Predicting Premature Video Skipping and Viewer Interest from EEG Recordings
Abstract
1. Introduction
2. Materials and Methods
2.1. Experimental Setup
2.2. Data Preprocessing
2.3. Analysis
2.3.1. MSE
2.3.2. Engagement, Arousal, and Valence Indices
2.3.3. Features
2.3.4. Classification
3. Results
3.1. Skipping and Interest Prediction Accuracies
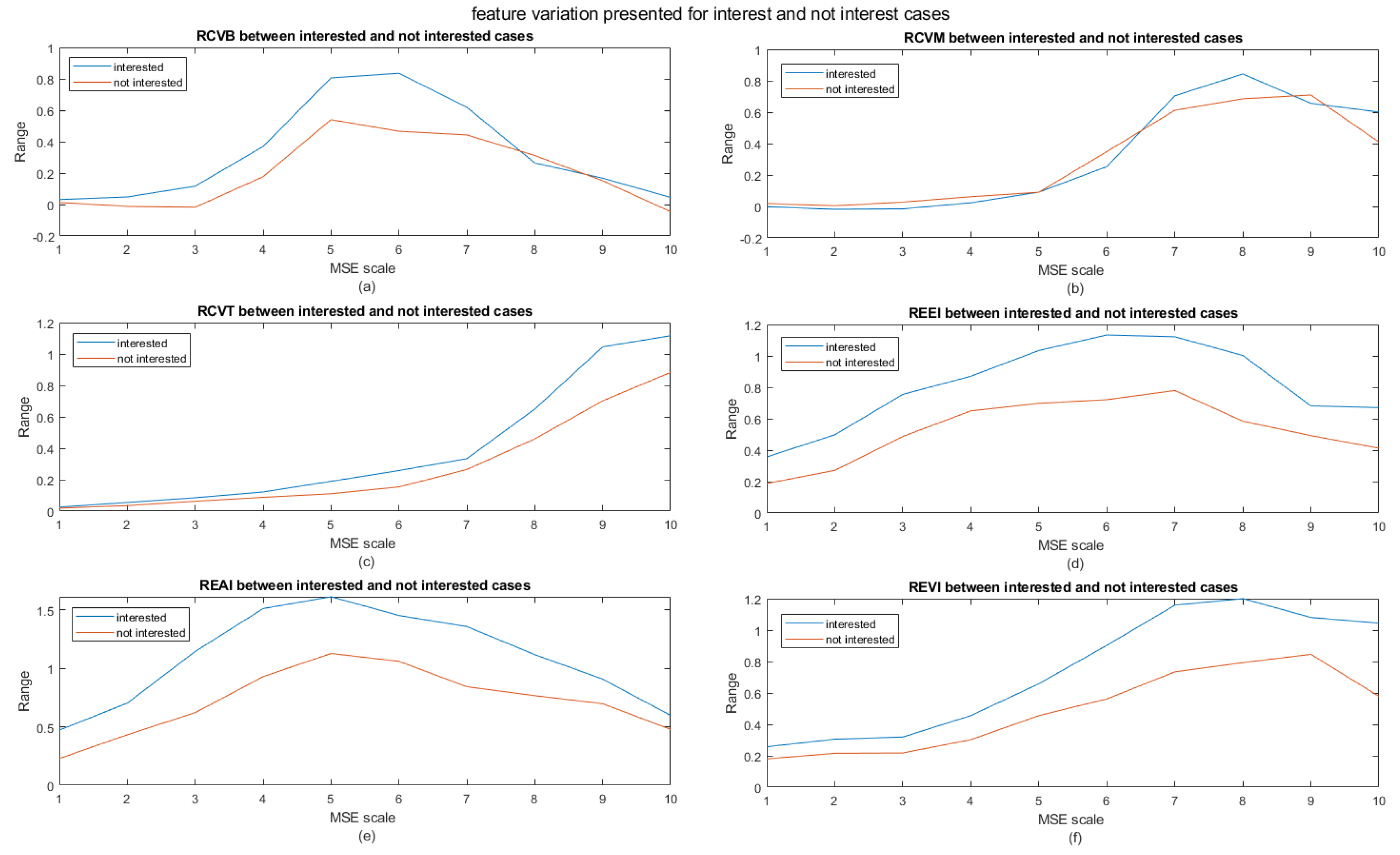
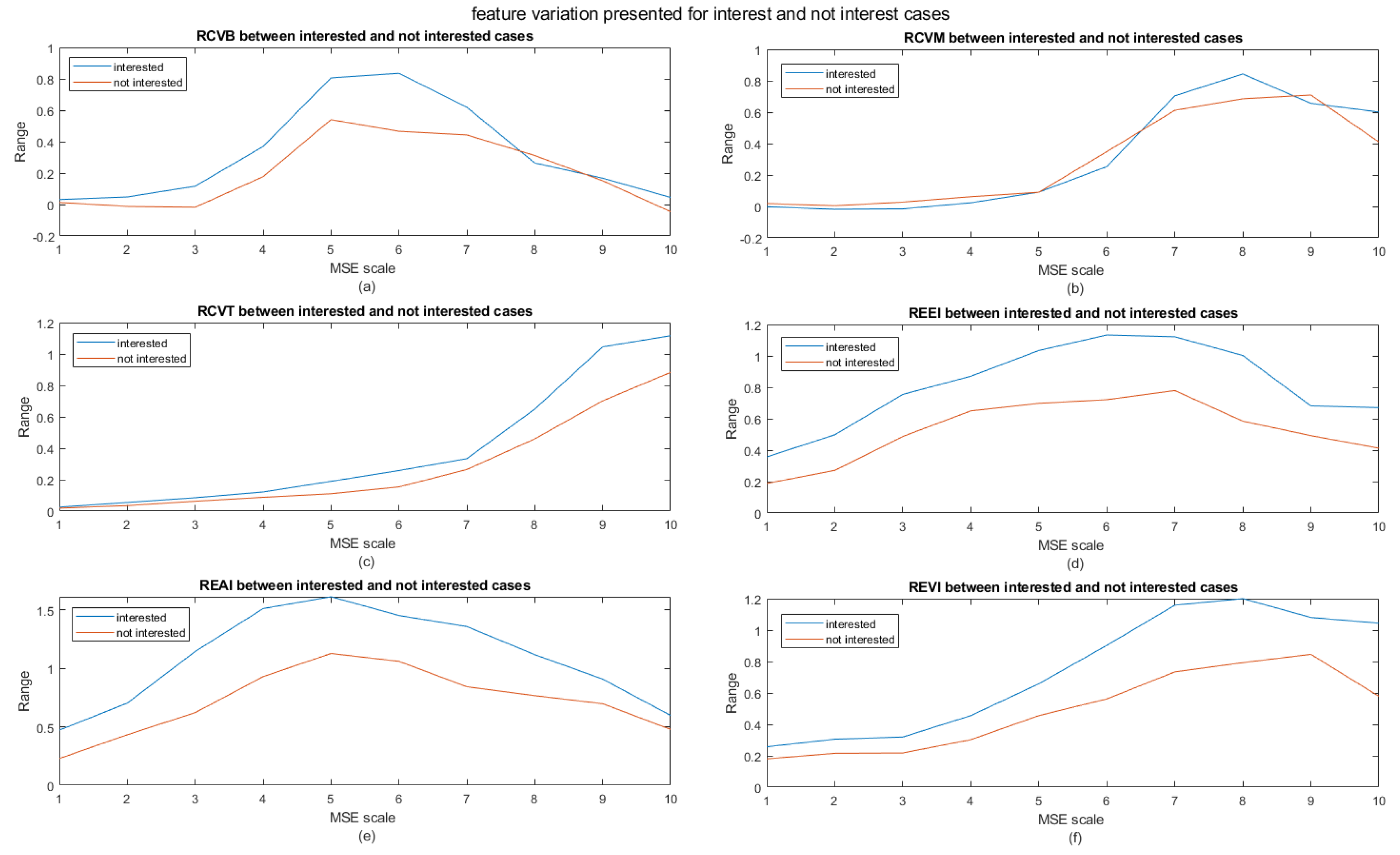
3.2. Feature Relevance
4. Discussion
Supplementary Materials
Author Contributions
Funding
Acknowledgments
Conflicts of Interest
References
- Abdulkader, N.S.; Atia, A.; Mostafa, M.M. Brain computer interfacing: Applications and challenges. Egypt. Inform. J. 2015, 16, 213–230. [Google Scholar] [CrossRef]
- Wittevrongel, B.; van Hulle, M.M. Frequency- and Phase Encoded SSVEP Using Spatiotemporal Beamforming. PLoS ONE 2016, 11, 159988. [Google Scholar] [CrossRef] [PubMed]
- Combaz, A.; Chatelle, C.; Robben, A.; Vanhoof, G.; Goeleven, A.; Thijs, V.; Van Hulle, M.M.; Laureys, S. A Comparison of Two Spelling Brain-Computer Interfaces Based on Visual P3 and SSVEP in Locked-In Syndrome. PLoS ONE 2013, 8, 73691. [Google Scholar] [CrossRef] [PubMed]
- Wittevrongel, B.; Van Hulle, M.M. Faster P300 Classifier Training Using Spatiotemporal Beamforming. Int. J. Neural Syst. 2016, 26, 1650014. [Google Scholar] [CrossRef] [PubMed]
- Jeon, Y.; Nam, C.S.; Kim, Y.; Cheol, M. Event-related (De) synchronization (ERD/ERS) during motor imagery tasks: Implications for brain e computer interfaces. Int. J. Ind. Ergon. 2011, 41, 428–436. [Google Scholar] [CrossRef]
- Thakor, N.V.; Sherman, D.L. EEG Signal Processing: Theory and Applications BT. In Neural Engineering; He, B., Ed.; Springer: Boston, MA, USA, 2013; pp. 259–303. [Google Scholar]
- Mcmahan, T.; Parberry, I.; Parsons, T.D. Evaluating player task engagement and arousal using electroencephalography. Procedia Manuf. 2015, 3, 2303–2310. [Google Scholar] [CrossRef]
- Freeman, F.G.; Mikulka, P.J.; Prinzel, L.J.; Scerbo, M.W. Evaluation of an adaptive automation system using three EEG indices with a visual tracking task. Biol. Psychol. 1999, 50, 61–76. [Google Scholar] [CrossRef]
- Pope, A.T.; Bogartb, E.H.; Bartolomeb, D.S. Biocybernetic system evaluates indices of operator engagement in automated task. Biol. Psychol. 1995, 40, 187–195. [Google Scholar] [CrossRef]
- Berka, C.; Levendowski, D.J.; Lumicao, M.N.; Yau, A.; Davis, G.; Zivkovic, V.T.; Olmstead, R.E.; Tremoulet, P.D.; Craven, P.L. EEG Correlates of Task Engagement and Mental Workload in Vigilance, Learning, and Memory Tasks. Aviat. Space Environ. Med. 2007, 78, 231–244. [Google Scholar]
- Zhuang, N.; Zeng, Y.; Tong, L.; Zhang, C.; Zhang, H.; Yan, B. Emotion Recognition from EEG Signals Using Multidimensional Information in EMD Domain. BioMed Res. Int. 2017. [Google Scholar] [CrossRef] [PubMed]
- Giraldo, S.; Ramirez, R. Brain-activity-driven real-time music emotive control. In Proceedings of the 3rd International Conference on Music & Emotion, Jyväskylä, Finland, 11–15 June 2013. [Google Scholar]
- van Camp, M.; de Boeck, M.; de Bruyne, G. EEG Technology for UX Evaluation: A Multisensory Perspective EEG Technology for UX Evaluation: A Multisensory Perspective; Springer: Cham, Switzerland, 2019. [Google Scholar]
- Lee, N.; Broderick, A.; Chamberlain, L. What is ‘Neuromarketing’? A Discussion and Agenda for Future Research. Int. J. Psychophysiol. 2007, 63, 199–204. [Google Scholar] [CrossRef] [PubMed]
- Tonoyan, Y.; Looney, D.; Mandic, D.P.; van Hulle, M.M. Discriminating Multiple Emotional States from EEG Using a Data-Adaptive, Multiscale Information-Theoretic Approach. Int. J. Neural Syst. 2016, 26, 165005. [Google Scholar] [CrossRef] [PubMed]
- Tonoyan, Y.; Chanwimalueang, T.; Mandic, D.P.; van Hulle, M.M. Discrimination of emotional states from scalp- and intracranial EEG using multiscale Rényi entropy. PLoS ONE 2017, 12, 186916. [Google Scholar] [CrossRef] [PubMed]
- Wei, Q.; Liu, Q.; Fan, S.Z.; Lu, C.W.; Lin, T.Y.; Abbod, M.; Shieh, J.S. Analysis of EEG via multivariate empirical mode decomposition for depth of anesthesia based on sample entropy. Entropy 2013, 15, 3458–3470. [Google Scholar] [CrossRef]
- Rehman, N.; Mandic, D.P. Multivariate empirical mode decomposition. Proc. R. Soc. A 2009, 466, 1291–1302. [Google Scholar] [CrossRef]
- Wang, H.; Bi, L.; Teng, T. EEG-based emergency braking intention prediction for brain-controlled driving considering one electrode falling-off. In Proceedings of the 2017 39th Annual International Conference of the IEEE Engineering in Medicine and Biology Society (EMBC), Seogwipo, Korea, 11–15 July 2017. [Google Scholar]
- Azami, H.; Escudero, J. Coarse-Graining Approaches in Univariate Multiscale Sample and Dispersion Entropy. Entropy 2018, 20, 138. [Google Scholar] [CrossRef]
- Costa, P.C.S.; de Melo, F. Coarse Graining of Partitioned Cellular Automata. arXiv 2019, arXiv:preprint/1905.10391. [Google Scholar]
- Costa, M.; §Goldberger, A.L.; Peng, C. Multiscale Entropy Analysis of Complex Physiologic Time Series. Phys. Rev. Lett. 2002, 89, 68102. [Google Scholar] [CrossRef] [PubMed]
- Mathworks. Matlab 2018b. Available online: http:// mathworks.com (accessed on 18 October 2019).
- Richman, J.S.; Moorman, J.R. Physiological time-series analysis using approximate entropy and sample entropy maturity in premature infants Physiological time-series analysis using approximate entropy and sample entropy. Am. J. Physiol. Hear. Circ. Physiol. 2000, 278, 2039–2049. [Google Scholar] [CrossRef] [PubMed]
- Cristianini, N.; Shawe-Taylor, J. The Naive Solution: Gradient Ascent. In An Introduction to Support Vector Machines and Other Kernel-Based Learning Methods; Cambridge University Press: Cambridge, UK, 2014; Volume 111, pp. 129–135. [Google Scholar]





| Skipped | SVM | kNN | RF | Interest | SVM | kNN | RF |
|---|---|---|---|---|---|---|---|
| s1 | 76.60 | 80.00 | 86.67 | s1 | 85.00 | 82.22 | 84.44 |
| s2 | 96.97 | 84.44 | 77.78 | s2 | 64.52 | 80.00 | 75.56 |
| s3 | 65.12 | 88.89 | 77.78 | s3 | 61.54 | 97.78 | 80.00 |
| s4 | 64.52 | 75.56 | 77.78 | s4 | 82.14 | 53.33 | 62.22 |
| Average | 75.8025 | 82.2225 | 80.0025 | Average | 73.3 | 78.3325 | 75.555 |
| (a) | ||||||
| Skipped | SVM | sd | kNN | sd | RF | sd |
| RCVB | 0.734 | 0.113 | 0.712 | 0.099 | 0.654 | 0.105 |
| RCVM | 0.705 | 0.118 | 0.647 | 0.098 | 0.621 | 0.105 |
| RCVT | 0.759 | 0.109 | 0.684 | 0.099 | 0.615 | 0.105 |
| REEI | 0.585 | 0.156 | 0.618 | 0.099 | 0.618 | 0.106 |
| REAI | 0.578 | 0.144 | 0.608 | 0.108 | 0.583 | 0.106 |
| REVI | 0.756 | 0.117 | 0.775 | 0.088 | 0.735 | 0.103 |
| CV2EI | 0.518 | 0.131 | 0.516 | 0.107 | 0.544 | 0.115 |
| CV2AI | 0.611 | 0.133 | 0.643 | 0.099 | 0.665 | 0.100 |
| CV2VI | 0.676 | 0.113 | 0.723 | 0.099 | 0.602 | 0.104 |
| (b) | ||||||
| Interest | SVM | sd | kNN | sd | RF | sd |
| RCVB | 0.676 | 0.131 | 0.740 | 0.096 | 0.640 | 0.105 |
| RCVM | 0.670 | 0.137 | 0.719 | 0.102 | 0.591 | 0.113 |
| RCVT | 0.693 | 0.139 | 0.728 | 0.095 | 0.614 | 0.107 |
| REEI | 0.641 | 0.116 | 0.736 | 0.106 | 0.645 | 0.106 |
| REAI | 0.654 | 0.122 | 0.696 | 0.099 | 0.592 | 0.108 |
| REVI | 0.725 | 0.121 | 0.766 | 0.091 | 0.694 | 0.098 |
| CV2EI | 0.465 | 0.138 | 0.607 | 0.107 | 0.577 | 0.107 |
| CV2AI | 0.548 | 0.150 | 0.683 | 0.098 | 0.629 | 0.106 |
| CV2VI | 0.396 | 0.177 | 0.526 | 0.106 | 0.463 | 0.108 |
© 2019 by the authors. Licensee MDPI, Basel, Switzerland. This article is an open access article distributed under the terms and conditions of the Creative Commons Attribution (CC BY) license (http://creativecommons.org/licenses/by/4.0/).
Share and Cite
Libert, A.; Van Hulle, M.M. Predicting Premature Video Skipping and Viewer Interest from EEG Recordings. Entropy 2019, 21, 1014. https://doi.org/10.3390/e21101014
Libert A, Van Hulle MM. Predicting Premature Video Skipping and Viewer Interest from EEG Recordings. Entropy. 2019; 21(10):1014. https://doi.org/10.3390/e21101014
Chicago/Turabian StyleLibert, Arno, and Marc M. Van Hulle. 2019. "Predicting Premature Video Skipping and Viewer Interest from EEG Recordings" Entropy 21, no. 10: 1014. https://doi.org/10.3390/e21101014
APA StyleLibert, A., & Van Hulle, M. M. (2019). Predicting Premature Video Skipping and Viewer Interest from EEG Recordings. Entropy, 21(10), 1014. https://doi.org/10.3390/e21101014

