Implications of Coupling in Quantum Thermodynamic Machines
Abstract
:1. Introduction
- (i)
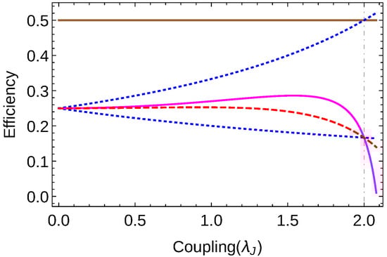
- When the Hamiltonian of the coupled system (at all stages of the cycle) can be decoupled (as two independent modes) in some suitably chosen co-ordinate system, then the efficiency of the coupled system is bounded (both from above and below) by the efficiencies of the independent modes, provided both the modes work as engines (Section 3.1).
- (ii)
- The global efficiency (i.e., efficiency of coupled system) reaches the lower bound (mentioned in (i)) when the upper bound (mentioned in (i)) of the efficiency achieves Carnot efficiency. When one of the modes is not working as an engine, the global efficiency is upper bounded by the efficiency of the other mode (Section 4.1).
- (iii)
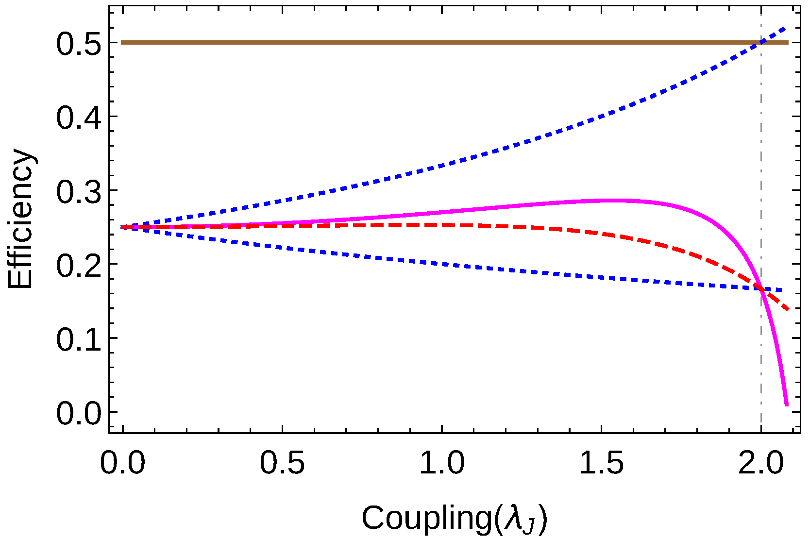
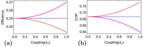
- For the case of the engine, we compare the efficiencies in two extreme cases (coupled oscillators and coupled spin- systems). Interestingly, the efficiency of coupled oscillators outperforms the efficiency obtained from coupled spins (Section 4.1 and Section 4.3).
- (iv)
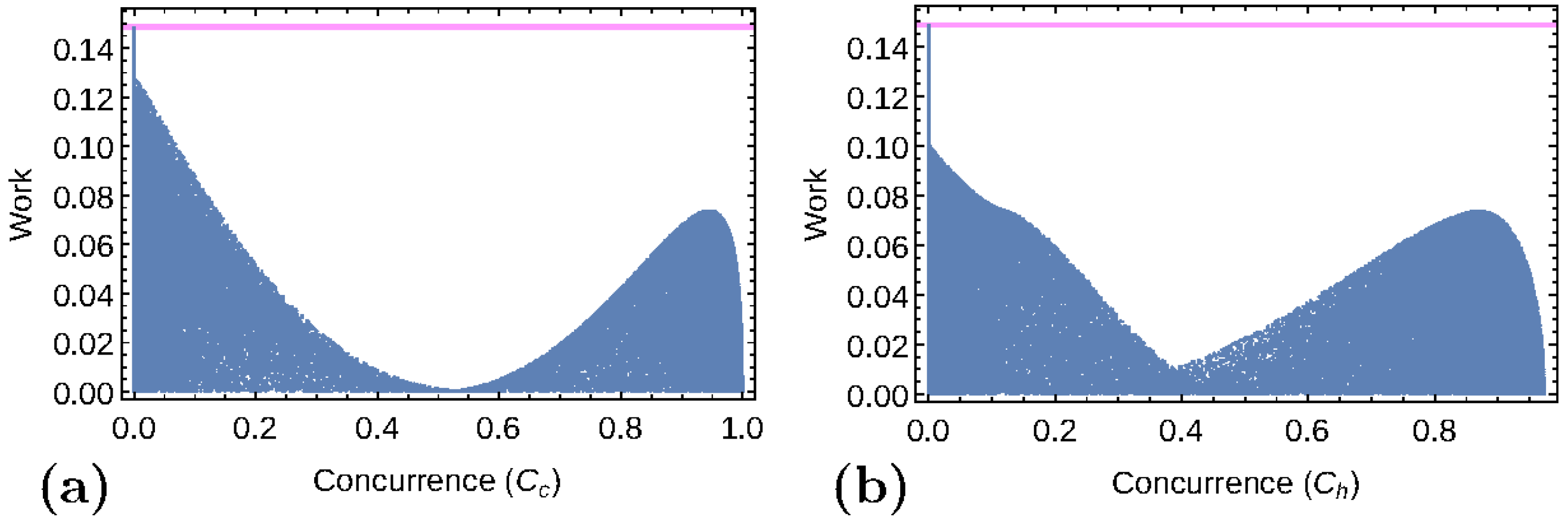
- We have also shown that the optimal work extractable from a coupled system is upper bounded by the optimal work extractable from the uncoupled systems (Section 3.3).
- (v)
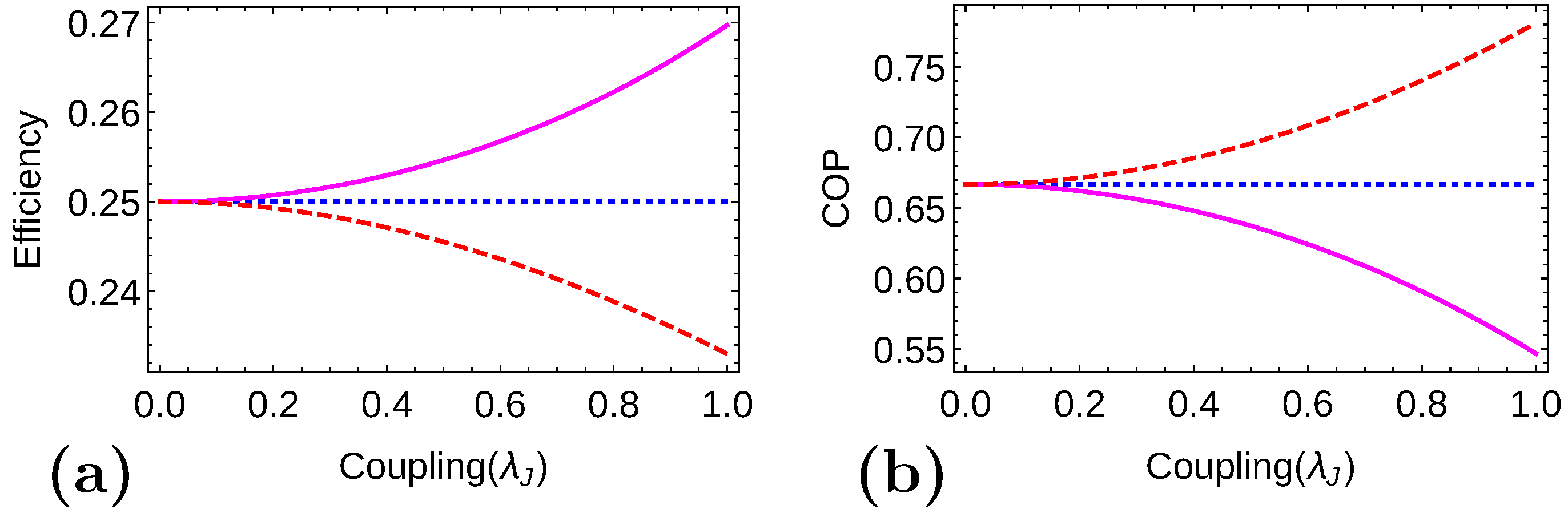
- Like the efficiency, the global coefficient of performance (COP) is bounded (both from above and below) by the COPs of the independent modes (Section 5).
- (vi)
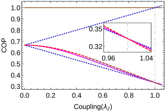
- Surprisingly, for similar interactions considered in the case of heat engine, the global COP of coupled spins is higher than that of the coupled oscillators, which is contrary to the behavior observed in the case of engines (Section 5.1 and Section 5.2).
2. Quantum Otto Cycle
- Stage 1:
- In this stage, the system represented by the density matrix (defined in Stage 4) and the Hamiltonian H, is attached to a hot bath at temperature . During the process, the Hamiltonian is kept fixed. At the end of this stage, the system reaches equilibrium with the bath. Therefore, the final state is given as , where , with being the Boltzmann constant. Hence the amount of heat absorbed by the system from the hot bath is .
- Stage 2:
- The system is decoupled from the bath and the Hamiltonian is changed from H to slowly enough so that the quantum adiabatic theorem holds. Since there is no heat exchange between the system and the bath, the change in mean energy is equal to the work. The work done in this process is , where and is the unitary associated with the adiabatic process, defined as . Here is the time ordering operator, and .
- Stage 3:
- The system is attached to the cold bath at inverse temperature . The system reaches equilibrium with the cold bath at the end of the process and the state of the system becomes . Therefore the heat rejected to the cold bath is given as .
- Stage 4:
- The system is detached from the cold bath and the Hamiltonian is slowly varied from to H. The work done in this process is equal to the change in the mean energy, which is given as , where is the density matrix at the end of the adiabatic process, defined as and is given by , so that and . Finally, the cycle is completed by attaching the system with the hot bath.
2.1. Single System as a Heat Engine
3. Performance of Coupled System
3.1. Coupled Oscillators
Generalization
3.2. Coupled Spin System
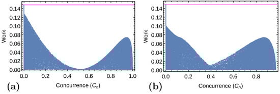
3.3. Optimal Work
Generalization
4. Special Cases
4.1. XX Model
4.2. Optimal Work and Correlations
4.3. XY Model
5. Performance as a Refrigerator
5.1. XX Model
5.2. XY Model
6. Discussion and Future Direction
Acknowledgments
Author Contributions
Conflicts of Interest
References
- Horodecki, M.; Oppenheim, J. Fundamental limitations for quantum and nanoscale thermodynamics. Nat. Commun. 2013, 4, 2059. [Google Scholar] [CrossRef] [PubMed]
- Brandão, F.; Horodecki, M.; Ng, N.H.Y.; Oppenheim, J.; Wehner, S. The second laws of quantum thermodynamics. Proc. Natl. Acad. Sci. USA 2015, 112, 3275–3279. [Google Scholar] [CrossRef] [PubMed]
- Lostaglio, M.; Jennings, D.; Rudolph, T. Description of quantum coherence in thermodynamic processes requires constraints beyond free energy. Nat. Commun. 2015, 6, 6383. [Google Scholar] [CrossRef] [PubMed]
- Lostaglio, M.; Korzekwa, K.; Jennings, D.; Rudolph, T. Quantum Coherence, Time-Translation Symmetry, and Thermodynamics. Phys. Rev. X 2015, 5, 021001. [Google Scholar] [CrossRef]
- Landauer, R. Irreversibility and Heat Generation in the Computing Process. IBM J. Res. Dev. 1961, 5, 183–191. [Google Scholar] [CrossRef]
- Bennett, C.H. The Thermodynamics of Computation—A Review. Int. J. Theor. Phys. 1982, 21, 905. [Google Scholar] [CrossRef]
- Lubkin, E. Keeping the entropy of measurement: Szilard revisited. Int. J. Theor. Phys. 1987, 26, 523–535. [Google Scholar] [CrossRef]
- Maruyama, K.; Nori, F.; Vedral, V. Colloquium: The physics of Maxwell’s demon and information. Rev. Mod. Phys. 2009, 81. [Google Scholar] [CrossRef]
- Rio, L.D.; Åberg, J.; Renner, R.; Dahlsten, O.; Vedral, V. The thermodynamic meaning of negative entropy. Nature 2011, 474, 61–63. [Google Scholar] [CrossRef] [PubMed]
- Thomas, G.; Johal, R.S. Expected behavior of quantum thermodynamic machines with prior information. Phys. Rev. E 2012, 85, 041146. [Google Scholar] [CrossRef] [PubMed]
- Brandão, F.G.S.L.; Horodecki, M.; Oppenheim, J.; Renes, J.M.; Spekkens, R.W. Resource Theory of Quantum States Out of Thermal Equilibrium. Phys. Rev. Lett. 2013, 111, 250404. [Google Scholar] [CrossRef] [PubMed]
- Horodecki, M.; Oppenheim, J. Quantumness in the context of resource theories. Int. J. Mod. Phys. B 2013, 27, 1345019. [Google Scholar] [CrossRef]
- Gour, G.; Müller, M.P.; Narasimhachar, V.; Spekkens, R.W.; Halpern, N.Y. The resource theory of informational nonequilibrium in thermodynamics. Phys. Rep. 2015, 583, 1–58. [Google Scholar] [CrossRef]
- Åberg, J. Truly work-like work extraction via a single-shot analysis. Nat. Commun. 2013, 4, 1925. [Google Scholar] [CrossRef] [PubMed]
- Skrzypczyk, P.; Short, A.J.; Popescu, S. Work extraction and thermodynamics for individual quantum systems. Nat. Commun. 2014, 5, 4185. [Google Scholar] [CrossRef] [PubMed]
- Åberg, J. Catalytic Coherence. Phys. Rev. Lett. 2014, 113, 150402. [Google Scholar] [CrossRef] [PubMed]
- Perarnau-Llobet, M.; Hovhannisyan, K.V.; Huber, M.; Skrzypczyk, P.; Brunner, N.; Acín, A. Extractable work from correlations. Phys. Rev. X 2015, 5, 041011. [Google Scholar] [CrossRef]
- Mukherjee, A.; Roy, A.; Bhattacharya, S.S.; Banik, M. Presence of quantum correlations results in a nonvanishing ergotropic gap. Phys. Rev. E 2016, 93, 052140. [Google Scholar] [CrossRef] [PubMed]
- Scully, M.O.; Zubairy, M.S.; Agarwal, G.S.; Walther, H. Extracting Work from a Single Heat Bath via Vanishing Quantum Coherence. Science 2003, 299, 862–864. [Google Scholar] [CrossRef] [PubMed]
- Kosloff, R. Quantum Thermodynamics: A Dynamical Viewpoint. Entropy 2013, 15, 2100. [Google Scholar] [CrossRef]
- Roßnagel, J.; Abah, O.; Schmidt-Kaler, F.; Singer, K.; Lutz, E. Nanoscale Heat Engine Beyond the Carnot Limit. Phys. Rev. Lett. 2014, 112, 030602. [Google Scholar] [CrossRef] [PubMed]
- Zubairy, M.S. The Photo-Carnot Cycle: The Preparation Energy for Atomic Coherence. AIP Conf. Proc. 2002, 643, 92. [Google Scholar]
- Linden, N.; Popescu, S.; Skrzypczyk, P. How Small Can Thermal Machines Be? The Smallest Possible Refrigerator. Phys. Rev. Lett. 2010, 105, 130401. [Google Scholar] [CrossRef] [PubMed]
- Kosloff, R.; Feldmann, T. Discrete four-stroke quantum heat engine exploring the origin of friction. Phys. Rev. E 2002, 65, 055102. [Google Scholar] [CrossRef] [PubMed]
- Feldmann, T.; Kosloff, R. Quantum four-stroke heat engine: Thermodynamic observables in a model with intrinsic friction. Phys. Rev. E 2003, 68, 016101. [Google Scholar] [CrossRef] [PubMed]
- Zhang, T.; Liu, W.-T.; Chen, P.-X.; Li, C.-Z. Four-level entangled quantum heat engines. Phys. Rev. A 2007, 75, 062102. [Google Scholar] [CrossRef]
- Thomas, G.; Johal, R.S. Coupled quantum Otto cycle. Phys. Rev. E 2011, 83, 031135. [Google Scholar] [CrossRef] [PubMed]
- Thomas, G.; Johal, R.S. Friction due to inhomogeneous driving of coupled spins in a quantum heat engine. Eur. Phys. J. B 2014, 87, 166. [Google Scholar] [CrossRef]
- Azimi, M.; Chotorlishvili, L.; Mishra, S.K.; Vekua, T.; Hübner, W.; Berakdar, J. Quantum Otto heat engine based on a multiferroic chain working substance. New J. Phys. 2014, 16, 063018. [Google Scholar] [CrossRef]
- Wang, J.; Ye, Z.; Lai, Y.; Li, W.; He, J. Efficiency at maximum power of a quantum heat engine based on two coupled oscillators. Phys. Rev. E 2015, 91, 062134. [Google Scholar] [CrossRef] [PubMed]
- Lieb, E.; Schultz, T.; Mattis, D. Two soluble models of an antiferromagnetic chain. Ann. Phys. 1961, 16, 407–466. [Google Scholar]
- Takahashi, M. Thermodynamics of One-Dimensional Solvable Models; Cambridge University Press: Cambridge, UK, 1999. [Google Scholar]
- Schroeder, D.V. Thermal Physics; Addison Wesley Longman: San Francisco, CA, USA, 2000. [Google Scholar]
- Kieu, T.D. The Second Law, Maxwell’s Demon, and Work Derivable from Quantum Heat Engines. Phys. Rev. Lett. 2004, 93, 140403. [Google Scholar] [CrossRef] [PubMed]
- Quan, H.T.; Liu, Y.-X.; Sun, C.P.; Nori, F. Quantum thermodynamic cycles and quantum heat engines. Phys. Rev. E 2007, 76, 031105. [Google Scholar] [CrossRef] [PubMed]
- Allahverdyan, A.E.; Johal, R.S.; Mahler, G. Work extremum principle: Structure and function of quantum heat engines. Phys. Rev. E 2008, 77, 041118. [Google Scholar] [CrossRef] [PubMed]
- Allahverdyan, A.E.; Hovhannisyan, K.; Mahler, G. Optimal refrigerator. Phys. Rev. E 2010, 81, 051129. [Google Scholar] [CrossRef] [PubMed]
- Rezek, Y.; Kosloff, R. Irreversible performance of a quantum harmonic heat engine. New J. Phys. 2006, 8, 83. [Google Scholar] [CrossRef]
- Agarwal, G.S.; Chaturvedi, S. Quantum dynamical framework for Brownian heat engines. Phys. Rev. E 2013, 88, 012130. [Google Scholar] [CrossRef] [PubMed]
- Estes, L.E.; Keil, T.H.; Narducci, L.M. Quantum-Mechanical Description of Two Coupled Harmonic Oscillators. Phys. Rev. 1968, 175, 286. [Google Scholar] [CrossRef]
- Zoubi, H.; Orenstien, M.; Ron, A. Coupled microcavities with dissipation. Phys. Rev. A 2000, 62, 033801. [Google Scholar] [CrossRef]
- Levy, A.; Kosloff, R. The local approach to quantum transport may violate the second law of thermodynamics. EPL 2014, 107, 20004. [Google Scholar] [CrossRef]
- Quan, H.T.; Yang, S.; Sun, C.P. Microscopic work distribution of small systems in quantum isothermal processes and the minimal work principle. Phys. Rev. E 2008, 78, 021116. [Google Scholar] [CrossRef] [PubMed]
- Huang, X.-L.; Niu, X.-Y.; Xiu, X.-M.; Yi, X.-X. Quantum Stirling heat engine and refrigerator with single and coupled spin systems. Eur. Phys. J. D 2014, 68, 32. [Google Scholar] [CrossRef]
- Wootters, W.K. Entanglement of Formation of an Arbitrary State of Two Qubits. Phys. Rev. Lett. 1998, 80, 2245–2248. [Google Scholar] [CrossRef]
- Hill, S.; Wootters, W.K. Entanglement of a Pair of Quantum Bits. Phys. Rev. Lett. 1997, 78, 5022. [Google Scholar] [CrossRef]
- Arnesen, M.C.; Bose, S.; Vedral, V. Natural Thermal and Magnetic Entanglement in the 1D Heisenberg Model. Phys. Rev. Lett. 2001, 87, 017901. [Google Scholar] [CrossRef] [PubMed]
- Kosloff, R.; Feldmann, T. Optimal performance of reciprocating demagnetization quantum refrigerators. Phys. Rev. E 2010, 82, 011134. [Google Scholar] [CrossRef] [PubMed]
- Feldmann, T.; Kosloff, R. Short time cycles of purely quantum refrigerators. Phys. Rev. E 2012, 85, 051114. [Google Scholar] [CrossRef] [PubMed]
- Yan, Z.; Chen, J. A class of irreversible Carnot refrigeration cycles with a general heat transfer law. J. Phys. D 1990, 23, 136. [Google Scholar] [CrossRef]
- Thomas, G.; Johal, R.S. Estimating performance of Feynman’s ratchet with limited information. J. Phys. A 2015, 48, 335002. [Google Scholar] [CrossRef]
- Zhang, K.; Zhang, W. Quantum optomechanical straight-twin engine. Phys. Rev. A 2017, 95, 053870. [Google Scholar] [CrossRef]
- Mani, H.S.; Chennai Mathematical Institute. Personal communication, 2016.
- Thomas, G.; Banerjee, S.; Ghosh, S. Finite-power thermodynamic machines. 2017. in preparation. [Google Scholar]
- Jaynes, E.T.; Cummings, F.W. Comparison of quantum and semiclassical radiation theories with application to the beam maser. Proc. IEEE 1963, 51, 89. [Google Scholar] [CrossRef]
- Murao, M.; Shibata, F. Relaxation theory of a strongly coupled system. Physica A 1995, 216, 255–270. [Google Scholar] [CrossRef]
- Song, Q.; Singh, S.; Zhang, K.; Zhang, W.; Meystre, P. One atom and one photon—The simplest polaritonic heat engine. Phys. Rev. A 2016, 94, 063852. [Google Scholar] [CrossRef]








© 2017 by the authors. Licensee MDPI, Basel, Switzerland. This article is an open access article distributed under the terms and conditions of the Creative Commons Attribution (CC BY) license (http://creativecommons.org/licenses/by/4.0/).
Share and Cite
Thomas, G.; Banik, M.; Ghosh, S. Implications of Coupling in Quantum Thermodynamic Machines. Entropy 2017, 19, 442. https://doi.org/10.3390/e19090442
Thomas G, Banik M, Ghosh S. Implications of Coupling in Quantum Thermodynamic Machines. Entropy. 2017; 19(9):442. https://doi.org/10.3390/e19090442
Chicago/Turabian StyleThomas, George, Manik Banik, and Sibasish Ghosh. 2017. "Implications of Coupling in Quantum Thermodynamic Machines" Entropy 19, no. 9: 442. https://doi.org/10.3390/e19090442
APA StyleThomas, G., Banik, M., & Ghosh, S. (2017). Implications of Coupling in Quantum Thermodynamic Machines. Entropy, 19(9), 442. https://doi.org/10.3390/e19090442
