of RR series with a 4-min overlap, resulting in six RR series for each of the 10-min experimental sessions. The 5-min windows for HRV analysis follows recommendations from [13]. Notwithstanding, shorter time series may cause problems with multi-scale entropy estimation. In order to overcome this limitation, focus has been placed on multi-scale entropy methods designed specifically for short term analysis of HRV recordings [22,23].
Table 1.
Benchmark heart rate variability (HRV) features extracted.
2.4. Multi-Scale Entropy Features
The multi-scale entropy methods rely on two steps: (i) scaling and (ii) entropy calculation over the different scales. Here, we explored different algorithms for both steps, as summarized in Table 2.
Table 2.
Different scaling and entropy algorithms used.
2.4.1. Scaling Algorithms
Several scaling algorithms have been proposed in the literature and attempt to convey fractal information at different scales. All of these methods take the original time series () with an index i and produce the time series for a different scale. Details about the methods explored herein are given next.
- Coarse graining (): This is the original algorithm proposed to obtain different scales. A point j on the scaled series for a scale s is given by:where, . This method has been shown to be sub-optimal [17] and to lead to scaled series that decrease in size, which could increase the variance in the estimated entropy [23]. As a result, several variants have since been proposed, including the remainder listed below.
- Moving average (): With moving average, a point j on the scaled series for a scale s is given by:where .
- Composite coarse graining (): the composite method generates s different (from ) scaled series for a given scale s. The entropy estimates from the different series for the scale s are then averaged to get the entropy estimate. This helps reduce the error in the entropy estimation that occurs due to coarse graining produce. For a given scale s the point j of the coarse grained series () is given by:where and gives the next index of the scaled series. The composite multi-scale entropy () for a given scale is then given by:where is the entropy calculation algorithm. In the original algorithm the sample entropy algorithm is used.
- The second moment coarse graining (): this method quantifies the standard deviation of the scaled series (also called the volatility series) rather than its mean as done by the coarse graining procedure. A point i on the scaled series for a scale s is given by:where and represents the standard deviation.
- The second moment moving average (): we propose the moving average procedure for calculation of the second moment to adapt to short time series. This replaces the non-overlapping windows used in coarse graining to a sliding window, as in the case of the moving average algorithm.Figure 3 and Figure 4 show the RR series and RR volatility series (using ) for scales to and scales to , respectively, for a five minute ECG segment. As can be seen, scaling removes some high frequency information from the series, commonly associated with artifacts.
Figure 3. Scaled inter-beat interval (RR) time series with the moving average algorithm for scales (original series) to .
Figure 4. Scaled RR time series with the second moment moving average algorithm for scales to .
2.4.2. Entropy Algorithms
- Sample entropy (): it is the negative natural logarithm of an estimate of the conditional probability that if two sets of vectors ( and ) of length m have a distance , then two sets of vectors ( and ) of length also have a distance , based on some distance metric . It is formally defined as:where is number of vector pairs with and is number of vector pairs with .
- Modified permutation entropy (): the permutation entropy algorithm quantifies the occurrence of motifs in the series. Motifs are defined as recurring patterns in the time series with a degree m and lag . Based on the rank ordering of the motif pattern we assign it a specific symbol j. Representative motifs of degree () and lag () are shown in Figure 5. For modified permutation entropy, to account for stationary consecutive beats, four additional symbolic representations have been added (from 7 to 10 as shown in the equation below). The time series () is first converted to the ordinal series (), where where N is the size of the time series using the following relations:
Figure 5. Original motifs of degree appearing in a time series.The modified permutation entropy () is then given by:where n is the number of additional motif patterns added for the modified permutation entropy and is the relative frequency of the motif pattern represented by and calculated as:where denotes the indicator function of set A defined as if and otherwise and denotes the map from pattern space to symbol space. - Weighted modified permutation entropy (): weighted permutation entropy was proposed to incorporate the amplitude information into the permutation entropy algorithm. This is done by calculating the variances (referred as weights ) corresponding to each motif pattern in the time series. The relative frequency of a given pattern is then calculated as:The permutation entropy for this adjusted relative frequency is then calculated using the standard permutation entropy equation in (8).
The entropy values were calculated for both the RR series and the series for a scale of . Moreover, the mean and standard deviation of the entropy measures across all scales were calculated, thus resulting in 24 total features for each type of entropy measure.
2.4.3. Ordinal Distance Dissimilarity
Ordinal distance based dissimilarity [42] can be used to calculate the difference between the two ordinal series. The distance between two ordinal series X and Y is given by
where and are the relative frequencies of the motif pattern represented by in series X and Y, respectively, and m is the degree of the motif. As the RR series has statistical fractal properties (the statistical properties over different scales do not change), the ordinal distance has been calculated over the different scaled series (referred to as the inter-scale ordinal distance ()). To limit the feature space size, we have calculated the distances between scales and with . This was done for both the RR and series. Additionally, we calculate the statistics of for given to relative to all , we calculate the mean, standard deviation and first difference of , thus resulting in a total number of ordinal distance features of 66. For simplicity, only the original permutation entropy based motif structures are considered and the scaling is done by the moving average scaling algorithm.
2.5. Feature Selection and Classification
For evaluation, a five-fold cross validation setup was used. Workload assessment was performed as a binary classification task, where the high and low mental workload ground truth labels are taken from the from the MATB-II task. A support vector machine (SVM) classifier with an RBF kernel was used. To explore the generalization performance, the above mentioned procedure is repeated 50 times with different random seeds. This leads to 250 (5-folds times 50 repetitions with different random seeds) training and test sets and classifications. To assess feature importance, we used feature selection and look at the frequency of features occurring in the top 20 sets for the 250 possible combinations.
To assess feature importance, recursive feature elimination was performed using the extra trees classifier [43]. Given an external estimator that assigns weights to features (an extra trees classifier in this case), the least important features are pruned from the current set of features. The procedure is recursively repeated on the pruned set until the desired number of features to be selected is reached. This technique considers the interaction of features with the learning algorithm to give the optimal subset of features. The feature selection is used to select the top 20 features for each fold of the cross-validation set. The implementation of the classifier and feature selection algorithms was done using sci-kit learn [44].
3. Results and Discussion
The performance of the different entropy and scaling methods, the inter-scale ordinal distance and benchmark features were compared for mental workload assessment. Comparison was done for different levels of physical workload, thus allowing for the robustness of the features to be assessed relative to increases in movement artifacts and changing dynamics of the heart rate brought on by physical activity. We first compared the performance of the different combinations of entropy and scaling approaches for different activity levels. The best performing algorithms were then compared to the performance of ordinal distance scale similarity measure and benchmark features. Additionally, we performed feature fusion where all the different feature sets were combined to test for feature set complementarity.
3.1. Comparing Different Multi-Scale Entropy Algorithms
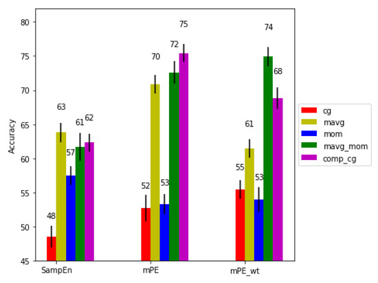
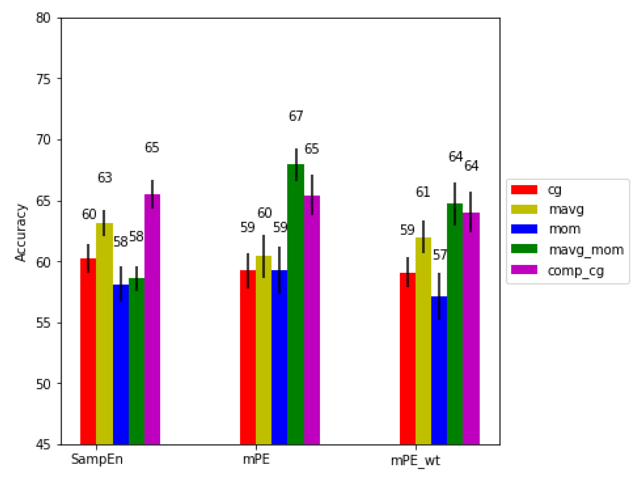
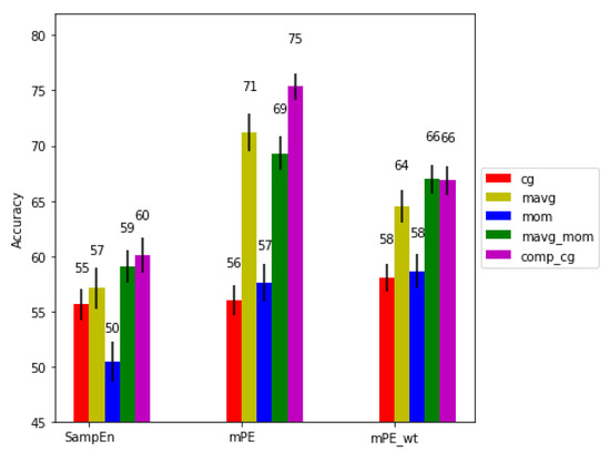
We calculated the accuracy () for different activity levels with the combinations of the three entropy measures and five scaling algorithms. Figure 6, Figure 7 and Figure 8 show the performance of the algorithms for no, medium and high physical activity levels, respectively. As can be seen, generally across all physical activity cases and for all entropy algorithms, the short time moving average based scaling ( and ) and composite based scaling () methods outperform coarse graining based approaches (, ). It can also be seen that the modified permutation entropy based on second moment based scaling methods ( and ) (referred to as generalized permutation entropy in [24]) typically achieve higher predictive power across all physical workload cases, hence indicating the importance of volatility series of the series, as well as series. Lastly, the modified permutation entropy based algorithms ( and ) performs better than sample entropy based methods.
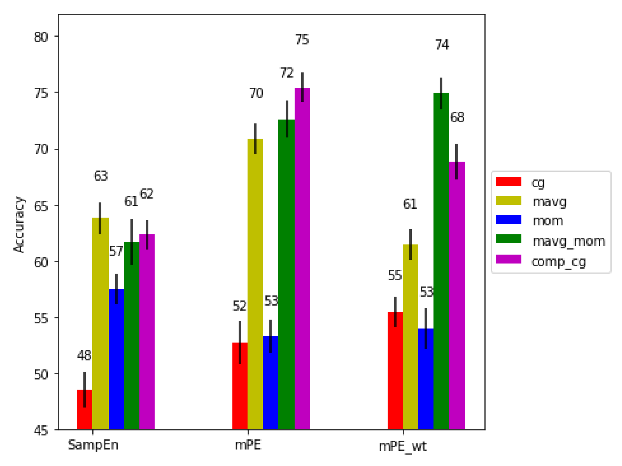
Figure 6.
Performance comparison for the no physical activity condition.
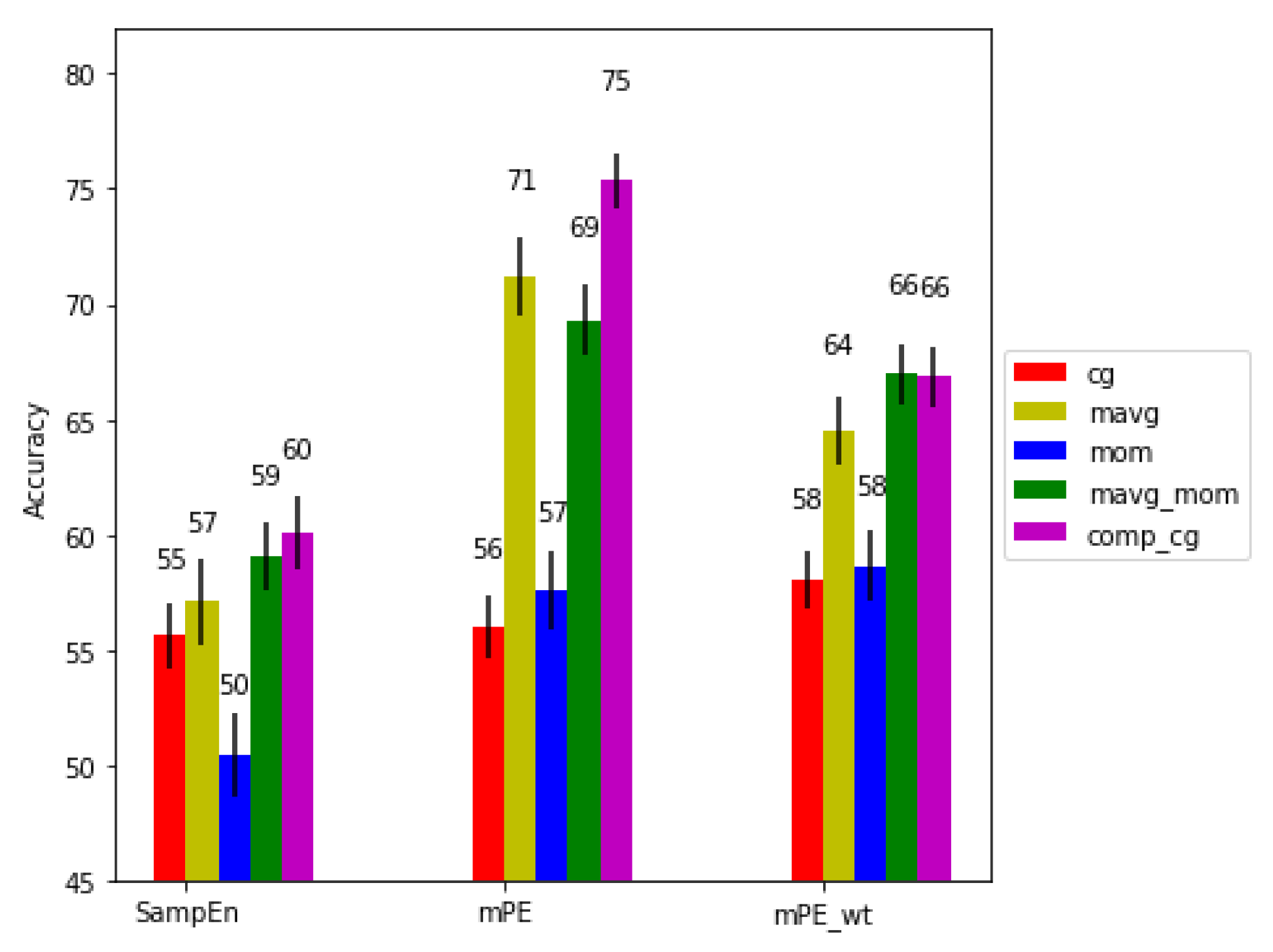
Figure 7.
Performance comparison for the medium physical activity condition.
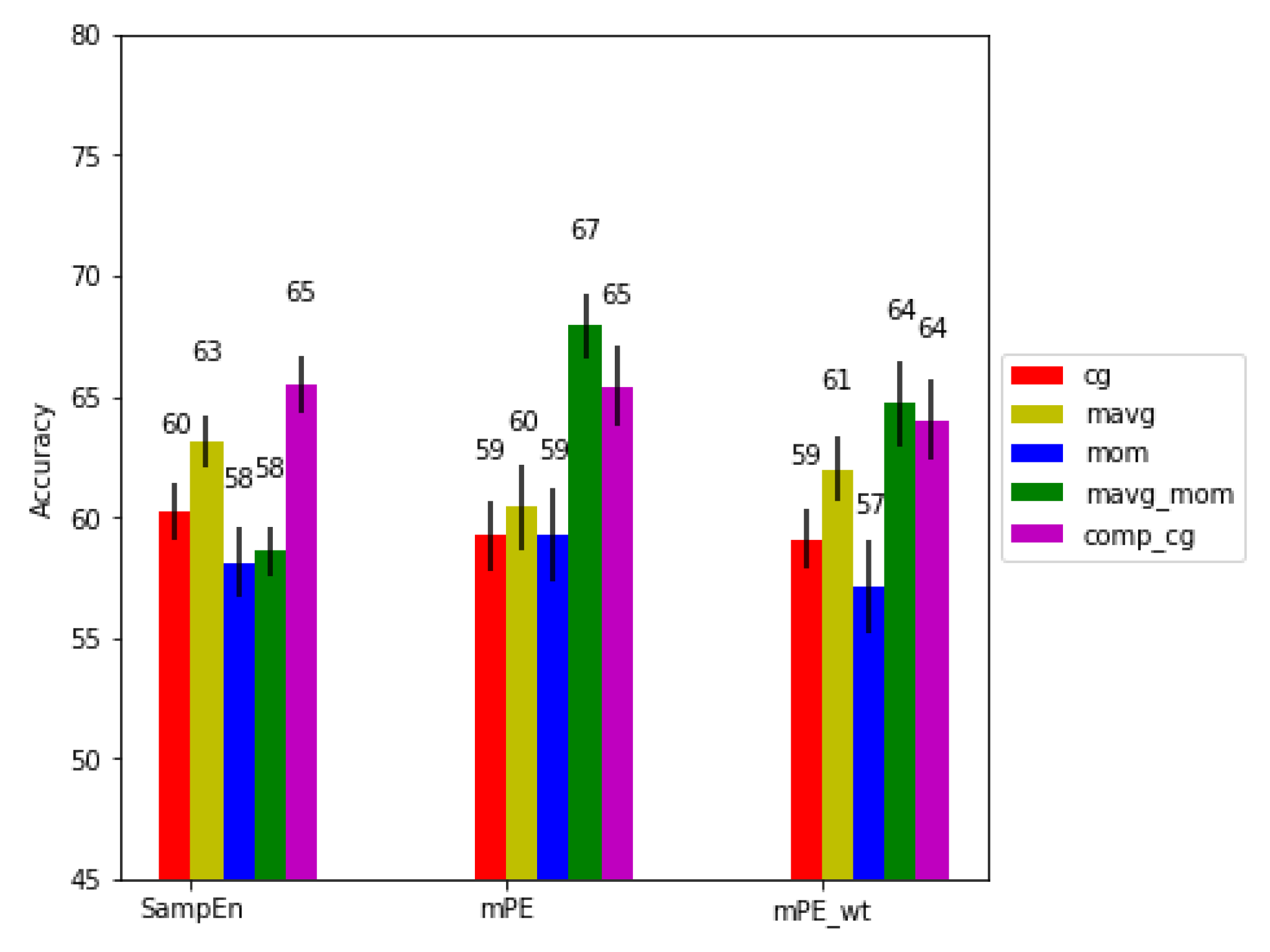
Figure 8.
Performance comparison for the high physical activity condition.
Specifically, looking at the performance of the features across different physical activity level conditions, it can be seen for the no physical activity condition that with ( and ) achieved significantly higher performance than most of the other methods. Moreover, by including the amplitude information into the via the measure, a drop in performance is seen for the moving average scaled series, but the best performance for the volatility scaled series is achieved with our proposed moving average scaling of the second moment (). These results suggest that amplitude information of the volatility series is important for mental workload assessment.
For the medium physical activity level condition, we observe similar performance trends to the no physical activity condition with ( scaling) achieving significantly higher performance than the other methods. Interestingly, incorporating the amplitude information in this condition leads to a decrease in performance for both and . This could be due to the changing cardiac dynamics during physical activity.
Finally, for the high physical activity level condition, we see an overall drop in performance compared to the other two physical activity levels. We observe that the performance is comparable to and for certain scaling methods (, and ). We also see a drop in performance for when using compared to scaling, though this is not observed for and , both of which show improvement on using the scaling. Overall, we achieve the best performance using the modified permutation entropy for proposed short time second moment calculation and , using the , i.e., excluding the amplitude information. Higher performance without incorporating amplitude information (not using ) in both medium and high physical activity level conditions could be due to higher noise in the RR series arising from misdetections in the QRS complex caused by movement artifacts. As is sensitive to such artifacts, ignoring the amplitude information is better in such cases. Overall, with and achieved the best results, with based scaling giving significantly higher results than all the other methods tested ().
Moreover, as [24] emphasizes the complementary nature of the volatility series, we further investigate the fusion of and base scaling methods using the algorithm, as these resulted in consistently better performance across all three physical activity conditions. Table 3 shows the results of fusion for the different physical activity levels. As can be seen, for the no and medium physical activity levels, fusion gave a significant improvement of in accuracy and in f1-score and accuracy and f1-score, respectively, over the best performing + algorithm. However, no improvement was seen for high physical activity level. Such findings corroborate those of [24].
Table 3.
Performance of fused and scaling with algorithm for different physical workload levels (* represents cases which perform significantly better than chance).
3.2. Gauging Performance Against the Benchmark
Here, we compare the performance of the best performing algorithms from Section 3.1 with the benchmark features. We further perform feature fusion of the two sets to further explore their complementary. Table 4, Table 5 and Table 6 shows the benchmark, inter-scale ordinal distance, and best performing multi-scale entropy methods and their fusion for no, medium and high physical activity levels, respectively. In the tables, ‘nof’ indicates number of features used in each case.
Table 4.
Benchmark performance comparison for the no physical activity condition (* represents cases which perform significantly better than chance).
Table 5.
Benchmark performance comparison for the medium physical activity condition (* represents cases which perform significantly better than chance).
Table 6.
Benchmark performance comparison for the high physical activity condition (* represents cases which perform significantly better than chance).
As can be seen, for the no physical activity condition, both multi-scale entropy and the inter-scale ordinal distance features perform significantly better than the benchmark with improvements of in accuracy and in f1-score and in accuracy and in f1-score, respectively. Additionally, fusion provides significant () improvements of accuracy and f1-score over the multi-scale features alone.
Similarly for medium physical activity levels, both multi-scale entropy and the inter-scale ordinal distance features performed significantly better than the benchmark with improvements of in accuracy and in f1-score and in accuracy and in f1-score, respectively. In this case, the inter-scale ordinal distance features performed significantly better () than the multi-scale entropy features. Fusion also improved performance significantly () and results in gains of accuracy and f1-score over the inter-scale ordinal distance features. Lastly, for the high physical activity level condition, both multi-scale entropy and the inter-scale ordinal distance features performed significantly better than the benchmark with improvements of in accuracy and in f1-score and in accuracy and in f1-score, respectively. Again, the inter-scale ordinal distance features performed significantly better () than the multi-scale entropy features. Additionally, fusion gave a significant () improvement of accuracy and f1-score over the inter-scale ordinal distance features. The improvement in performance achieved with fusion for all three activity levels further corroborates the results of [24].
3.3. Feature Ranking
Feature importance was computed based on the outcomes of feature selection across the five cross validation steps, repeated 50 times. The top 20 features were selected for every fold. As such, the frequency of occurrence of a given feature in the top feature set was calculated over the 250 iterations. Features appearing more than were further ranked according to their frequency of occurrence () for no, medium and high physical activity levels. These values are reported in Table 7, Table 8 and Table 9, respectively, along with the feature names.
Table 7.
Most frequently occurring features in the top-20 feature pool for the no physical activity condition.
Table 8.
Most frequently occurring features in the top-20 feature pool for the medium physical activity condition.
Table 9.
Most frequently occurring features in the top-20 feature pool for the high physical activity condition.
As can be seen, for the no physical activity condition, we observe that three of the eight top-ranked features are from the inter-scale ordinal distance feature set with interaction of different scales with being the case for two of the three features. Additionally, one multi-scale features show up in the most frequent set with composite scaling based entropy of , Additionally, we see four benchmark features in the top feature set, with three statistical features as well as the ratio of low to high frequency (lf/hf). A consistent decrease in the mean of RR has been reported in the literature with increased mental stress, a similar trend in the standard deviation of RR intervals could explain the overall importance of the coefficient of variation which is a ratio of the two [41]. Similarly, an increase in the ratio was reported for increased mental workload across various studies [41]. We also observed that one of the proposed feature was calculated over the series ( feature), reflecting the presence of long-term correlations and complexity in the magnitude difference of RR series as noted in [29]. The presence of the different feature sets along with the benchmark features further corroborates the complementary nature of the features.
Similarly, looking at medium physical activity level conditions, we observe that of the 12 most frequent features, five were from inter-scale ordinal distance features with interactions between and with other scales. Further, additionally six multi-scale features showed up in the most frequent set with composite scaling based entropy of the original time series () (same as for with as well), along with and as well as of second moment from and . Additionally, scales for the of second moment also shows up in the top features for both the RR and dRR series. We only have one benchmark feature (mean RR) in this case among the top features, thus suggesting their sensitivity to movement artifacts. One of features were calculated on the series.
Lastly, for the high physical activity level conditions, of the top 10 most occurring features, we observed that two features are from the inter-scale ordinal distance features, five features are from the multi-scale entropy with composite scaling based entropy of the scales , , and as well as of second moment from . Interestingly, no entropy feature from the original time series () was seen in the top features. We also observed three benchmark features in the top set, with both normalized low and high frequency along with mean of absolute first difference.
Mental workload has reported a drop in HRV features [45,46] attributed to sympathetic activation and/or para-sympathetic withdrawal [45,46,47,48]. Time and frequency domain HRV features were focused on characterizing the balance between these two systems. However, a lack of clear unbalance of the ANS due to mental workload has been reported in the literature [49]. This has shifted focus on the use of non-linear descriptors based on complex systems approach to better characterize the fractal RR time series [15]. These methods often characterize the complexity of the RR time series [50]. Recent studies indicate that this complexity is a result of both sympathetic and parasympathetic components of the ANS [51]. A recent study [49] has shown correlation dimension, which measures the fractal self-similarity of signal, decrease to comparable pathological values during mental workload inducing tasks, which indicates an suppression of the parasympathetic activity in the heart [52] and breakdown of long term correlations in the RR series [14] which can be quantified by complexity at higher scales [26].
A few studies have looked at the effects of exercise on HRV features. [53] reported an increase in overall complexity due to walking (4 km/hr) along with a significant increase in normalized low frequency power and a decrease in normalized high frequency power. A similar trend for low intensity exercise was reported in [54] with a contradictory increase in the high frequency component with increased exercise intensity on a bicycle. This increase has further been explained by the influence of breathing on heart rate (respiratory sinus arrhythmia (RSA)) which has a strong high frequency component during high intensity exercise [55]. Interestingly, when looking at the non-linear properties of the heart rate for high intensity exercise, entropy () decreases while complexity is still retained at different scales [56], something that can be exploited by multi-scale entropy measure.
The scaling process for the multi-scale entropy algorithm is equivalent to low pass filtered frequency bands with decreasing bandwidth with increasing scales [57]. This scaling can be achieved by different types of scaling operations. For our study we have focused on two methods, namely composite coarse graining and moving average scaling methods. Given the presence of two distinct frequency regions in the heart rate due to parasympathetic activity (corresponding to high frequency fluctuations in the RR series) and sympathetic activity (corresponding to lower frequency fluctuations) [13], the multiscale entropy algorithm represents the complexity of the overall series due to interaction of both sympathetic and parasympathetic systems at lower scales, while representing the complexity of lower frequency component (mostly due to sympathetic activity) at higher scales. Furthermore, the inter-scale ordinal distance feature tries to quantify the complex interaction between the different frequency regions.
In keeping with the above variations in ANS balance with mental workload and exercise we observe a scale show importance for no physical workload case which captures more lower frequency information compared to original scale. With medium physical activity further contributing to the increase lower frequency components in mental workload we observe entropy of higher scale of to (capturing low frequency information) show up in the top feature sets. Finally for high physical activity where high frequency components show important contribution due to the influence of RSA to the heart rate we see both low ( and ) and high (, and ) scales for entropy show significance in the top feature set. Additionally we see the normalized high and low frequency components among the top features which show significance during exercise [53]. We hypothesize that the RSA component which usually causes cardio-respiratory coherence is disrupted due to added mental workload [58] making these features important for distinguishing between the two states. The inter-scale ordinal distance feature also shows significance for all three physical activity levels hinting at non-linear interaction between the different frequency regions. The presence of features from the series show the importance of complementary non-linear information present in the series which should be further investigated. Finally, the importance of generalized entropy features calculated on the volatility series hints at the multifractal characteristics holding vital information regarding mental workload. The link between generalized entropy and multifractal heart rate characteristics has been hypothesized in [24].
4. Conclusions
Traditional time and frequency HRV methods don’t account for processes occurring at multiple time scales leading to complex behavior of heart rate at multiple scales. In this study, we explored the use of several multi-scale features for mental workload assessment for ambulatory users. We show that the multi-scale entropy features are robust to changing heart rate dynamics due to movement and activity and do better than the benchmark statistical and frequency domain features while also providing complementary information. This hints at the physiological processes at various time scales being effected by mental workload.
A number of different multi-scale entropy methods and scaling algorithms were tested and we found that, generally, composite coarse graining via a new second moment moving average scaling method, combined with the modified permutation entropy method outperformed other combinations, thus suggesting that multi-scale entropy methods specifically designed for short term time series are important for short term HRV analysis. Overall, the results reported herein suggest that increased workload can result in changes in ECG signal complexity of higher scales of the fractal RR series. These findings suggest that the long-term processes involved in heart rate regulation may be affected by mental workload changes. These findings allow for sufficiently accurate assessment of mental workload in safety-critical applications where users are ambulant, especially at moderate levels of physical activity. For future work, context aware models which can distinguish between different physical activity levels followed by mental workload classification could be developed.
Author Contributions
Conceptualization, A.T., J.-F.G., D.L., S.T. and T.H.F.; methodology, A.T., M.P., J.-F.G., D.L., S.T. and T.H.F.; Software, A.T.; data curation, A.T., I.A., M.P.; validation, A.T., I.A.; formal analysis, A.T., I.A., M.P., J.-F.G., D.L., S.T. and T.H.F.; investigation, A.T., M.P., J.-F.G., D.L., S.T. and T.H.F.; resources, J.-F.G., D.L., S.T. and T.H.F.; writing—original draft preparation, A.T.; writing—review and editing, M.P., I.A., J.-F.G., D.L., S.T. and T.H.F.; visualization, A.T.; supervision, T.H.F.; project administration, J.-F.G., D.L., S.T. and T.H.F.; funding acquisition, J.-F.G., D.L., S.T. and T.H.F.
Funding
This research was funded by NSERC, Thales Canada, PROMPT, and MITACS.
Acknowledgments
We would like to acknowledge the Perform Center, University of Concordia (Loyola Campus) for providing lab space and certain equipment for carrying out the data collection.
Conflicts of Interest
The authors declare no conflict of interest. The funders had no role in the design of the study; in the collection, analyses, or interpretation of data; in the writing of the manuscript, or in the decision to publish the results.
Abbreviations
The following abbreviations are used in this manuscript:
| RSA | Respiratory sinus arrhythmia |
| RR | inter-beat interval series |
| dRR | Absolute difference inter-beat interval series |
| ANS | Autonomic nervous system |
| NASA-TLX | NASA task load index |
| SWAT | Subjective workload assessment technique |
| ECG | Electrocardiogram |
| MSE | Multi-scale entropy |
| PE | Permutation entropy |
| mPE | Modified permutation entropy |
| HRV | Heart rate variability |
| MATB | Multi-attribute task battery |
References
- Boff, K.; Kaufman, L.; Thomas, J. Handbook of Perception and Human Performance; Wiley-Interscience: Hoboken, NJ, USA, 1986; Volume 2, pp. 42–45. [Google Scholar]
- Hancock, P.; Caird, J.K. Experimental evaluation of a model of mental workload. Hum. Factors 1993, 35, 413–429. [Google Scholar] [CrossRef] [PubMed]
- Sheridan, T.B.; Simpson, R. Toward the Definition and Measurement of the Mental Workload of Transport Pilots; Technical Report; Massachusetts Institute of Technology, Department of Aeronautics and Astronautics, Flight Transportation Laboratory: Cambridge, MA, USA, 1979. [Google Scholar]
- Reid, G.B.; Eggemeier, F.T.; Shingledecker, C.A. Subjective Workload Assessment Technique; Technical Report; Air Force Flight Test Center: Edwards AFB, CA, USA, 1982. [Google Scholar]
- Hart, S.G.; Staveland, L.E. Development of NASA-TLX (Task Load Index): Results of empirical and theoretical research. In Advances in Psychology; Elsevier: Amsterdam, The Netherlands, 1988; Volume 52, pp. 139–183. [Google Scholar]
- Cain, B. A Review of the Mental Workload Literature; Technical Report; Defence Research And Development: Toronto, ON, Canada, 2007.
- Cassenti, D.N.; Kelley, T.D.; Carlson, R.A. Modeling the workload-performance relationship. In Proceedings of the Human Factors and Ergonomics Society Annual Meeting, Austin, TX, USA, 4–7 October 2010; SAGE Publications: Sage/Los Angeles, CA, USA, 2010; Volume 54, pp. 1684–1688. [Google Scholar]
- Matthews, G.; Reinerman-Jones, L.E.; Barber, D.J.; Abich, J., IV. The psychometrics of mental workload: Multiple measures are sensitive but divergent. Hum. Factors 2015, 57, 125–143. [Google Scholar] [CrossRef] [PubMed]
- Albuquerque, I.; Tiwari, A.; Gagnon, J.F.; Lafond, D.; Parent, M.; Tremblay, S.; Falk, T. On the Analysis of EEG Features for Mental Workload Assessment During Physical Activity. In Proceedings of the 2018 IEEE International Conference on Systems, Man, and Cybernetics (SMC), Miyazaki, Japan, 7–10 October 2018; pp. 538–543. [Google Scholar]
- Togo, F.; Takahashi, M. Heart Rate Variability in Occupational Health-A Systematic Review. Ind. Health 2009, 47, 589–602. [Google Scholar] [CrossRef] [PubMed]
- Wen, W.H.; Liu, G.Y.; Mao, Z.H.; Huang, W.J.; Zhang, X.; Hu, H.; Yang, J.; Jia, W. Toward Constructing a Real-time Social Anxiety Evaluation System: Exploring Effective Heart Rate Features. IEEE Trans. Affect. Comput. 2018. [Google Scholar] [CrossRef]
- Patel, M.; Lal, S.K.; Kavanagh, D.; Rossiter, P. Applying neural network analysis on heart rate variability data to assess driver fatigue. Expert Syst. Appl. 2011, 38, 7235–7242. [Google Scholar] [CrossRef]
- Camm, A.J.; Malik, M.; Bigger, J.T.; Breithardt, G.; Cerutti, S.; Cohen, R.J.; Coumel, P.; Fallen, E.L.; Kennedy, H.L.; Kleiger, R.E.; et al. Heart rate variability: Standards of measurement, physiological interpretation and clinical use. Task Force of the European Society of Cardiology and the North American Society of Pacing and Electrophysiology. Circulation 1996, 93, 1043–1065. [Google Scholar]
- Goldberger, A.L.; Amaral, L.A.; Hausdorff, J.M.; Ivanov, P.C.; Peng, C.K.; Stanley, H.E. Fractal dynamics in physiology: Alterations with disease and aging. Proc. Natl. Acad. Sci. USA 2002, 99, 2466–2472. [Google Scholar] [CrossRef]
- Sassi, R.; Cerutti, S.; Lombardi, F.; Malik, M.; Huikuri, H.V.; Peng, C.K.; Schmidt, G.; Yamamoto, Y.; Reviewers:, D.; Gorenek, B.; et al. Advances in heart rate variability signal analysis: Joint position statement by the e-Cardiology ESC Working Group and the European Heart Rhythm Association co-endorsed by the Asia Pacific Heart Rhythm Society. Ep Eur. 2015, 17, 1341–1353. [Google Scholar] [CrossRef]
- Costa, M.; Goldberger, A.L.; Peng, C.K. Multiscale entropy analysis of complex physiologic time series. Phys. Rev. Lett. 2002, 89, 068102. [Google Scholar] [CrossRef]
- Humeau-Heurtier, A. The multiscale entropy algorithm and its variants: A review. Entropy 2015, 17, 3110–3123. [Google Scholar] [CrossRef]
- Wu, S.D.; Wu, P.H.; Wu, C.W.; Ding, J.J.; Wang, C.C. Bearing fault diagnosis based on multiscale permutation entropy and support vector machine. Entropy 2012, 14, 1343–1356. [Google Scholar] [CrossRef]
- Li, Q.; Zuntao, F. Permutation entropy and statistical complexity quantifier of nonstationarity effect in the vertical velocity records. Phys. Rev. E 2014, 89, 012905. [Google Scholar] [CrossRef] [PubMed]
- Bandt, C.; Pompe, B. Permutation entropy: A natural complexity measure for time series. Phys. Rev. Lett. 2002, 88, 174102. [Google Scholar] [CrossRef] [PubMed]
- Zanin, M.; Zunino, L.; Rosso, O.A.; Papo, D. Permutation entropy and its main biomedical and econophysics applications: A review. Entropy 2012, 14, 1553–1577. [Google Scholar] [CrossRef]
- Wu, S.D.; Wu, C.W.; Lee, K.Y.; Lin, S.G. Modified multiscale entropy for short-term time series analysis. Phys. A Stat. Mech. Its Appl. 2013, 392, 5865–5873. [Google Scholar] [CrossRef]
- Wu, S.D.; Wu, C.W.; Lin, S.G.; Wang, C.C.; Lee, K.Y. Time series analysis using composite multiscale entropy. Entropy 2013, 15, 1069–1084. [Google Scholar] [CrossRef]
- Costa, M.; Goldberger, A. Generalized multiscale entropy analysis: Application to quantifying the complex volatility of human heartbeat time series. Entropy 2015, 17, 1197–1203. [Google Scholar] [CrossRef] [PubMed]
- Kalisky, T.; Ashkenazy, Y.; Havlin, S. Volatility of linear and nonlinear time series. Phys. Rev. E 2005, 72, 011913. [Google Scholar] [CrossRef] [PubMed]
- Costa, M.D.; Peng, C.K.; Goldberger, A.L. Multiscale analysis of heart rate dynamics: Entropy and time irreversibility measures. Cardiovasc. Eng. 2008, 8, 88–93. [Google Scholar] [CrossRef]
- Costa, M.; Healey, J. Multiscale entropy analysis of complex heart rate dynamics: discrimination of age and heart failure effects. In Proceedings of the Computers in Cardiology, Thessaloniki Chalkidiki, Greece, 21–24 September 2003; pp. 705–708. [Google Scholar]
- Ho, Y.L.; Lin, C.; Lin, Y.H.; Lo, M.T. The prognostic value of non-linear analysis of heart rate variability in patients with congestive heart failure—A pilot study of multiscale entropy. PLoS ONE 2011, 6, e18699. [Google Scholar] [CrossRef]
- Ashkenazy, Y.; Ivanov, P.C.; Havlin, S.; Peng, C.K.; Goldberger, A.L.; Stanley, H.E. Magnitude and sign correlations in heartbeat fluctuations. Phys. Rev. Lett. 2001, 86, 1900. [Google Scholar] [CrossRef] [PubMed]
- Liu, C.; Gao, R. Multiscale entropy analysis of the differential RR interval time series signal and its application in detecting congestive heart failure. Entropy 2017, 19, 251. [Google Scholar]
- Bian, C.; Qin, C.; Ma, Q.D.; Shen, Q. Modified permutation-entropy analysis of heartbeat dynamics. Phys. Rev. E 2012, 85, 021906. [Google Scholar] [CrossRef] [PubMed]
- Fadlallah, B.; Chen, B.; Keil, A.; Príncipe, J. Weighted-permutation entropy: A complexity measure for time series incorporating amplitude information. Phys. Rev. E 2013, 87, 022911. [Google Scholar] [CrossRef] [PubMed]
- Xia, Y.; Yang, L.; Zunino, L.; Shi, H.; Zhuang, Y.; Liu, C. Application of Permutation Entropy and Permutation Min-Entropy in Multiple Emotional States Analysis of RRI Time Series. Entropy 2018, 20, 148. [Google Scholar] [CrossRef]
- Santiago-Espada, Y.; Myer, R.R.; Latorella, K.A.; Comstock, J.R., Jr. The Multi-Attribute Task Battery II (MATB-II) Software for Human Performance and Workload Research: A User’s Guide; NASA: Washington, DC, USA, 2011.
- Mahdiani, S.; Jeyhani, V.; Peltokangas, M.; Vehkaoja, A. Is 50 Hz high enough ECG sampling frequency for accurate HRV analysis? In Proceedings of the 2015 37th Annual International Conference of the IEEE Engineering in Medicine and Biology Society (EMBC), Milano, Italy, 25–29 August 2015; pp. 5948–5951. [Google Scholar]
- Merri, M.; Farden, D.C.; Mottley, J.G.; Titlebaum, E.L. Sampling frequency of the electrocardiogram for spectral analysis of the heart rate variability. IEEE Trans. Biomed. Eng. 1990, 37, 99–106. [Google Scholar] [CrossRef] [PubMed]
- El-Yaagoubi, M.; Goya-Esteban, R.; Jabrane, Y.; Muñoz-Romero, S.; García-Alberola, A.; Rojo-Álvarez, J.L. On the Robustness of Multiscale Indices for Long-Term Monitoring in Cardiac Signals. Entropy 2019, 21, 594. [Google Scholar] [CrossRef]
- Behar, J.; Johnson, A.; Clifford, G.D.; Oster, J. A comparison of single channel fetal ECG extraction methods. Ann. Biomed. Eng. 2014, 42, 1340–1353. [Google Scholar] [CrossRef]
- Pan, J.; Tompkins, W.J. A real-time QRS detection algorithm. IEEE Trans. Biomed. Eng. 1985, 32, 230–236. [Google Scholar] [CrossRef]
- Behar, J.A.; Rosenberg, A.A.; Weiser-Bitoun, I.; Shemla, O.; Alexandrovich, A.; Konyukhov, E.; Yaniv, Y. PhysioZoo: A novel open access platform for heart rate variability analysis of mammalian electrocardiographic data. Front. Physiol. 2018, 9, 1390. [Google Scholar] [CrossRef]
- Castaldo, R.; Melillo, P.; Bracale, U.; Caserta, M.; Triassi, M.; Pecchia, L. Acute mental stress assessment via short term HRV analysis in healthy adults: A systematic review with meta-analysis. Biomed. Signal Process. Control 2015, 18, 370–377. [Google Scholar] [CrossRef]
- Ouyang, G.; Dang, C.; Richards, D.A.; Li, X. Ordinal pattern based similarity analysis for EEG recordings. Clin. Neurophysiol. 2010, 121, 694–703. [Google Scholar] [CrossRef] [PubMed]
- Geurts, P.; Ernst, D.; Wehenkel, L. Extremely randomized trees. Mach. Learn. 2006, 63, 3–42. [Google Scholar] [CrossRef]
- Pedregosa, F.; Varoquaux, G.; Gramfort, A.; Michel, V.; Thirion, B.; Grisel, O.; Blondel, M.; Prettenhofer, P.; Weiss, R.; Dubourg, V.; et al. Scikit-learn: Machine learning in Python. J. Mach. Learn. Res. 2011, 12, 2825–2830. [Google Scholar]
- Wang, Z.; Yang, L.; Ding, J. Application of heart rate variability in evaluation of mental workload. Zhonghua Lao Dong Wei Sheng Zhi Ye Bing Za Zhi = Zhonghua Laodong Weisheng Zhiyebing Zazhi = Chin. J. Ind. Hyg. Occup. Dis. 2005, 23, 182–184. [Google Scholar]
- Hjortskov, N.; Rissén, D.; Blangsted, A.K.; Fallentin, N.; Lundberg, U.; Søgaard, K. The effect of mental stress on heart rate variability and blood pressure during computer work. Eur. J. Appl. Physiol. 2004, 92, 84–89. [Google Scholar] [CrossRef]
- Taelman, J.; Vandeput, S.; Vlemincx, E.; Spaepen, A.; Van Huffel, S. Instantaneous changes in heart rate regulation due to mental load in simulated office work. Eur. J. Appl. Physiol. 2011, 111, 1497–1505. [Google Scholar] [CrossRef]
- Collins, S.M.; Karasek, R.A.; Costas, K. Job strain and autonomic indices of cardiovascular disease risk. Am. J. Ind. Med. 2005, 48, 182–193. [Google Scholar] [CrossRef]
- Chaumet, G.; Delaforge, A.; Delliaux, S. Mental workload alters heart rate variability lowering non-linear dynamics. Front. Physiol. 2019, 10, 565. [Google Scholar]
- Melillo, P.; Bracale, M.; Pecchia, L. Nonlinear Heart Rate Variability features for real-life stress detection. Case study: Students under stress due to university examination. Biomed. Eng. Online 2011, 10, 96. [Google Scholar] [CrossRef]
- Weippert, M.; Behrens, M.; Rieger, A.; Behrens, K. Sample entropy and traditional measures of heart rate dynamics reveal different modes of cardiovascular control during low intensity exercise. Entropy 2014, 16, 5698–5711. [Google Scholar] [CrossRef]
- Osaka, M.; Saitoh, H.; Atarashi, H.; Hayakawa, H. Correlation dimension of heart rate variability: A new index of human autonomic function. Front. Med. Biol. Eng. Int. J. Jpn. Soc. Med. Electron. Biol. Eng. 1993, 5, 289–300. [Google Scholar]
- Tulppo, M.P.; Hughson, R.L.; Mä, T.H.; Airaksinen, K.J.; Seppä nen, T.; Huikuri, H.V. Effects of exercise and passive head-up tilt on fractal and complexity properties of heart rate dynamics. Am. J. Physiol. Heart Circ. Physiol. 2001, 280, H1081–H1087. [Google Scholar] [CrossRef] [PubMed]
- Cottin, F.; Médigue, C.; Leprêtre, P.M.; Papelier, Y.; Koralsztein, J.P.; Billat, V. Heart rate variability during exercise performed below and above ventilatory threshold. Med. Sci. Sport. Exerc. 2004, 36, 594–600. [Google Scholar] [CrossRef]
- Blain, G.; Meste, O.; Bermon, S. Influences of breathing patterns on respiratory sinus arrhythmia in humans during exercise. Am. J. Physiol. Heart Circ. Physiol. 2005, 288, H887–H895. [Google Scholar] [CrossRef]
- Goya-Esteban, R.; Barquero-Pérez, O.; Sarabia-Cachadina, E.; de la Cruz-Torres, B.; Naranjo-Orellana, J.; Rojo-Alvarez, J.L. Heart rate variability non linear dynamics in intense exercise. In Proceedings of the 2012 Computing in Cardiology, Krakow, Poland, 9–12 September 2012; pp. 177–180. [Google Scholar]
- Valencia, J.F.; Porta, A.; Vallverdu, M.; Claria, F.; Baranowski, R.; Orlowska-Baranowska, E.; Caminal, P. Refined multiscale entropy: Application to 24-h holter recordings of heart period variability in healthy and aortic stenosis subjects. IEEE Trans. Biomed. Eng. 2009, 56, 2202–2213. [Google Scholar] [CrossRef]
- Jerath, R.; Crawford, M.W. How does the body affect the mind? Role of cardiorespiratory coherence in spectrum of emotions. Adv. Mind Body Med. 2015, 29, 4–16. [Google Scholar]
© 2019 by the authors. Licensee MDPI, Basel, Switzerland. This article is an open access article distributed under the terms and conditions of the Creative Commons Attribution (CC BY) license (http://creativecommons.org/licenses/by/4.0/).







