Low-Element Image Restoration Based on an Out-of-Order Elimination Algorithm
Abstract
1. Introduction
2. Basic Theoretical Method
2.1. Underdeterminate Blind Signal Separation
2.2. Chaotic System
2.3. Empirical Mode Decomposition
- The number of signal zero crossings is equal to or at most equal to the number of extreme points of the IMF;
- The mean value of the upper envelope constructed by the local minimum value and the local maximum value is zero.
3. Building the Algorithm Model
3.1. Construct Multi-Component Complementary Method
3.2. Out-of-Order Elimination Algorithm
4. Overall Flowchart and Performance Analysis Indicators
4.1. Overall Flow Chart
4.2. Performance Analysis Index
5. Simulation Results and Performance Evaluation
5.1. Chaotic Hiding Observation Signals
5.2. Security Analysis of the Observed Signals at the Receiving End
5.2.1. Entropy
5.2.2. Statistical Analysis
5.2.3. Differential Attack Analysis
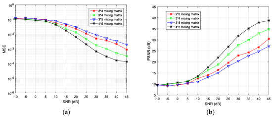
5.3. Blind Extraction of Underdetermined Blind-Source Separation
6. Conclusions
Author Contributions
Funding
Acknowledgments
Conflicts of Interest
References
- Smith, S.; Pischella, M.; Terre, M. A Moment-Based Estimation Strategy for Underdetermined Single-Sensor Blind-source separation. IEEE Signal Process. Lett. 2019, 26, 788–792. [Google Scholar]
- Hentschel, T. The six-port as a communications receiver. IEEE Trans. Microw. Theory Tech. 2005, 53, 1039–1047. [Google Scholar] [CrossRef]
- Castillo-Vazquez, M.; Puerta-Notario, A. Single-channel imaging receiver for optical wireless communications. IEEE Commun. Lett. 2005, 9, 897–899. [Google Scholar] [CrossRef]
- Guo, Y.; Naik, G.R.; Nguyen, H. Single channel blind-source separation based local mean decomposition for Biomedical applications. Conf. Proc. IEEE Eng. Med. Biol. Soc. 2017, 2013, 6812–6815. [Google Scholar]
- Guo, W.; Huang, L.; Chen, C.; Zou, H.; Liu, Z. Elimination of end effects in local mean decomposition using spectral coherence and applications for rotating machinery. Digit. Signal Process. 2016, 55, 52–63. [Google Scholar] [CrossRef]
- Mostajabi, A.; Karami, H.; Azadifar, M.; Ghasemi, A.; Rubinstein, M.; Rachidi, F. Single-Sensor Source Localization Using Electromagnetic Time Reversal and Deep Transfer Learning: Application to Lightning. SCIENTIFIC REPORTS. 2019, 9, 1–14. [Google Scholar]
- Zhu, H.J.; Wang, X.Q.; Rui, T. Shift invariant sparse coding for blind-source separation of single channel mechanical signal. J. Vib. Eng. 2015, 28, 625–632. [Google Scholar]
- Chen, C.Z.; Meng, Q.; Zhou, H.; Zhang, Y. Rolling Bearing Fault Diagnosis Based on Blind-source separation. Appl. Mech. Mater. 2012, 217, 2546–2549. [Google Scholar] [CrossRef]
- Deng, W.; Liu, Z.; Deng, Z.; Jia, X.; Wang, Z. Extraction of interference phase in frequency-scanning interferometry based on empirical mode decomposition and Hilbert transform. Appl. Opt. 2018, 57, 2299–2305. [Google Scholar] [CrossRef]
- Ma, S.; Wang, G.; Fan, R.; Tellambura, C. Blind Channel Estimation for Ambient Backscatter Communication Systems. IEEE Commun. Lett. 2018, 22, 1296–1299. [Google Scholar] [CrossRef]
- Cheng, X.; Ji, L. Single-channel mixed signal blind-source separation algorithm based on multiple ICA processing. Proc. SPIE 2017, 322, 1032203. [Google Scholar]
- Akkalkotkar, A.; Brown, K.S. An algorithm for separation of mixed sparse and Gaussian sources. PLoS ONE 2017, 12, e0175775. [Google Scholar]
- Puntonet, C.G.; Lang, E.W. Blind-source separation and independent component analysis. Neurocomputing 2005, 69, 1413–1824. [Google Scholar] [CrossRef]
- Zibulevsky, M.; Pearlmutter, B.A. Blind-source separation by sparse decomposition in a signal dictionary. Neural Comput. 2014, 13, 863–882. [Google Scholar] [CrossRef] [PubMed]
- Fu, W.; Chen, J.; Yang, B. Source recovery of underdetermined blind-source separation based on SCMP algorithm. IET Signal Process. 2017, 11, 877–883. [Google Scholar] [CrossRef]
- Filippi, M.; Desvignes, M.; Moisan, E. Robust Unmixing of Dynamic Sequences Using Regions of Interest. IEEE Trans. Med. Imaging 2017, 37, 306–315. [Google Scholar] [CrossRef]
- Behr, M.; Holmes, C.; Munk, A. Multiscale Blind-source separation. Ann. Stat. 2018, 46, 711–744. [Google Scholar] [CrossRef]
- Su, Q.; Shen, Y.; Wei, Y.; Deng, C. Underdetermined Blind-source separation by a Novel Time–frequency Method. AEU Int. J. Electron. Commun. 2017, 77, 43–49. [Google Scholar] [CrossRef]
- Liu, B.; Reju, V.G.; Khong, A.W.H. A Linear Source Recovery Method for Underdetermined Mixtures of Uncorrelated AR-Model Signals Without Sparseness. IEEE Trans. Signal Process. 2014, 62, 4947–4958. [Google Scholar] [CrossRef]
- Zhang, J.; Zhang, Y. Underdetermined Blind Sources Separation Based on Nonnegative Tri-Matrix Factorization. Adv. Mater. Res. 2014, 971, 1843–1846. [Google Scholar] [CrossRef]
- Koldovský, Z.; Tichavský, P.; Phan, A.H.; Cichocki, A. A Two-Stage MMSE Beamformer for Underdetermined Signal Separation. IEEE Signal Process. Lett. 2013, 20, 1227–1230. [Google Scholar] [CrossRef]
- Amini, F.; Hedayati, Y. Underdetermined blind modal identification of structures by earthquake and ambient vibration measurements via sparse component analysis. J. Sound Vib. 2016, 366, 117–132. [Google Scholar] [CrossRef]
- Nigam, V.; Priemer, R. Generalized Blind Delayed Source Separation Model for Online Non-invasive Twin-fetal Sound Separation: A Phantom Study. J. Med. Syst. 2008, 32, 123. [Google Scholar] [CrossRef] [PubMed]
- Zhang, G. Time-phase amplitude spectra based on a modified short-time Fourier transform. Geophys. Prospect. 2018, 66, 34–46. [Google Scholar] [CrossRef]
- Li, Q.; Ji, X.; Liang, S.Y. Bi-dimensional Empirical Mode Decomposition and Nonconvex Penalty Minimization Lq (q =0.5) Regular Sparse Representation-based Classification for Image Recognition. Pattern Recognit. Image Anal. 2018, 28, 59–70. [Google Scholar] [CrossRef]
- Zan, P.; Liu, Y.; Chang, M. Research of rectal dynamic function diagnosis based on FastICA-STFT. IET Sci. Meas. Technol. 2018, 12, 965–969. [Google Scholar] [CrossRef]
- Jurado, F.; Saenz, J.R. Comparison between discrete STFT and wavelets for the analysis of power quality events. Electr. Power Syst. Res. 2002, 62, 183–190. [Google Scholar] [CrossRef]
- Benesty, J.; Cohen, I. Single-Channel Speech Enhancement in the STFT Domain. Speech Enhanc. 2018. [Google Scholar] [CrossRef]
- Zhou, Y.; Wang, Y.; Wang, X.H. Face recognition algorithm based on wavelet transform and local linear embedding. Clust. Comput. 2019, 22, 1529–1540. [Google Scholar] [CrossRef]
- Marques, J.P.M.J.; Junior, G.C.; Morais, A.P.D. New Methodology for Identification of Sympathetic Inrush for a Power Transformer using Wavelet Transform. IEEE Lat. Am. Trans. 2018, 16, 1158–1163. [Google Scholar] [CrossRef]
- Ng, S.C.; Raveendran, P. Enhanced mu rhythm extraction using blind-source separation and wavelet transform. IEEE Trans. Biol. Med. Eng. 2009, 56, 2024. [Google Scholar]
- Mowla, M.R.; Ng, S.C.; Zilany, M.S.; Paramesran, R. Artifacts-matched blind-source separation and wavelet transform for multichannel EEG denoising. Biomed. Signal Process. Control 2015, 22, 111–118. [Google Scholar] [CrossRef]
- Belaid, S.; Hattay, J.; Naanaa, W.; Aguili, T. A new multi-scale framework for convolutive blind-source separation. Signal Image Video Process. 2016, 10, 1203–1210. [Google Scholar]
- He, P.; Chen, X. A method for extracting fetal ECG based on EMD-NMF single channel blind-source separation algorithm. Technol. Health Care 2015, 24, S17. [Google Scholar] [CrossRef] [PubMed]
- Tang, B.; Dong, S.; Tao, S. Method for eliminating mode mixing of empirical mode decomposition based on the revised blind-source separation. Signal Process. 2012, 92, 248–258. [Google Scholar] [CrossRef]
- Zhang, H.; Hua, G.; Yu, L.; Cai, Y.; Bi, G. Underdetermined blind separation of overlapped speech mixtures in time–frequency domain with estimated number of sources. Speech Commun. 2017, 89, 1–16. [Google Scholar] [CrossRef]
- Hayami, H.; Takehara, H.; Nagata, K.; Haruta, M.; Noda, T.; Sasagawa, K.; Ohta, J. Wireless image-data transmission from an implanted image sensor through a living mouse brain by intra body communication. Jpn. J. Appl. Phys. 2016, 55, 04EM03. [Google Scholar] [CrossRef]
- Zhinong, L.I. Underdetermined Blind-source separation Method of Machine Faults Based on Local Mean Decomposition. J. Mech. Eng. 2011, 47, 97. [Google Scholar]
- Sha, Z.C.; Huang, Z.T.; Zhou, Y.Y.; Wang, F.H. Frequency-hopping signals sorting based on underdetermined blind-source separation. IET Commun. 2013, 7, 1456–1464. [Google Scholar]
- Langkam, S.; Deb, A.K. Dual estimation approach to blind-source separation. IET Signal Process. 2017, 11, 527–536. [Google Scholar]
- Chen, G.; Mao, Y.; Chui, C.K. A symmetric image encryption scheme based on 3D chaotic cat maps. Chaos Solitons Fractals 2004, 21, 749–761. [Google Scholar] [CrossRef]
- Danca, M.F.; Kuznetsovc, N.; Chen, G. Approximating hidden chaotic attractors via parameter switching. Chaos 2018, 28, 013127. [Google Scholar] [CrossRef] [PubMed]
- Xie, Y.; Yu, J.; Guo, S.; Ding, Q.; Wang, E. Image Encryption Scheme with Compressed Sensing Based on New Three-Dimensional Chaotic System. Entropy 2019, 21, 819. [Google Scholar] [CrossRef]
- Gao, T.; Chen, G.; Chen, Z.; Cang, S. The generation and circuit implementation of a new hyper-chaos based upon Lorenz system. Phys. Lett. A 2016, 361, 78–86. [Google Scholar]
- Shih, M.T.; Doctor, F.; Fan, S.Z.; Jen, K.K.; Shieh, J.S. Instantaneous 3D EEG Signal Analysis Based on Empirical Mode Decomposition and the Hilbert–Huang Transform Applied to Depth of Anaesthesia. Entropy 2015, 17, 928–949. [Google Scholar] [CrossRef]
- Alberti, T.; Consolini, G.; Carbone, V.; Yordanova, E.; Marcucci, M.F.; De Michelis, P. Multifractal and Chaotic Properties of Solar Wind at MHD and Kinetic Domains: An Empirical Mode Decomposition Approach. Entropy 2019, 21, 320. [Google Scholar] [CrossRef]
- Wang, J.; Wei, Q.; Zhao, L.; Yu, T.; Han, R. An improved empirical mode decomposition method using second generation wavelets interpolation. Digit. Signal Process. 2018, 79, 164–174. [Google Scholar] [CrossRef]
- Motin, M.A.; Karmakar, C.K.; Palaniswami, M. Selection of Empirical Mode Decomposition Techniques for Extracting Breathing Rate From PPG. IEEE Signal Process. Lett. 2019, 26, 592–596. [Google Scholar] [CrossRef]
- Wang, C.; Ding, Q. A Class of Quadratic Polynomial Chaotic Maps and Their Fixed Points Analysis. Entropy 2019, 21, 658. [Google Scholar] [CrossRef]
- Golestani, H.B.; Ghanbari, M. Minimisation of image watermarking side effects through subjective optimization. IET Image Process. 2013, 7, 733–741. [Google Scholar]
- Nouye, Y.; Hirano, K. Cumulant-Based blind identification of linear multi-Input-Multi-Output systems driven by colored inputs. IEEE Trans. Signal Process. 1997, 45, 1543–1552. [Google Scholar]
- Ye, G. Chaotic Image Encryption Algorithm Using Multi-Generalized Logistic Maps. J. Comput. Theor. Nanosci. 2013, 10, 2789–2795. [Google Scholar] [CrossRef]
- Zhen, L.; Peng, D.; Yi, Z.; Xiang, Y.; Chen, P. Underdetermined Blind-source separation Using Sparse Coding. IEEE Trans. Neural Netw. Learn. Syst. 2017, 28, 3102–3108. [Google Scholar] [CrossRef] [PubMed]













| Image | Observation Signal (a) | Observation Signal (b) | Observation Signal (c) | 
|---|---|---|---|
| Lorenz chaos | 7.8234 | 7.8853 | 7.8156 | 
| 3D chaos | 7.9926 | 7.9954 | 7.9927 | 
| UACI% (Ideal: 33.4635%) | NPCR% (Ideal: 99.6093%) | |||||
|---|---|---|---|---|---|---|
| Figure 7a | Figure 7b | Figure 7c | Figure 7a | Figure 7b | Figure 7c | |
| Lena | 33.3611 | 33.3864 | 33.3973 | 99.5955 | 99.5672 | 99.5769 | 
| Lake | 33.3194 | 33.3504 | 33.3644 | 99.5291 | 99.5122 | 99.5674 | 
| Peppers | 33.2977 | 33.3717 | 33.3935 | 99.5753 | 99.5342 | 99.6062 | 
| Cameraman | 33.3509 | 33.3509 | 33.4132 | 99.4998 | 99.5552 | 99.5716 | 
| Noise Intensity | 0 | 5 | 10 | 15 | 
|---|---|---|---|---|
| Lena | 0.9869 | 0.9899 | 0.9845 | 0.9899 | 
| Lake | 0.9930 | 0.9942 | 0.9939 | 0.9930 | 
| Peppers | 0.9943 | 0.9930 | 0.9905 | 0.9956 | 
| Cameraman | 0.9990 | 0.9989 | 0.9969 | 0.9980 | 
© 2019 by the authors. Licensee MDPI, Basel, Switzerland. This article is an open access article distributed under the terms and conditions of the Creative Commons Attribution (CC BY) license (http://creativecommons.org/licenses/by/4.0/).
Share and Cite
Xie, Y.; Yu, J.; Chen, X.; Ding, Q.; Wang, E. Low-Element Image Restoration Based on an Out-of-Order Elimination Algorithm. Entropy 2019, 21, 1192. https://doi.org/10.3390/e21121192
Xie Y, Yu J, Chen X, Ding Q, Wang E. Low-Element Image Restoration Based on an Out-of-Order Elimination Algorithm. Entropy. 2019; 21(12):1192. https://doi.org/10.3390/e21121192
Chicago/Turabian StyleXie, Yaqin, Jiayin Yu, Xinwu Chen, Qun Ding, and Erfu Wang. 2019. "Low-Element Image Restoration Based on an Out-of-Order Elimination Algorithm" Entropy 21, no. 12: 1192. https://doi.org/10.3390/e21121192
APA StyleXie, Y., Yu, J., Chen, X., Ding, Q., & Wang, E. (2019). Low-Element Image Restoration Based on an Out-of-Order Elimination Algorithm. Entropy, 21(12), 1192. https://doi.org/10.3390/e21121192
 
        
 
       