MHD Casson Fluid Flow over a Stretching Sheet with Entropy Generation Analysis and Hall Influence
Abstract
1. Introduction
2. Mathematical Formulation
3. Entropy Generation Analysis
4. Results and Discussions
4.1. Velocity and Temperature Profiles
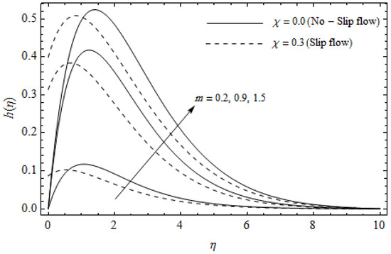
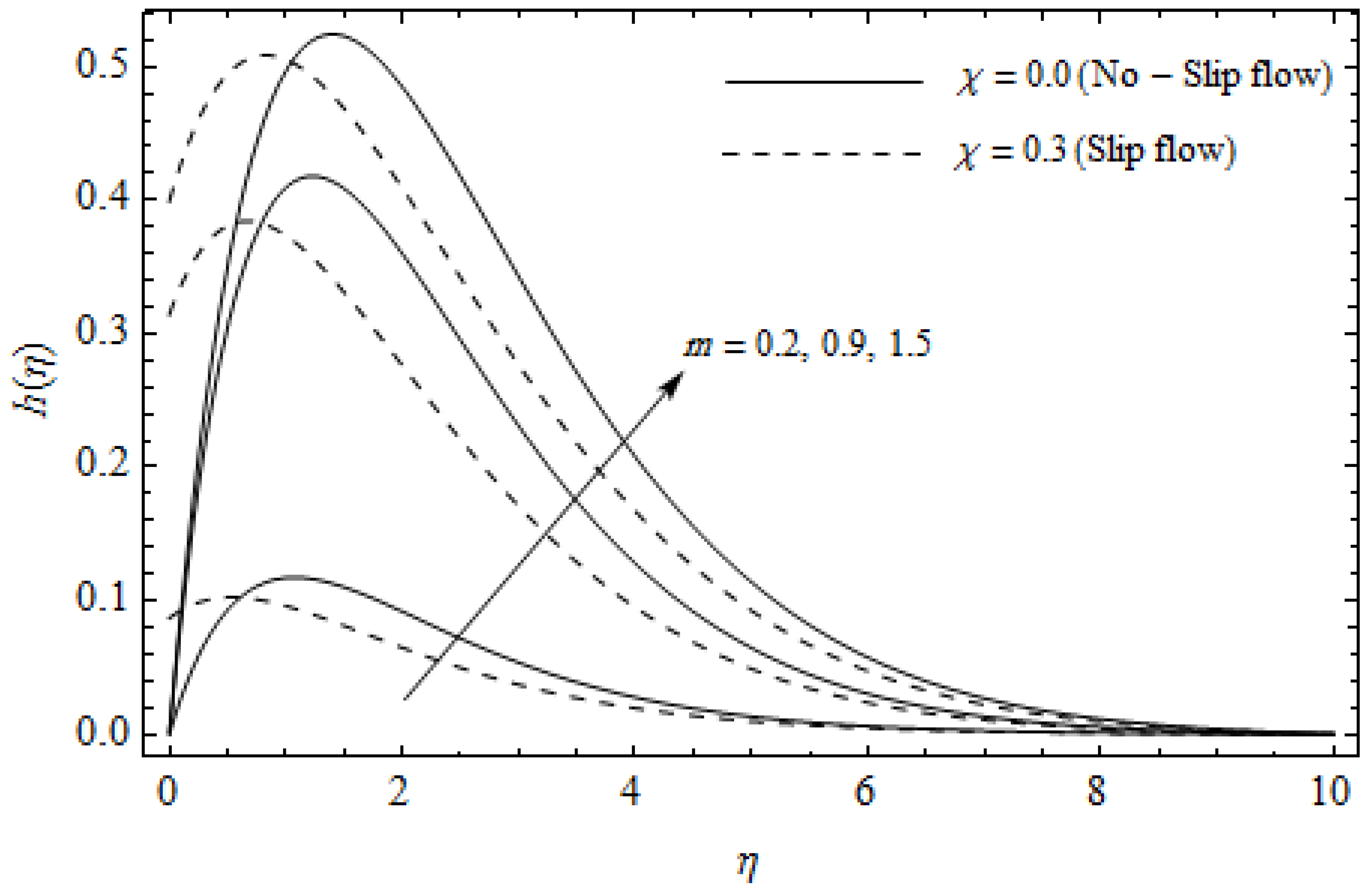
4.2. Entropy Generation ()
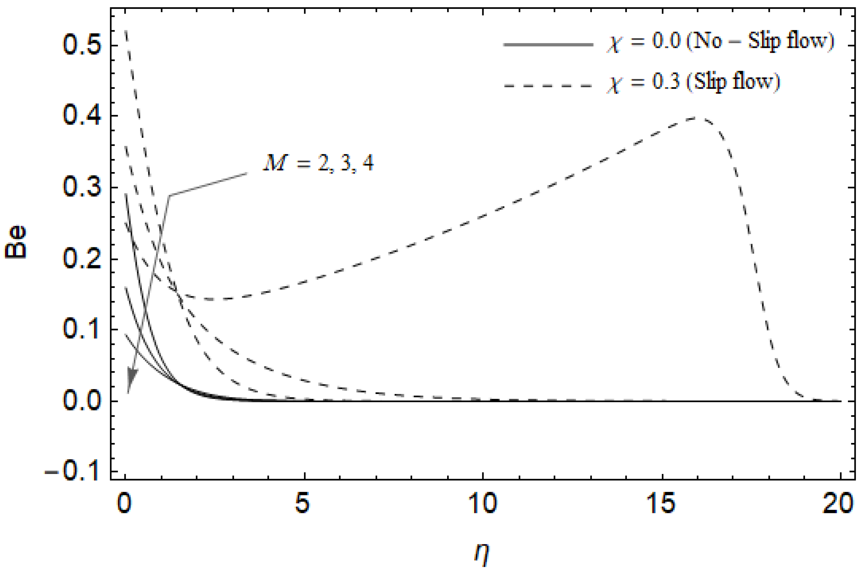
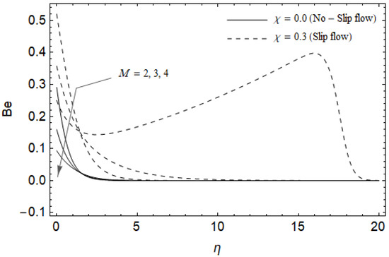
4.3. Bejan Number (Be)
4.4. Tables Discussion
5. Conclusions
- 1-
- The primary velocity reduces with the rising of , whereas the opposite behavior is observed for the temperature field .
- 2-
- The secondary velocity elevates with the rising of near the stretching sheet whereas the reverse behavior occurs far away from the surface.
- 3-
- Both the velocity components and enhance with an increase in m whereas the opposite scenario is observed for the temperature field .
- 4-
- Enhancing the values of leads to boosting the temperature field .
- 5-
- Both the velocity components and depreciate with an increase in whereas the reverse behavior is noticed for the temperature field .
- 6-
- Entropy generation augments for rising values of , , and whereas an opposite trend is remarkable for .
- 7-
- Entropy generation depreciates with increasing values of , , , and .
- 8-
- Bejan number Be reduces with rising but increases after a certain distance η from the stretching sheet.
- 9-
- Bejan number Be enhances with rising but depresses after a certain distance η from the stretching sheet.
- 10-
- Bejan number Be is a decreasing function of .
- 11-
- Bejan number Be diminishes with a rise in near the stretching surface whereas the reverse behavior occurs after a certain distance η from the stretching sheet.
- 12-
- The impact of , , and on the values , and are more pronounced for Casson fluid when compared to the Newtonian fluid.
- 13-
- The magnitude values and augment, whereas the values of decrease with an increase in .
- 14-
- The values of and enhance whereas the magnitude values of depreciate with increasing .
- 15-
- The values of enhance for large values of .
- 16-
- Both the magnitude values of and as well as diminish with rising .
Author Contributions
Funding
Acknowledgments
Conflicts of Interest
Nomenclature
| B0 | constant magnetic field (kg/s2 A) |
| b, c | positive constant |
| specific heat (J/kg K) | |
| , | skin friction coefficients |
| Eckert number | |
| primary velocity | |
| secondary velocity | |
| thermal conductivity of the fluid (W m−1 K−1) | |
| magnetic parameter | |
| Hall parameter | |
| local Nusselt number | |
| yield stress of the fluid | |
| Prandtl number | |
| Reynolds number | |
| T | fluid temperature (K) |
| the temperature at the stretching surface (K) | |
| the temperature at the stretching surface (K) | |
| velocity components along x-, y-, z-axes (m s−1) | |
| Cartesian coordinate (m) |
Greek Symbols
| thermal diffusivity of the base fluid (m2 s−1) | |
| Casson parameter | |
| slip parameter | |
| group parameter | |
| similarity independent variable | |
| dimensionless temperature | |
| dynamic viscosity (kg m−1 s−1) | |
| plastic dynamic viscosity of the non-Newtonian fluid | |
| fluid density (kg m−3) | |
| kinematic viscosity (m2 s−1) | |
| the electrical conductivity of the fluid (s/m) |
Subscripts
| w | quantities at the wall |
| quantities far away from the surface |
References
- Sato, H. The Hall Effect in the Viscous Flow of Ionized Gas Between two Parallel Plates under Transverse Magnetic Field. J. Phys. Soc. Jpn. 1961, 16, 1427–1433. [Google Scholar] [CrossRef]
- Sherman, A.; Sutton, G.W. Magnetohydrodynamics; Northwestern University Press: Evanston, IL, USA, 1962. [Google Scholar]
- Katagiri, M. The Effect of Hall Currents on the Magnetohydrodynamic Boundary Layer Flow past a Semi-Infinite Flate Plate. J. Phys. Soc. Jpn. 1969, 27, 1051–1059. [Google Scholar] [CrossRef]
- Pop, I.; Soundalgekar, V.M. Effects of Hall Current on Hydromagnetic Flow Near a Porous Plate. Acta Mech. 1974, 20, 315–318. [Google Scholar] [CrossRef]
- Gupta, A.S. Hydromagnetic Flow past a Porous Flat Plate with Hall Effects. Acta Mech. 1975, 22, 281–287. [Google Scholar] [CrossRef]
- Jana, R.N.; Gupta, A.S.; Datta, N. Hall Effects on the Hydromagnetic Flow Past an Infinite Porous Flat Plate. J. Phys. Soc. Jpn. 1977, 43, 1767–1772. [Google Scholar] [CrossRef]
- Pop, I.; Watanabe, T. Hall Effect on Magnetohydrodynamic Free Convection about a Semi-Infinite Vertical Plate. Int. J. Eng. Sci. 1994, 32, 1903–1911. [Google Scholar] [CrossRef]
- El-Aziz, A.M. Flow and Heat Transfer over an unsteady Stretching Surface with Hall Effect. Meccanica 2010, 45, 97–109. [Google Scholar] [CrossRef]
- Seth, G.S.; Singh, J.K. Mixed Convection Hydromagnetic Flow in a Rotating Channel with Hall and Wall Conductance Effects. Appl. Math. Model. 2016, 40, 2783–2803. [Google Scholar] [CrossRef]
- Abdel-Wahed, M.S. Magnetohydrodynamic Ferro-Nano Fluid Flow in a Semi-Porous Curved Tube under the Effect of Hall Current and Nonlinear Thermal Radiative. J. Magn. Magn. Mater. 2019, 474, 347–354. [Google Scholar] [CrossRef]
- Casson, N. A flow equation for pigment oil suspensions of the printing ink type. In Reheology of Dispersed System; Mill, C.C., Ed.; Pergamon Press: Oxford, UK, 1959. [Google Scholar]
- Hayat, T.; Shehzad, S.A.; Alsaedi, A. Soret and Dufour Effects on Magnetohydrodynamic (MHD) Flow of Casson Fluid. Appl. Math. Mech.-Engl. Ed. 2012, 33, 1301–1312. [Google Scholar] [CrossRef]
- Eldabe, N.T.M.; Salwa, M.G.E. Heat transfer of MHD Non-Newtonian Casson Fluid Flow between two Rotating Cylinders. J. Phys. Soc. Jpn. 1995, 64, 41–64. [Google Scholar]
- Malik, M.Y.; Naseer, M.; Nadeem, S.; Rehman, A. The Boundary Layer Flow of Casson Nanofluid over a Vertical Exponentially Stretching Cylinder. Appl. Nanosci. 2014, 4, 869–873. [Google Scholar] [CrossRef]
- El-Aziz, M.A.; Afify, A.A. Effects of Variable Thermal Conductivity with Thermal Radiation on MHD Flow and Heat Transfer of Casson Liquid Film over an Unsteady Stretching Surface. Braz. J. Phys. 2016, 46, 516–525. [Google Scholar] [CrossRef]
- Shateyi, S.; Mabood, F.; Lorenzini, G. Casson Fluid Flow: Free Convective Heat and Mass Transfer over an Unsteady Permeable Stretching Surface Considering Viscous Dissipation. J. Eng. Thermophys.-RUS 2017, 26, 39–52. [Google Scholar] [CrossRef]
- Shehzad, S.A.; Hayat, T.; Alsaedi, A. MHD flow of a Casson Fluid with Power Law Heat Flux and Heat Source. Comp. Appl. Math. 2018, 37, 2932–2942. [Google Scholar] [CrossRef]
- Ramana Reddy, J.V.; Sugunamma, V.; Sandeep, N. Enhanced Heat Transfer in theF flow of Dissipative Non-Newtonian Casson Fluid Flow over a Convectively Heated upper Surface of a Paraboloid of Revolution. J. Mol. Liq. 2017, 229, 380–388. [Google Scholar] [CrossRef]
- Bejan, A. A study of Entropy Generation in Fundamental Convective Heat Transfer. J. Heat Trans-T ASME 1979, 101, 718–725. [Google Scholar] [CrossRef]
- Bejan, A. Second Law Analysis in Heat Transfer and Thermal Design. Adv. Heat Transfer 1982, 15, 1–58. [Google Scholar]
- Bejan, A. Entropy Generation Minimization; CRC Press: Boca Raton, FL, USA, 1996. [Google Scholar]
- Weigand, B.; Birkefeld, A. Similarity Solutions of the Entropy Transport Equation. Int. J. Therm. Sci. 2009, 48, 1863–1869. [Google Scholar] [CrossRef]
- Makinde, O.D. Thermodynamic second law analysis for a gravity-driven variable viscosity liquid film along an inclined heated plate with convective cooling. J. Mech. Sci. Technol. 2010, 24, 899–908. [Google Scholar] [CrossRef]
- Makinde, O.D. Second Law Analysis for Variable Viscosity Hydromagnetic Boundary Layer Flow with Thermal Radiation and Newtonian Heating. Entropy 2011, 13, 1446–1464. [Google Scholar] [CrossRef]
- Tshehla, M.S.; Makinde, O.D. Analysis of Entropy Generation in a Variable Viscosity Fluid Flow Between two Concentric Pipes with Convective Cooling at the Surface. Int. J. Phys. Sci. 2011, 6, 6053–6060. [Google Scholar]
- Chen, C.-K.; Lai, H.-Y.; Liu, C.-C. Numerical Analysis of Entropy Generation in Mixed Convection Flow with Viscous Dissipation Effects in Vertical Channel. Int. Commun. Heat Mass 2011, 38, 285–290. [Google Scholar] [CrossRef]
- Liu, C.-C.; Lo, C.-Y. Numerical Analysis of Entropy Generation in Mixed-Convection MHD Flow in Vertical Channel. Int. Commun. Heat Mass 2012, 39, 1354–1359. [Google Scholar] [CrossRef]
- Mahian, O.; Oztop, H.; Pop, I.; Mahmud, S.; Wongwises, S. Entropy Generation between two Vertical Cylinders in the Presence of MHD Flow Subjected to Constant Wall Temperature. Int. Commun. Heat Mass 2013, 44, 87–92. [Google Scholar] [CrossRef]
- Rashidi, M.M.; Mohammadi, F.; Abbasbandy, S.; Alhuthali, M.S. Entropy Generation Analysis for Stagnation Point Flow in a Porous Medium over a Permeable Stretching Surface. J. Appl. Fluid Mech. 2015, 8, 753–765. [Google Scholar] [CrossRef]
- Rashidi, M.M.; Abelman, S.; Freidoonimehr, N. Entropy Generation in Steady MHD Flow due to a Rotating Porous Disk in a Nanofluid. Int. J. Heat Mass Transf. 2013, 62, 515–525. [Google Scholar] [CrossRef]
- Qing, J.; Bhatti, M.M.; Abbas, M.A.; Rashidi, M.M.; Ali, M.E. Entropy Generation on MHD Casson Nanofluid Flow over a Porous Stretching/Shrinking Surface. Entropy 2016, 18, 123. [Google Scholar] [CrossRef]
- Reddy, G.J.; Kethireddy, B.; Kumar, M.; Hoque, M.M. A molecular Dynamics Study on Transient Non-Newtonian MHD Casson Fluid Flow Dispersion over a Radiative Vertical Cylinder with Entropy Heat Generation. J. Mol. Liq. 2018, 252, 245–262. [Google Scholar] [CrossRef]
- Afridi, M.I.; Qasim, M.; Khan, I. Entropy Generation Minimization in MHD Boundary Layer Flow over a Slendering Stretching Sheet in the Presence of Frictional and Joule Heating. J. Korean Phys. Soc. 2018, 73, 1303–1309. [Google Scholar] [CrossRef]





















| M | m | Ec | ||||
|---|---|---|---|---|---|---|
| 3.0 | 0.5 | 0.2 | 0.1 | −2.74748 | 0.380355 | 1.45858 |
| 4.0 | 0.5 | 0.2 | 0.1 | −2.98256 | 0.420435 | 1.36772 |
| 5.0 | 0.5 | 0.2 | 0.1 | −3.18327 | 0.449734 | 1.28796 |
| 3.0 | 0.2 | 0.2 | 0.1 | −2.84235 | 0.167365 | 1.43078 |
| 3.0 | 0.9 | 0.2 | 0.1 | −2.56821 | 0.558594 | 1.51369 |
| 3.0 | 1.5 | 0.2 | 0.1 | −2.31976 | 0.654144 | 1.59518 |
| 3.0 | 0.5 | 0.0 | 0.1 | −2.74748 | 0.380355 | 1.69467 |
| 3.0 | 0.5 | 0.6 | 0.1 | −2.74748 | 0.380355 | 0.98639 |
| 3.0 | 0.5 | 1.2 | 0.1 | −2.74748 | 0.380355 | 0.27812 |
| 3.0 | 0.5 | 0.2 | 0.0 | −3.90412 | 0.700737 | 1.58973 |
| 3.0 | 0.5 | 0.2 | 0.4 | −1.48494 | 0.125011 | 1.13318 |
| 3.0 | 0.5 | 0.2 | 0.7 | −1.02344 | 0.062368 | 0.93521 |
| M | m | Ec | ||||
|---|---|---|---|---|---|---|
| 3.0 | 0.5 | 0.2 | 0.1 | −1.55680 | 0.244065 | 1.35999 |
| 4.0 | 0.5 | 0.2 | 0.1 | −1.70926 | 0.278256 | 1.25131 |
| 5.0 | 0.5 | 0.2 | 0.1 | −1.84307 | 0.305619 | 1.15369 |
| 3.0 | 0.2 | 0.2 | 0.1 | −1.62314 | 0.108807 | 1.32919 |
| 3.0 | 0.9 | 0.2 | 0.1 | −1.43584 | 0.349753 | 1.42218 |
| 3.0 | 1.5 | 0.2 | 0.1 | −1.27717 | 0.395964 | 1.51636 |
| 2.0 | 0.5 | 0.0 | 0.1 | −1.55680 | 0.244065 | 1.56711 |
| 2.0 | 0.5 | 0.6 | 0.1 | −1.55680 | 0.244065 | 0.94577 |
| 2.0 | 0.5 | 1.2 | 0.1 | −1.55680 | 0.244065 | 0.32444 |
| 2.0 | 0.5 | 0.2 | 0.0 | −1.87548 | 0.336623 | 1.45527 |
| 2.0 | 0.5 | 0.2 | 0.4 | −1.04359 | 0.120217 | 1.12444 |
| 2.0 | 0.5 | 0.2 | 0.7 | −0.78951 | 0.072391 | 0.95809 |
© 2019 by the authors. Licensee MDPI, Basel, Switzerland. This article is an open access article distributed under the terms and conditions of the Creative Commons Attribution (CC BY) license (http://creativecommons.org/licenses/by/4.0/).
Share and Cite
Abd El-Aziz, M.; Afify, A.A. MHD Casson Fluid Flow over a Stretching Sheet with Entropy Generation Analysis and Hall Influence. Entropy 2019, 21, 592. https://doi.org/10.3390/e21060592
Abd El-Aziz M, Afify AA. MHD Casson Fluid Flow over a Stretching Sheet with Entropy Generation Analysis and Hall Influence. Entropy. 2019; 21(6):592. https://doi.org/10.3390/e21060592
Chicago/Turabian StyleAbd El-Aziz, Mohamed, and Ahmed A. Afify. 2019. "MHD Casson Fluid Flow over a Stretching Sheet with Entropy Generation Analysis and Hall Influence" Entropy 21, no. 6: 592. https://doi.org/10.3390/e21060592
APA StyleAbd El-Aziz, M., & Afify, A. A. (2019). MHD Casson Fluid Flow over a Stretching Sheet with Entropy Generation Analysis and Hall Influence. Entropy, 21(6), 592. https://doi.org/10.3390/e21060592

