Simultaneous Wireless Information and Power Transfer for MIMO Interference Channel Networks Based on Interference Alignment
Abstract
1. Introduction
- (1)
- We formulate a design scheme for MIMO SWIPT IC networks where the data transmission operates in spatial complexing mode for each user. The formulated design scheme is more general than the similar schemes studied in the literature, where the MISO networks were considered or only a single data stream is allowed for each user.
- (2)
- We perform a series of theoretical analyses on the feasibility of the design problem. Our analysis reveals that the feasibility of the formulated JTDPS problem is independent of the EH and PS constraints. Based on the analysis, we derive a sufficient condition for the feasibility of the problem. It is thus revealed that an IA feasible network must be feasible for the formulated problem. This makes it possible to check the feasibility of the formulated problem. To the best of our knowledge, there is no similar work to reveal this relationship in the literature.
- (3)
- We derive an iterative scheme based on SDP relaxation techniques to solve the formulated non-convex JTDPS problem. The convergence of the algorithm is proven. An IA-based initializing method is further proposed, which guarantees the convergence of the algorithm.
- (4)
- Based on IA, low-complexity schemes are developed for solving the formulated SWIPT problem more efficiently. Specifically, two transmit power allocation and receive power splitting schemes are developed. Both theoretical analysis and simulations verify the effectiveness of the proposed low-complexity schemes.
2. System Model
2.1. MIMO Interference Channel SWIPT System
2.2. Interference Alignment
3. On the Feasibility of the Optimization Problem
4. Alternative Optimization Solution Based on Semidefinite Programming Relaxation
4.1. Transmitter and Power Splitting Optimization
4.2. Receiver Optimization
4.3. Algorithm Description
| Algorithm 1: Joint Transceiver Design and Power Splitting Based on SDP (SDP-JTDPS) | |
5. Low-Complexity Design Schemes
5.1. Transceiver Design
5.2. Transmit Power Allocation and Receive Power Splitting
5.3. Low-Complexity Designs
5.3.1. Optimal Power Allocation and Power Splitting Scheme
| Algorithm 2: SWIPT Design with Optimal Transmit Power Allocation and Receive Power Splitting over Effective IA Channel Decomposing (O-PAPS). | |
5.3.2. Closed-Form Power Allocation and Power Splitting Scheme
| Algorithm 3: SWIPT Design with Closed-Form Transmit Power Allocation and Receive Power Splitting Solutions over the Effective IA Channel Decomposing (CF-PAPS). | |
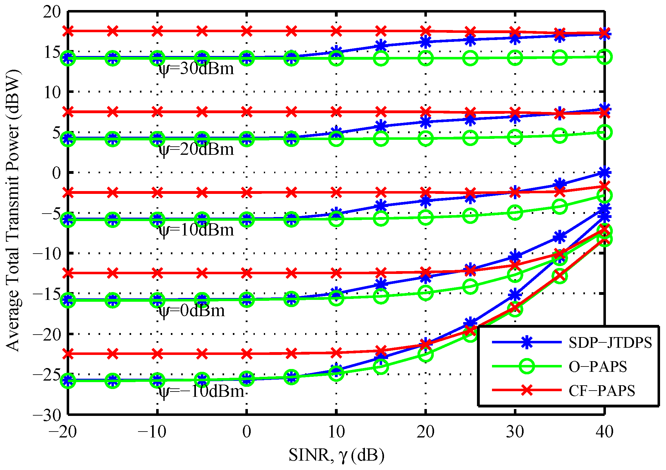
6. Simulation Results
7. Conclusions
Acknowledgments
Author Contributions
Conflicts of Interest
References
- Kang, X.; Chia, Y.K.; Ho, C.K.; Sun, S. Cost Minimization for Fading Channels With Energy Harvesting and Conventional Energy. IEEE Trans. Wirel. Commun. 2014, 13, 4586–4598. [Google Scholar] [CrossRef]
- Ngo, H.Q.; Larsson, E.G.; Marzetta, T.L. Energy and spectral efficiency of very large multiuser MIMO systems. IEEE Trans. Commun. 2013, 61, 1436–1449. [Google Scholar]
- Shirazinia, A.; Dey, S.; Ciuonzo, D.; Salvo Rossi, P. Massive MIMO for Decentralized Estimation of a Correlated Source. IEEE Trans. Signal Process. 2016, 64, 2499–2512. [Google Scholar] [CrossRef]
- Ciuonzo, D.; Salvo Rossi, P.; Dey, S. Massive MIMO channel-aware decision fusion. IEEE Trans. Signal Process. 2015, 63, 604–619. [Google Scholar] [CrossRef]
- Huang, K.; Zhou, X. Cutting the last wires for mobile communications by microwave power transfer. IEEE Commun. Mag. 2015, 53, 86–93. [Google Scholar] [CrossRef]
- Prasad, K.N.R.S.V.; Hossain, E.; Bhargava, V.K. Energy Efficiency in Massive MIMO-Based 5G Networks: Opportunities and Challenges. IEEE Wirel. Commun. 2017, 24, 86–94. [Google Scholar] [CrossRef]
- Varshney, L. Transporting information and energy simultaneously. In Proceedings of the IEEE International Symposium on Information Theory (ISIT), Toronto, ON, Canada, 6–11 July 2008; pp. 1612–1616. [Google Scholar]
- Grover, P.; Sahai, A. Shannon meets Tesla: Wireless information and power transfer. In Proceedings of the IEEE International Symposium on Information Theory (ISIT), Austin, TX, USA, 13–18 June 2010; pp. 2363–2367. [Google Scholar]
- Krikidis, I.; Timotheou, S.; Nikolaou, S.; Zheng, G.; Ng, D.; Schober, R. Simultaneous wireless information and power transfer in modern communication systems. IEEE Commun. Mag. 2014, 52, 104–110. [Google Scholar] [CrossRef]
- Liu, L.; Zhang, R.; Chua, K.C. Wireless Information Transfer with Opportunistic Energy Harvesting. IEEE Trans. Wirel. Commun. 2013, 12, 288–300. [Google Scholar] [CrossRef]
- Zhang, R.; Ho, C.K. MIMO Broadcasting for Simultaneous Wireless Information and Power Transfer. IEEE Trans. Wirel. Commun. 2013, 12, 1989–2001. [Google Scholar] [CrossRef]
- Xu, J.; Liu, L.; Zhang, R. Multiuser MISO Beamforming for Simultaneous Wireless Information and Power Transfer. IEEE Trans. Signal Process. 2014, 62, 4798–4810. [Google Scholar] [CrossRef]
- Ikhlef, A. Optimal MIMO Multicast Transceiver Design for Simultaneous Information and Power Transfer. IEEE Commun. Lett. 2014, 18, 2153–2156. [Google Scholar] [CrossRef]
- Song, C.; Ling, C.; Park, J.; Clerckx, B. MIMO broadcasting for simultaneous wireless information and power transfer: Weighted MMSE approaches. In Proceedings of the Globecom Workshops (GC Wkshps), Austin, TX, USA, 8–12 December 2014; pp. 1151–1156. [Google Scholar]
- Shi, Q.; Liu, L.; Xu, W.; Zhang, R. Joint Transmit Beamforming and Receive Power Splitting for MISO SWIPT Systems. IEEE Trans. Wirel. Commun. 2014, 13, 3269–3280. [Google Scholar] [CrossRef]
- Wang, F.; Peng, T.; Huang, Y.; Wang, X. Robust Transceiver Optimization for Power-Splitting Based Downlink MISO SWIPT Systems. IEEE Signal Process. Lett. 2015, 22, 1492–1496. [Google Scholar] [CrossRef]
- Dong, A.; Zhang, H.; Wu, D.; Yuan, D. QoS-constrained transceiver design and power splitting for downlink multiuser MIMO SWIPT systems. In Proceedings of the IEEE International Conference on Communications (ICC), Kuala Lumpue, Malaysia, 23–27 May 2016. [Google Scholar] [CrossRef]
- Zhang, H.; Dong, A.; Jin, S.; Yuan, D. Joint Transceiver and Power Splitting Optimization for Multiuser MIMO SWIPT under MSE QoS Constraints. IEEE Trans. Veh. Technol. 2017, 66, 7123–7135. [Google Scholar] [CrossRef]
- Timotheou, S.; Krikidis, I.; Zheng, G.; Ottersten, B. Beamforming for MISO Interference Channels with QoS and RF Energy Transfer. IEEE Trans. Wirel. Commun. 2014, 13, 2646–2658. [Google Scholar]
- Shi, Q.; Xu, W.; Chang, T.H.; Wang, Y.; Song, E. Joint Beamforming and Power Splitting for MISO Interference Channel With SWIPT: An SOCP Relaxation and Decentralized Algorithm. IEEE Trans. Signal Process. 2014, 62, 6194–6208. [Google Scholar] [CrossRef]
- Zhao, M.M.; Cai, Y.; Shi, Q.; Champagne, B.; Zhao, M.J. Robust Transceiver Design for MISO Interference Channel With Energy Harvesting. IEEE Trans. Signal Process. 2016, 64, 4618–4633. [Google Scholar] [CrossRef]
- Zhao, N.; Yu, F.; Leung, V. Wireless energy harvesting in interference alignment networks. IEEE Commun. Mag. 2015, 53, 72–78. [Google Scholar] [CrossRef]
- Zhao, N.; Yu, F.R.; Leung, V.C. Opportunistic communications in interference alignment networks with wireless power transfer. IEEE Wirel. Commun. 2015, 22, 88–95. [Google Scholar] [CrossRef]
- Cadambe, V.R.; Jafar, S.A. Interference Alignment and Degrees of Freedom of the K-user Interference Channel. IEEE Trans. Inform. Theory 2008, 54, 3425–3441. [Google Scholar] [CrossRef]
- Maddah-Ali, M.; Motahari, A.; Khandani, A. Communication Over MIMO X Channels: Interference Alignment, Decomposition, and Performance Analysis. IEEE Trans. Inform. Theory 2008, 54, 3457–3470. [Google Scholar] [CrossRef]
- Birk, Y.; Kol, T. Informed-source coding-on-demand (ISCOD) over broadcast channels. In Proceedings of the Seventeenth Annual Joint Conference of the IEEE Computer and Communications Societies (INFOCOM’98), San Francisco, CA, USA, 29 March–2 April 1998; Volume 3, pp. 1257–1264. [Google Scholar]
- Maddah-Ali, M.; Motahari, S.; Khandani, A. Communication Over X Channel: Signalling and Multiplexing Gain University Waterloo, Waterloo, ON; Technical Report; University of Waterloo: Waterloo, ON, Canada, 2006. [Google Scholar]
- Weingarten, H.; Shamai, S.; Kramer, G. On the compound MIMO broadcast channel. Proceedings of Annual Information Theory and Applications Workshop UCSD, San Diego, CA, USA, 12–17 January 2007. [Google Scholar]
- Jafar, S.A.; Shamai, S. Degrees of freedom region of the MIMO X channel. IEEE Trans. Inform. Theory 2008, 54, 151–170. [Google Scholar] [CrossRef]
- Gomadam, K.S.; Cadambe, V.R.; Jafar, S.A. A Distributed Numerical Approach to Interference Alignment and Applications to Wireless Interference Networks. IEEE Trans. Inform. Theory 2011, 57, 3309–3322. [Google Scholar] [CrossRef]
- Peters, S.W.; Heath, R.W., Jr. Interference alignment via alternating minimization. In Proceedings of the IEEE International Conference on Acoustics, Speech and Signal Processing, Taipei, Taiwan, 19–24 April 2009; pp. 2445–2448. [Google Scholar]
- Schmidt, D.A.; Shi, C.; Berry, R.A.; Honig, M.L.; Utschick, W. Minimum mean squared error interference alignment. In Proceedings of the Asilomar Conference Signals, Systems, Computers, Pacific Grove, CA, USA, 29 October–1 November 2009; pp. 1106–1110. [Google Scholar]
- Shen, H.; Li, B.; Tao, M.; Wang, X. MSE-based transceiver designs for the MIMO interference channel. IEEE Trans. Wirel. Commun. 2010, 9, 3480–3489. [Google Scholar] [CrossRef]
- Du, H.; Ratnarajah, T.; Sellathurai, M.; Papadias, C. Reweighted Nuclear Norm Approach for Interference Alignment. IEEE Trans. Commun. 2013, 61, 3754–3765. [Google Scholar] [CrossRef]
- Sridharan, G.; Yu, W. Beamformer design for interference alignment using reweighted frobenius norm minimization. In Proceedings of the International Workshop on Signal Processing Advances in Wireless Communications (SPAWC), Toronto, ON, Canada, 22–25 June 2014; pp. 469–473. [Google Scholar]
- Lee, H.H.; Kim, M.J.; Ko, Y.C. Transceiver design based on interference alignment in MIMO interfering broadcast channels. IEEE Trans. Wirel. Commun. 2014, 13, 6474–6483. [Google Scholar] [CrossRef]
- Dong, A.; Zhang, H.; Yuan, D.; Zhou, X. Interference Alignment Transceiver Design by Minimizing the Maximum Mean Square Error for MIMO Interfering Broadcast Channel. IEEE Trans. Veh. Technol. 2016, 65, 6024–6037. [Google Scholar] [CrossRef]
- Perlaza, S.M.; Fawaz, N.; Lasaulce, S.; Debbah, M. From spectrum pooling to space pooling: Opportunistic interference alignment in MIMO cognitive networks. IEEE Trans. Signal Process. 2010, 58, 3728–3741. [Google Scholar] [CrossRef]
- Tsinos, C.G.; Berberidis, K. Blind opportunistic interference alignment in MIMO cognitive radio systems. IEEE J. Emerg. Sel. Top. Circuits Syst. 2013, 3, 626–639. [Google Scholar] [CrossRef]
- Abdulkadir, Y.; Simpson, O.; Nwanekezie, N.; Sun, Y. Space-time opportunistic interference alignment in cognitive radio networks. In Proceedings of the IEEE Wireless Communications and Networking Conference (WCNC), Doha, Qatar, 3–6 April 2016. [Google Scholar] [CrossRef]
- Zong, Z.; Feng, H.; Yu, F.R.; Zhao, N.; Yang, T.; Hu, B. Optimal Transceiver Design for SWIPT in K-User MIMO Interference Channels. IEEE Trans. Wirel. Commun. 2016, 15, 430–445. [Google Scholar] [CrossRef]
- Zhao, N. Joint Optimization of Power Splitting and Allocation for SWIPT in Interference Alignment Networks. arXiv, 2017; arXiv:1701.01952. [Google Scholar]
- El Ayach, O.; Peters, S.W.; Heath, R.W. The practical challenges of interference alignment. IEEE Wirel. Commun. 2013, 20, 35–42. [Google Scholar] [CrossRef]
- Yetis, C.M.; Gou, T.; Jafar, S.A.; Kayran, A.H. On feasibility of interference alignment in MIMO interference networks. IEEE Trans. Signal Process. 2010, 58, 4771–4782. [Google Scholar] [CrossRef]
- Dong, A.; Zhang, H.; Zhou, X.; Yuan, D. On Analytical Achievable Rate for MIMO Linear Interference Alignment with Imperfect CSI. Wirel. Pers. Commun. 2017, 95, 1189–1214. [Google Scholar] [CrossRef]
- Cadambe, V.R.; Jafar, S.A. Reflections on interference alignment and the degrees of freedom of the K-user interference channel. IEEE Inform. Theory Soc. Newsl. 2009, 59, 5–9. [Google Scholar]
- Schubert, M.; Boche, H. Solution of the multiuser downlink beamforming problem with individual SINR constraints. IEEE Trans. Veh. Technol. 2004, 53, 18–28. [Google Scholar] [CrossRef]
- Negro, F.; Ghauri, I.; Slock, D. On duality in the MISO interference channel. In Proceedings of the Conference Record of the Forty Fourth Asilomar Conference on Signals, Systems and Computers (ASILOMAR), Pacific Grove, CA, USA, 7–10 November 2010; pp. 2104–2108. [Google Scholar]
- Chiu, E.; Lau, V.; Huang, H.; Wu, T.; Liu, S. Robust Transceiver Design for K-Pairs Quasi-Static MIMO Interference Channels via Semi-Definite Relaxation. IEEE Trans. Wirel. Commun. 2010, 9, 3762–3769. [Google Scholar] [CrossRef]
- Tresch, R.; Guillaud, M.; Riegler, E. On the achievability of interference alignment in the K-user constant MIMO interference channel. In Proceedings of the IEEE/SP 15th Workshop on Statistical Signal Processing, Hall Cardiff, UK, 31 August–3 September 2009; pp. 277–280. [Google Scholar]
- Liu, S.; Du, Y. A General Closed-Form Solution to Achieve Interference Alignment along Spatial Domain. In Proceedings of the IEEE Global Telecommunications Conference (GLOBECOM), Miami, FL, USA, 6–10 December 2010. [Google Scholar] [CrossRef]
- Sung, H.; Park, S.H.; Lee, K.J.; Lee, I. Linear precoder designs for K-user interference channels. IEEE Trans. Wirel. Commun. 2010, 9, 291–301. [Google Scholar] [CrossRef]
- Wiesel, A.; Eldar, Y.; Shamai, S. Linear precoding via conic optimization for fixed MIMO receivers. IEEE Trans. Signal Process. 2006, 54, 161–176. [Google Scholar] [CrossRef]
- Luo, Z.Q.; Ma, W.K.; So, A.C.; Ye, Y.; Zhang, S. Semidefinite Relaxation of Quadratic Optimization Problems. IEEE Signal Process. Mag. 2010, 27, 20–34. [Google Scholar] [CrossRef]
- Grant, M.; Boyd, S. CVX: Matlab Software for Disciplined Convex Programming, Version 2.1. Available online: http://cvxr.com/cvx (accessed on 9 September 2017).
- Boyd, S.; Vandenberghe, L. Convex Optimization; Cambridge University Press: Cambridge, UK, 2004. [Google Scholar]











© 2017 by the authors. Licensee MDPI, Basel, Switzerland. This article is an open access article distributed under the terms and conditions of the Creative Commons Attribution (CC BY) license (http://creativecommons.org/licenses/by/4.0/).
Share and Cite
Dong, A.; Zhang, H.; Shu, M.; Yuan, D. Simultaneous Wireless Information and Power Transfer for MIMO Interference Channel Networks Based on Interference Alignment. Entropy 2017, 19, 484. https://doi.org/10.3390/e19090484
Dong A, Zhang H, Shu M, Yuan D. Simultaneous Wireless Information and Power Transfer for MIMO Interference Channel Networks Based on Interference Alignment. Entropy. 2017; 19(9):484. https://doi.org/10.3390/e19090484
Chicago/Turabian StyleDong, Anming, Haixia Zhang, Minglei Shu, and Dongfeng Yuan. 2017. "Simultaneous Wireless Information and Power Transfer for MIMO Interference Channel Networks Based on Interference Alignment" Entropy 19, no. 9: 484. https://doi.org/10.3390/e19090484
APA StyleDong, A., Zhang, H., Shu, M., & Yuan, D. (2017). Simultaneous Wireless Information and Power Transfer for MIMO Interference Channel Networks Based on Interference Alignment. Entropy, 19(9), 484. https://doi.org/10.3390/e19090484

