Molecular Heat Engines: Quantum Coherence Effects
Abstract
1. Introduction
2. Model
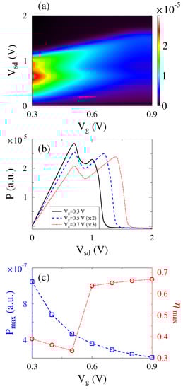
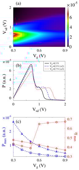
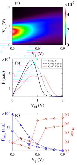
3. Results
4. Conclusions
Acknowledgments
Author Contributions
Conflicts of Interest
Abbreviations
| EOM | Equation-Of-Motion |
| DBA | Donor-Bridge-Acceptor |
| HOMO | Highest Occupied Molecular Orbital |
| LUMO | Lowest Unoccupied Molecular Orbital |
| NEGF | Nonequilibrium Green Function |
Appendix A. Expressions for Self-Energies
Appendix B. Derivation of Fluxes
References
- Aviram, A.; Ratner, M.A. Molecular Rectifiers. Chem. Phys. Lett. 1974, 29, 277–283. [Google Scholar] [CrossRef]
- Ratner, M. A Brief History of Molecular Electronics. Nat. Nanotech. 2013, 8, 378–381. [Google Scholar] [CrossRef] [PubMed]
- Van der Molen, S.J.; Naaman, R.; Scheer, E.; Neaton, J.B.; Nitzan, A.; Natelson, D.; Tao, N.J.; van der Zant, H.S.J.; Mayor, M.; et al. Visions for a Molecular Future. Nat. Nanotech. 2013, 8, 385–389. [Google Scholar]
- Hensley, C.J.; Yang, J.; Centurion, M. Imaging of Isolated Molecules with Ultrafast Electron Pulses. Phys. Rev. Lett. 2012, 109, 133202. [Google Scholar] [CrossRef] [PubMed]
- Ham, U.; Ho, W. Imaging Single Electron Spin in a Molecule Trapped within a Nanocavity of Tunable Dimension. J. Chem. Phys. 2013, 138, 074703. [Google Scholar] [CrossRef] [PubMed]
- Schaffert, J.; Cottin, M.C.; Sonntag, A.; Karacuban, H.; Bobisch, C.A.; Lorente, N.; Gauyacq, J.P.; Möller, R. Imaging the Dynamics of Individually Adsorbed Molecules. Nat. Mater. 2013, 12, 223–227. [Google Scholar] [CrossRef] [PubMed]
- Zhang, R.; Zhang, Y.; Dong, Z.C.; Jiang, S.; Zhang, C.; Chen, L.G.; Zhang, L.; Liao, Y.; Aizpurua, J.; Luo, Y.; Yang, J.L.; Hou, J.G. Chemical Mapping of a Single Molecule by Plasmon-Enhanced Raman Scattering. Nature 2013, 498, 82–86. [Google Scholar] [CrossRef] [PubMed]
- Chiang, C.l.; Xu, C.; Han, Z.; Ho, W. Real-Space Imaging of Molecular Structure and Chemical Bonding by Single-Molecule Inelastic Tunneling Probe. Science 2014, 344, 885–888. [Google Scholar] [CrossRef] [PubMed]
- Schwarz, F.; Kastlunger, G.; Lissel, F.; Egler-Lucas, C.; Semenov, S.N.; Venkatesan, K.; Berke, H.; Stadler, R.; Lörtscher, E. Field-Induced Conductance Switching by Charge-State Alternation in Organometallic Single-Molecule Junctions. Nat. Nanotech. 2016, 11, 170–176. [Google Scholar] [CrossRef] [PubMed]
- Mayor, M.; Weber, H.B.; Reichert, J.; Elbing, M.; von Hänisch, C.; Beckmann, D.; Fischer, M. Electric Current through a Molecular Rod-Relevance of the Position of the Anchor Groups. Angew. Chem. Int. Ed. 2003, 42, 5834–5838. [Google Scholar] [CrossRef] [PubMed]
- Vazquez, H.; Skouta, R.; Schneebeli, S.; Kamenetska, M.; Breslow, R.; Venkataraman, L.; Hybertsen, M. Probing the Conductance Superposition Law in Single-Molecule Circuits with Parallel Paths. Nature Nanotech. 2012, 7, 663–667. [Google Scholar] [CrossRef] [PubMed]
- Ballmann, S.; Härtle, R.; Coto, P.B.; Elbing, M.; Mayor, M.; Bryce, M.R.; Thoss, M.; Weber, H.B. Experimental Evidence for Quantum Interference and Vibrationally Induced Decoherence in Single-Molecule Junctions. Phys. Rev. Lett. 2012, 109, 056801. [Google Scholar] [CrossRef] [PubMed]
- Frontiera, R.R.; Gruenke, N.L.; Duyne, R.P.V. Fano-Like Resonances Arising from Long-Lived Molecule-Plasmon Interactions in Colloidal Nanoantennas. Nano Lett. 2012, 12, 5989–5994. [Google Scholar] [CrossRef] [PubMed]
- Lee, J.; Perdue, S.M.; Perez, A.R.; Apkarian, V.A. Vibronic Motion with Joint Angstrom-Femtosecond Resolution Observed through Fano Progressions Recorded within One Molecule. ACS Nano 2014, 8, 54–63. [Google Scholar] [CrossRef] [PubMed]
- Lee, H.; Cheng, Y.C.; Fleming, G.R. Coherence Dynamics in Photosynthesis: Protein Protection of Excitonic Coherence. Science 2007, 316, 1462–1465. [Google Scholar] [CrossRef] [PubMed]
- Engel, G.S.; Calhoun, T.R.; Read, E.L.; Ahn, T.K.; Mancal, T.; Cheng, Y.C.; Blankenship, R.E.; Fleming, G.R. Evidence for Wavelike Energy Transfer through Quantum Coherence in Photosynthetic Systems. Nature 2007, 446, 782–786. [Google Scholar] [CrossRef] [PubMed]
- Panitchayangkoon, G.; Hayes, D.; Fransted, K.A.; Caram, J.R.; Harel, E.; Wen, J.; Blankenship, R.E.; Engel, G.S. Long-Lived Quantum Coherence in Photosynthetic Complexes at Physiological Temperature. Proc. Natl. Acad. Sci. USA 2010, 107, 12766–12770. [Google Scholar] [CrossRef] [PubMed]
- Ishizaki, A.; Calhoun, T.R.; Schlau-Cohen, G.S.; Fleming, G.R. Quantum Coherence and its Interplay with Protein Environments in Photosynthetic Electronic Energy Transfer. Phys. Chem. Chem. Phys. 2010, 12, 7319–7337. [Google Scholar] [CrossRef] [PubMed]
- Ioffe, A.F. Semiconductor Thermoelements and Thermoelectric Cooling; Infosearch Ltd.: London, UK, 1957. [Google Scholar]
- Kim, P.; Shi, L.; Majumdar, A.; McEuen, P.L. Thermal Transport Measurements of Individual Multiwalled Nanotubes. Phys. Rev. Lett. 2001, 87, 215502. [Google Scholar] [CrossRef] [PubMed]
- Reddy, P.; Jang, S.Y.; Segalman, R.A.; Majumdar, A. Thermoelectricity in Molecular Junctions. Science 2007, 315, 1568–1571. [Google Scholar] [CrossRef] [PubMed]
- Malen, J.A.; Yee, S.K.; Majumdar, A.; Segalman, R.A. Fundamentals of Energy Transport, Energy Conversion, and Thermal Properties in Organic-Inorganic Heterojunctions. Chem. Phys. Lett. 2010, 491, 109–122. [Google Scholar] [CrossRef]
- Widawsky, J.R.; Darancet, P.; Neaton, J.B.; Venkataraman, L. Simultaneous Determination of Conductance and Thermopower of Single Molecule Junctions. Nano Lett. 2012, 12, 354–358. [Google Scholar] [CrossRef] [PubMed]
- Tsutsui, M.; Morikawa, T.; Arima, A.; Taniguchi, M. Thermoelectricity in Atom-Sized Junctions at Room Temperatures. Sci. Rep. 2013, 3, 3326. [Google Scholar] [CrossRef] [PubMed]
- Brantut, J.P.; Grenier, C.; Meineke, J.; Stadler, D.; Krinner, S.; Kollath, C.; Esslinger, T.; Georges, A. A Thermoelectric Heat Engine with Ultracold Atoms. Science 2013, 342, 713–715. [Google Scholar] [CrossRef] [PubMed]
- Chabinyc, M. Thermoelectric Polymers: Behind Organics’ Thermopower. Nature Mater. 2014, 13, 119–121. [Google Scholar] [CrossRef] [PubMed]
- Kim, Y.; Jeong, W.; Kim, K.; Lee, W.; Reddy, P. Electrostatic Control of Thermoelectricity in Molecular Junctions. Nature Nanotech. 2014, 9, 881–885. [Google Scholar] [CrossRef] [PubMed]
- Lee, E.S.; Cho, S.; Lyeo, H.K.; Kim, Y.H. Seebeck Effect at the Atomic Scale. Phys. Rev. Lett. 2014, 112, 136601. [Google Scholar] [CrossRef] [PubMed]
- Paulsson, M.; Datta, S. Thermoelectric Effect in Molecular Electronics. Phys. Rev. B 2003, 67, 241403. [Google Scholar] [CrossRef]
- Humphrey, T.E.; Linke, H. Reversible Thermoelectric Nanomaterials. Phys. Rev. Lett. 2005, 94, 096601. [Google Scholar] [CrossRef] [PubMed]
- Galperin, M.; Nitzan, A.; Ratner, M.A. Inelastic Effects in Molecular Junction Transport: Scattering and Self-Consistent Calculations for the Seebeck Coefficient. Mol. Phys. 2008, 106, 397–404. [Google Scholar] [CrossRef]
- Liu, Y.S.; Chen, Y.R.; Chen, Y.C. Thermoelectric Efficiency in Nanojunctions: A Comparison between Atomic Junctions and Molecular Junctions. ACS Nano 2009, 3, 3497–3504. [Google Scholar] [CrossRef] [PubMed]
- Liu, Y.S.; Chen, Y.C. Seebeck Coefficient of Thermoelectric Molecular Junctions: First-Principles Calculations. Phys. Rev. B 2009, 79, 193101. [Google Scholar] [CrossRef]
- Dubi, Y.; Di Ventra, M. Thermoelectric Effects in Nanoscale Junctions. Nano Lett. 2009, 9, 97–101. [Google Scholar] [CrossRef] [PubMed]
- Leijnse, M.; Wegewijs, M.R.; Flensberg, K. Nonlinear Thermoelectric Properties of Molecular Junctions with Vibrational Coupling. Phys. Rev. B 2010, 82, 045412. [Google Scholar] [CrossRef]
- Fransson, J.; Galperin, M. Spin Seebeck Coefficient of a Molecular Spin Pump. Phys. Chem. Chem. Phys. 2011, 13, 14350–14357. [Google Scholar] [CrossRef] [PubMed]
- Entin-Wohlman, O.; Imry, Y.; Aharony, A. Three-Terminal Thermoelectric Transport through a Molecular Junction. Phys. Rev. B 2010, 82, 115314. [Google Scholar] [CrossRef]
- Entin-Wohlman, O.; Aharony, A. Three-Terminal Thermoelectric Transport under Broken Time-Reversal Symmetry. Phys. Rev. B 2012, 85, 085401. [Google Scholar] [CrossRef]
- Nikolić, B.K.; Saha, K.K.; Markussen, T.; Thygesen, K.S. First-Principles Quantum Transport Modeling of Thermoelectricity in Single-Molecule Nanojunctions with Graphene Nanoribbon Electrodes. J. Comput. Electron. 2012, 11, 78–92. [Google Scholar] [CrossRef]
- Sánchez, D.; López, R. Scattering Theory of Nonlinear Thermoelectric Transport. Phys. Rev. Lett. 2013, 110, 026804. [Google Scholar] [CrossRef] [PubMed]
- Rutten, B.; Esposito, M.; Cleuren, B. Reaching Optimal Efficiencies Using Nanosized Photoelectric Devices. Phys. Rev. B 2009, 80, 235122. [Google Scholar] [CrossRef]
- Einax, M.; Dierl, M.; Nitzan, A. Heterojunction Organic Photovoltaic Cells as Molecular Heat Engines: A Simple Model for the Performance Analysis. J. Phys. Chem. C 2011, 115, 21396–21401. [Google Scholar] [CrossRef]
- Creatore, C.; Parker, M.A.; Emmott, S.; Chin, A.W. Efficient Biologically Inspired Photocell Enhanced by Delocalized Quantum States. Phys. Rev. Lett. 2013, 111, 253601. [Google Scholar] [CrossRef] [PubMed]
- Einax, M.; Nitzan, A. Network Analysis of Photovoltaic Energy Conversion. J. Phys. Chem. C 2014, 118, 27226–27234. [Google Scholar] [CrossRef]
- Einax, M.; Nitzan, A. Maximum Efficiency of State-Space Models of Molecular Scale Engines. arXiv, 2015; arXiv:1506.00496. [Google Scholar]
- Rahav, S.; Harbola, U.; Mukamel, S. Heat Fluctuations and Coherences in a Quantum Heat Engine. Phys. Rev. A 2012, 86, 043843. [Google Scholar] [CrossRef]
- Dorfman, K.E.; Voronine, D.V.; Mukamel, S.; Scully, M.O. Photosynthetic reaction center as a quantum heat engine. Proc. Natl. Acad. Sci. USA 2013, 110, 2746–2751. [Google Scholar] [CrossRef] [PubMed]
- Goswami, H.P.; Harbola, U. Thermodynamics of Quantum Heat Engines. Phys. Rev. A 2013, 88, 013842. [Google Scholar] [CrossRef]
- Altintas, F.; Hardal, A.U.C.; Müstecaplioğlu, O.E. Rabi Model as a Quantum Coherent Heat Engine: From Quantum Biology to Superconducting Circuits. Phys. Rev. A 2015, 91, 023816. [Google Scholar] [CrossRef]
- Leggio, B.; Bellomo, B.; Antezza, M. Quantum Thermal Machines with Single Nonequilibrium Environments. Phys. Rev. A 2015, 91, 012117. [Google Scholar] [CrossRef]
- Leijnse, M.; Wegewijs, M.R. Kinetic equations for transport through single-molecule transistors. Phys. Rev. B 2008, 78, 235424. [Google Scholar] [CrossRef]
- Esposito, M.; Galperin, M. Self-Consistent Quantum Master Equation Approach to Molecular Transport. J. Phys. Chem. C 2010, 114, 20362–20369. [Google Scholar] [CrossRef]
- Esposito, M.; Ochoa, M.A.; Galperin, M. Efficiency fluctuations in quantum thermoelectric devices. Phys. Rev. B 2015, 91, 115417. [Google Scholar] [CrossRef]
- Gao, Y.; Galperin, M. Simulation of optical response functions in molecular junctions. J. Chem. Phys. 2016, 144, 244106. [Google Scholar] [CrossRef] [PubMed]
- Kosloff, R.; Levy, A. Quantum Heat Engines and Refrigerators: Continuous Devices. Ann. Rev. Phys. Chem. 2014, 65, 365–393. [Google Scholar] [CrossRef] [PubMed]
- Proesmans, K.; Cleuren, B.; den Broeck, C.V. Stochastic efficiency for effusion as a thermal engine. Europhys. Lett. 2015, 109, 20004. [Google Scholar] [CrossRef]
- Kosloff, R.; Rezek, Y. The Quantum Harmonic Otto Cycle. Entropy 2017, 19, 136. [Google Scholar] [CrossRef]
- Peskin, U.; Galperin, M. Coherently Controlled Molecular Junctions. J. Chem. Phys. 2012, 136, 044107. [Google Scholar] [CrossRef] [PubMed]
- White, A.J.; Peskin, U.; Galperin, M. Coherence in Charge and Energy Transfer in Molecular Junctions. Phys. Rev. B 2013, 88, 205424. [Google Scholar] [CrossRef]
- Haug, H.; Jauho, A.P. Quantum Kinetics in Transport and Optics of Semiconductors; Springer: Berlin/Heidelberg, Germany, 2008. [Google Scholar]
- Aoki, H.; Tsuji, N.; Eckstein, M.; Kollar, M.; Oka, T.; Werner, P. Nonequilibrium Dynamical Mean-Field Theory and Its Applications. Rev. Mod. Phys. 2014, 86, 779–837. [Google Scholar] [CrossRef]
- White, A.J.; Ochoa, M.A.; Galperin, M. Nonequilibrium Atomic Limit for Transport and Optical Response of Molecular Junctions. J. Phys. Chem. C 2014, 118, 11159–11173. [Google Scholar] [CrossRef]
- Chen, F.; Ochoa, M.A.; Galperin, M. Nonequilibrium diagrammatic technique for Hubbard Green functions. J. Chem. Phys. 2017, 146, 092301. [Google Scholar] [CrossRef]
- Galperin, M. Photonics and spectroscopy in nanojunctions: A theoretical insight. Chem. Soc. Rev. 2017, 46, 4000–4019. [Google Scholar] [CrossRef] [PubMed]
- Miwa, K.; Chen, F.; Galperin, M. Towards Noise Simulation in Interacting Nonequilibrium Systems Strongly Coupled to Baths. Sci. Rep. 2017, 7, 9735. [Google Scholar] [CrossRef] [PubMed]
- Golizadeh-Mojarad, R.; Datta, S. Nonequilibrium Green’s function based models for dephasing in quantum transport. Phys. Rev. B 2007, 75, 081301. [Google Scholar] [CrossRef]
- Esposito, M.; Ochoa, M.A.; Galperin, M. Nature of heat in strongly coupled open quantum systems. Phys. Rev. B 2015, 92, 235440. [Google Scholar] [CrossRef]
- Ochoa, M.A.; Bruch, A.; Nitzan, A. Energy distribution and local fluctuations in strongly coupled open quantum systems: The extended resonant level model. Phys. Rev. B 2016, 94, 035420. [Google Scholar] [CrossRef]
- Gaspard, P. Scattering approach to the thermodynamics of quantum transport. New J. Phys. 2015, 17, 045001. [Google Scholar] [CrossRef]
- Ness, H. Nonequilibrium Thermodynamics and Steady State Density Matrix for Quantum Open Systems. Entropy 2017, 19, 158. [Google Scholar] [CrossRef]
- Galperin, M.; Nitzan, A. Optical Properties of Current Carrying Molecular Wires. J. Chem. Phys. 2006, 124, 234709. [Google Scholar] [CrossRef] [PubMed]
- Scully, M.O. Quantum Photocell: Using Quantum Coherence to Reduce Radiative Recombination and Increase Efficiency. Phys. Rev. Lett. 2010, 104, 207701. [Google Scholar] [CrossRef] [PubMed]
- Fetter, A.L.; Walecka, J.D. Quantum Theory of Many-Particle Systems; Dover Publications, Inc.: Mineola, NY, USA, 2003. [Google Scholar]
- Stefanucci, G.; van Leeuwen, R. Nonequilibrium Many-Body Theory of Quantum Systems. A Modern Introduction; Cambridge University Press: Cambridge, UK, 2013. [Google Scholar]
- Jauho, A.P.; Wingreen, N.S.; Meir, Y. Time-dependent transport in interacting and noninteracting resonant-tunneling systems. Phys. Rev. B 1994, 50, 5528–5544. [Google Scholar] [CrossRef]




© 2017 by the authors. Licensee MDPI, Basel, Switzerland. This article is an open access article distributed under the terms and conditions of the Creative Commons Attribution (CC BY) license (http://creativecommons.org/licenses/by/4.0/).
Share and Cite
Chen, F.; Gao, Y.; Galperin, M. Molecular Heat Engines: Quantum Coherence Effects. Entropy 2017, 19, 472. https://doi.org/10.3390/e19090472
Chen F, Gao Y, Galperin M. Molecular Heat Engines: Quantum Coherence Effects. Entropy. 2017; 19(9):472. https://doi.org/10.3390/e19090472
Chicago/Turabian StyleChen, Feng, Yi Gao, and Michael Galperin. 2017. "Molecular Heat Engines: Quantum Coherence Effects" Entropy 19, no. 9: 472. https://doi.org/10.3390/e19090472
APA StyleChen, F., Gao, Y., & Galperin, M. (2017). Molecular Heat Engines: Quantum Coherence Effects. Entropy, 19(9), 472. https://doi.org/10.3390/e19090472

