Nonequilibrium Thermodynamics and Steady State Density Matrix for Quantum Open Systems
Abstract
:1. Introduction
2. Non-Equilibrium Steady State
2.1. System and Initial Conditions
2.2. The NE Density Matrix
2.3. Three Equivalent Expressions for
3. Entropy Production
3.1. Entropy Production Rate
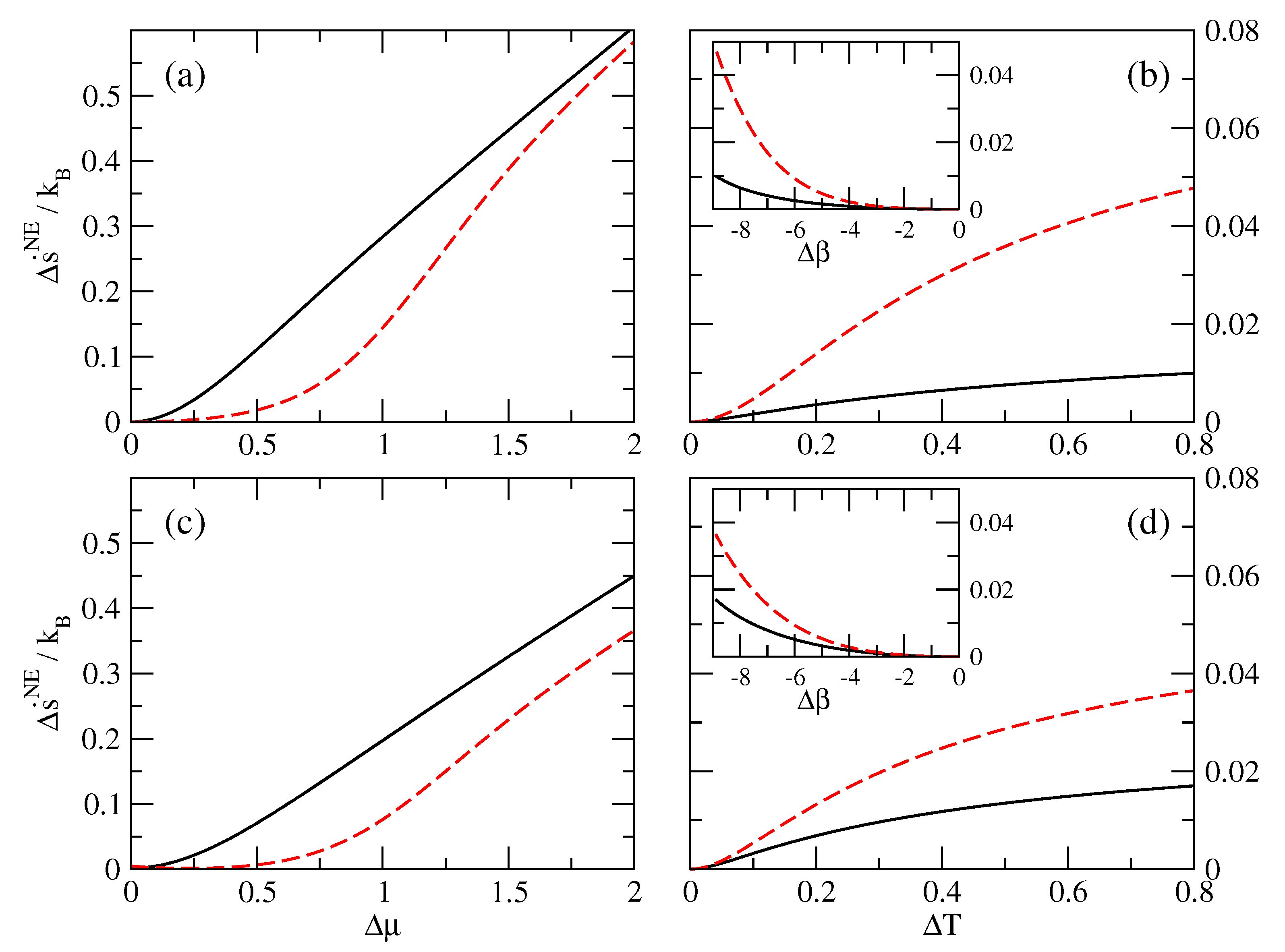
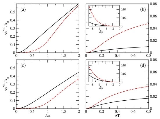
3.2. An Example
4. Nonequilibrium Gibbs–von Neumann Entropies
4.1. Which Density Matrix?
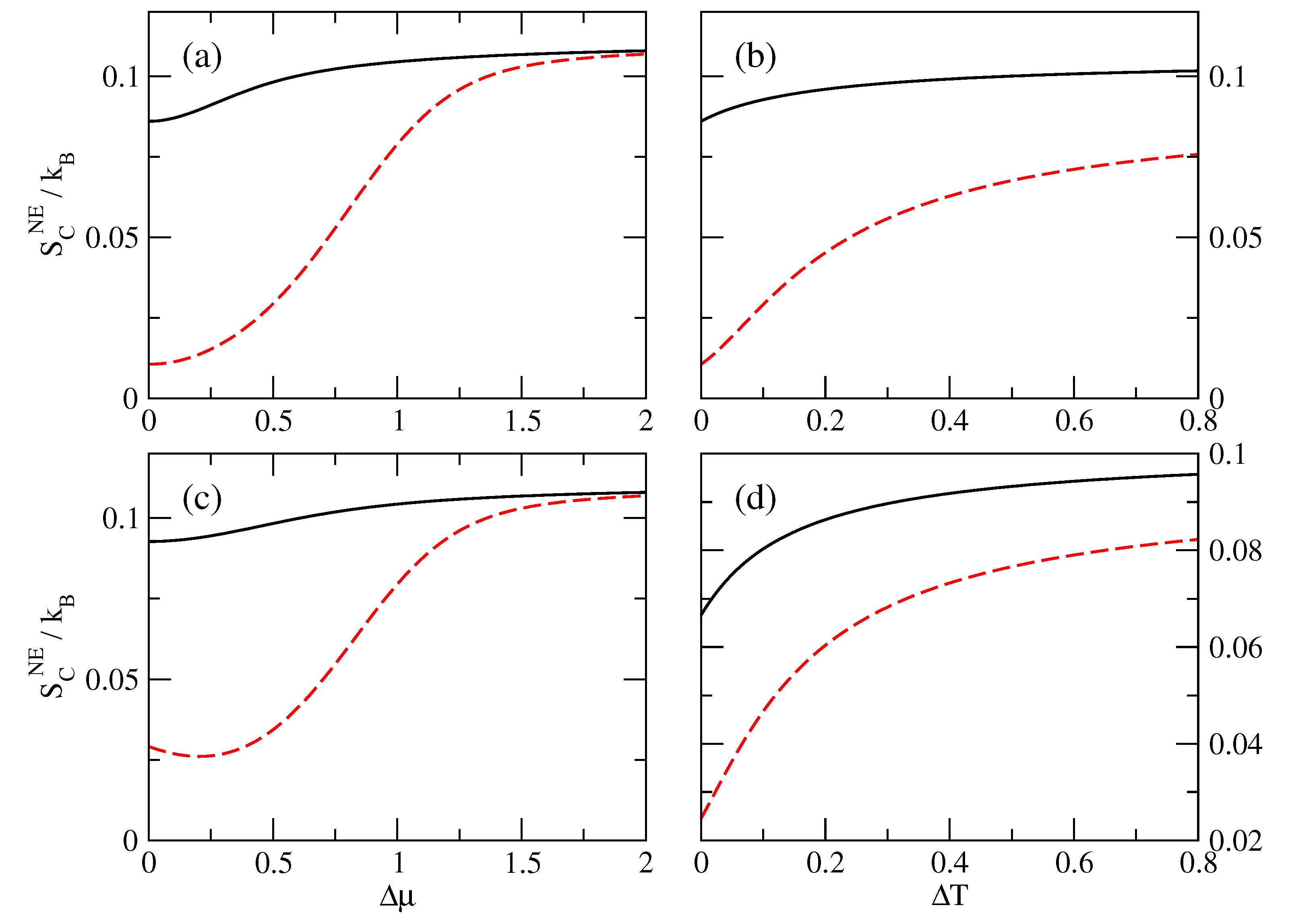
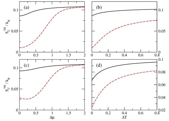
4.2. An Example for the Entropy of the Central Region
5. Discussion
Acknowledgments
Conflicts of Interest
References and Notes
- Spohn, H. Entropy production for quantum dynamical semigroups. J. Math. Phys. 1978, 19, 1227. [Google Scholar] [CrossRef]
- Alicki, R. The quantum open system as a model of the heat engine. J. Phys. A Math. Gen. 1979, 12, L103. [Google Scholar] [CrossRef]
- Allahverdyan, A.E.; Balian, R.; Nieuwenhuizen, T.M. Quantum thermodynamics: Thermodynamics at the nanoscale. J. Mod. Opt. 2004, 51, 2703–2711. [Google Scholar] [CrossRef]
- Davies, E.B. A Model of Heat Conduction. J. Stat. Phys. 1978, 18, 161–170. [Google Scholar] [CrossRef]
- Spohn, H.; Lebovitz, J.L. Irreversible Thermodynamics for Quantum Systems Weakly Coupled to Thermal Reservoirs. Adv. Chem. Phys. 1978, 38, 109–142. [Google Scholar]
- Kosloff, R. Quantum thermodynamics: A dynamical viewpoint. Entropy 2013, 15, 2100–2128. [Google Scholar] [CrossRef]
- Campisi, M.; Talkner, P.; Hänggi, P. Thermodynamics and fluctuation theorems for a strongly coupled open quantum system: An exactly solvable case. J. Phys. A Math. Theor. 2009, 42, 392002. [Google Scholar] [CrossRef]
- Deffner, S.; Lutz, E. Nonequilibrium Entropy Production for Open Quantum Systems. Phys. Rev. Lett. 2011, 107, 140404. [Google Scholar] [CrossRef] [PubMed]
- Ajisaka, S.; Barra, F.; Mejía-Monasterio, C.; Prosen, T. Nonequlibrium particle and energy currents in quantum chains connected to mesoscopic Fermi reservoirs. Phys. Rev. B 2012, 86, 125111. [Google Scholar] [CrossRef]
- Ludovico, M.F.; Lim, J.S.; Moskalets, M.; Arrachea, L.; Sánchez, D. Dynamical energy transfer in ac-driven quantum systems. Phys. Rev. B 2014, 89, 161306. [Google Scholar] [CrossRef]
- Esposito, M.; Ochoa, M.A.; Galperin, M. Quantum Thermodynamics: A Nonequilibrium Green’s Function Approach. Phys. Rev. Lett. 2015, 14, 080602. [Google Scholar] [CrossRef] [PubMed]
- Topp, G.E.; Brandes, T.; Schaller, G. Steady-state thermodynamics of non-interacting transport beyond weak coupling. Europhys. Lett. 2015, 110, 67003. [Google Scholar] [CrossRef]
- Bruch, A.; Thomas, M.; Kusminskiy, S.V.; von Oppen, F.; Nitzan, A. Quantum thermodynamics of the driven resonant level model. Phys. Rev. B 2016, 93, 115318. [Google Scholar] [CrossRef]
- Solano-Carrillo, E.; Millis, A.J. Theory of entropy production in quantum many-body systems. Phys. Rev. B 2016, 93, 224305. [Google Scholar] [CrossRef]
- Ludovico, M.F.; Moskalets, M.; Arrachea, L.; Sánchez, D. Periodic Energy Transport and Entropy Production in Quantum Electronics. Entropy 2016, 18, 419. [Google Scholar] [CrossRef]
- McLennan, J.A. Statistical Mechanics of the Steady State. Phys. Rev. 1959, 115, 1405. [Google Scholar] [CrossRef]
- Zubarev, D.N. Nonequilibrium Statistical Thermodynamics; Consultants Bureau: New York, NY, USA, 1974. [Google Scholar]
- Zubarev, D.N. Nonequilibrium statistical operator as a generalization of Gibbs distribution for nonequilibrium case. Condens. Matter Phys. 1994, 4, 7. [Google Scholar] [CrossRef]
- Zubarev, D.N.; Morozov, V.; Röpke, G. Statistical Mechanics of Nonequilibrium Processes. Volume 1: Basic Concepts, Kinetic Theory; Akamedie Verlag: Berlin, Germany, 1996. [Google Scholar]
- Zubarev, D.N.; Morozov, V.; Röpke, G. Statistical Mechanics of Nonequilibrium Processes. Volume 2: Relaxation and Hydrodynamic Processes; Akamedie Verlag: Berlin, Germany, 1997. [Google Scholar]
- Morozov, V.G.; Röpke, G. Zubarev’s method of a nonequilibrium statistical operator and some challenges in the theory of irreversible processes. Condens. Matter Phys. 1998, 1, 673. [Google Scholar] [CrossRef]
- Ness, H.; Dash, L.K. Non-equilibrium charge susceptibility and dynamical conductance: Identification of scattering processes in quantum transport. Phys. Rev. Lett. 2012, 108, 126401. [Google Scholar] [CrossRef] [PubMed]
- Ruelle, D. Natural Nonequilibrium States in Quantum Statistical Mechanics. J. Stat. Phys. 2000, 98, 57. [Google Scholar] [CrossRef]
- Tasaki, S.; Matsui, T. Fundamental Aspects of Quantum Physics: Proceedings of the Japan-Italy Joint Workshop on Quantum Open Systems, Quantum Chaos and Quantum Measurement; World Scientific Publishing Co Pte Ltd.: Singapore, 2003; p. 100. [Google Scholar]
- Fröhlich, J.; Merkli, M.; Ueltschi, D. Dissipative Transport: Thermal Contacts and Tunnelling Junctions. Annales Henri Poincaré 2003, 4, 897–945. [Google Scholar] [CrossRef]
- Tasaki, S.; Takahashi, J. Nonequilibrium Steady States and MacLennan-Zubarev Ensembles in a Quantum Junction System. Prog. Theor. Phys. 2006, 165, 57. [Google Scholar] [CrossRef]
- Maes, C.; Netočný, K. Rigorous meaning of McLennan ensembles. J. Math. Phys. 2010, 51, 015219. [Google Scholar] [CrossRef]
- Tasaki, S.; Ajisaka, S.; Barra, F. Quantum statistical mechanics in infinitely extended systems (C* algebraic approach). Bussei Kenkyu 2011, 97, 483. [Google Scholar]
- Moldoveanu, V.; Cornean, H.D.; Pillet, C.-A. Nonequilibrium steady states for interacting open systems: Exact results. Phys. Rev. B 2011, 84, 075464. [Google Scholar] [CrossRef]
- Cornean, H.D.; Moldoveanu, V. On the cotunneling regime of interacting quantum dots. J. Phys. A Math. Theor. 2011, 44, 305002. [Google Scholar] [CrossRef]
- Cornean, H.D.; Moldoveanu, V.; Pillet, C.-A. On the Steady State Correlation Functions of Open Interacting Systems. Commun. Math. Phys. 2014, 331, 261–295. [Google Scholar] [CrossRef]
- Ojima, I. Entropy production and nonequilibirum stationarity in quantum dynamical systems. Physical Meaning of the van Hove limit. J. Stat. Phys. 1989, 56, 203–226. [Google Scholar] [CrossRef]
- Cornean, H.D.; Duclos, P.; Nenciu, G.; Purice, R. Adiabatically switched-on electrical bias and the Landauer-Büttiker formula. J. Math. Phys. 2008, 49, 102106. [Google Scholar] [CrossRef]
- Ness, H. Nonequilibrium density matrix in quantum open systems: Generalization for simultaneous heat and charge steady-state transport. Phys. Rev. E 2014, 90, 602119. [Google Scholar] [CrossRef] [PubMed]
- Fujii, T. Nonequilibrium Kubo Formula of Finite Conductor Connected to Reservoirs based on Keldysh Formalism. J. Phys. Soc. Jpn. 2007, 76, 044709. [Google Scholar] [CrossRef]
- Doyon, B.; Andrei, N. Universal aspects of nonequilibrium currents in a quantum dot. Phys. Rev. B 2006, 73, 245326. [Google Scholar] [CrossRef]
- Gelin, M.F.; Kosov, D.S. Asymptotic non-equilibrium steady state operators. Phys. Rev. E 2009, 80, 022101. [Google Scholar] [CrossRef] [PubMed]
- Hershfield, S. Reformulation of Steady State Nonequilibrium Quantum Statistical Mechanics. Phys. Rev. Lett. 1993, 70, 2134. [Google Scholar] [CrossRef] [PubMed]
- Hyldgaard, P. Nonequilibrium thermodynamics of interacting tunneling transport: variational grand potential and nature of forces. J. Phys. Condens. Matter 2012, 24, 424219. [Google Scholar] [CrossRef] [PubMed]
- Bernard, D.; Doyon, B. Time-reversal symmetry and fluctuation relations in non-equilibrium quantum steady states. J. Phys. A Math. Theor. 2013, 46, 372001. [Google Scholar] [CrossRef]
- Gell-Mann, M.; Goldberger, M.L. The Formal Theory of Scattering. Phys. Rev. 1953, 91, 398. [Google Scholar] [CrossRef]
- Akhiezer, A.I.; Peletminskii, S.V. Methods of Statistical Physics; Pergamon Press: Oxford, UK, 1981. [Google Scholar]
- Bohm, A. Quantum Mechanics: Foundations and Applications; Springer: Berlin, Germany, 1993. [Google Scholar]
- Baute, A.D.; Egusquiza, I.L.; Muga, J.G. Moeller operators and Lippmann–Schwinger equations for steplike potentials. J. Phys. A Math. Gen. 2001, 34, 5341. [Google Scholar] [CrossRef]
- It is known from quantum transport theory [70] that, in the steady state, the currents at the L/C and C/R interfaces are equal to each other (up to the proper sign convention). Hence any linear combination of the type J = aJL − bJR (with a + b = 1) can be used. It is then possible to transfrom Equation (6) into a form similar to Equation (10), i.e., ρNE ∝ by using any linear combination of the type Q = aNL − (1 − a)NR and E = aHL − (1 − a)HR with a ∈ [0, 1]. Simple mathematical manipulations show that Δμ = βLμL − βRμR and Δβ = βL − βR, as in Equation (10), and that = (1 − a)βL + aβR and = (1 − a)βLμL + aβRμR. Obviously, for a = 1/2, one recovers the expected Equation (10).
- In Appendix A of [34], we have demonstrated the intertwining relation HΩ(+) = Ω(+)H0. Following the same steps, we can also show that NΩ(+) = Ω(+)N when one assumes that the total number of electron operator N commutes with the Hamiltonian H. Hence we have not only [Hα,Nβ] = 0 but also [H,∑β Nβ] = 0. In other words, the total number of electron is conserved and [W, NL + NC + NR] = 0, implying to all the electrons coming out (in) the reservoirs are going in (out) the central region C.
- Velický, B.; Kalvová, A.; Špička, V. Correlated Initial Condition for an Embedded Process by Time Partitioning. Phys. Rev. B 2010, 81, 235116. [Google Scholar] [CrossRef]
- Such a fact may not appear as a rigorous mathematical derivation, however it is known that the steady state does not dependent of the initial choice of ρ0. Furthermore, one could note that another splitting of the total Hamiltonian H can be used to reduce the complexity of the expressions for the NE density matrix. In an earlier work [34], we considered splitting the Hamiltonian H into H0 + W where H0 is only H0 = HL + HR, hence the initial density matrix is only the direct product ρ0 = ρL ⊗ ρR, and the expected form of the NE density matrix is obtained. A difference however occurs in the construction of the Y operators given in Equation (13). In the present work, the operator W does not include HC while it does in [34]. In the calculation of the Gibbs-like entropy in the central region, one deals with products of terms including ρ()lnρC. The asymptotic operator ρ() can be expanded in a series of from the series expansion of Moeller operators. Hence leading to a series of terms in lnρC. By considering that initially the central region (of finite size) is fully isolate, there cannot be any partial occupation of the electronic levels, and hence the terms lnρC expressed in the basis set of the central region will lead to the evaluation of either 1nln1 or 0nln0. This obviously leads to a zero contribution to the entropy, and therefore the terms in ρ() in the density matrix can be ignored.
- Ness, H. Nonequilibrium density matrix for quantum transport: Hershfield approach as a McLennan Zubarev form of the statistical operator. Phys. Rev. E 2013, 88, 022121. [Google Scholar] [CrossRef] [PubMed]
- Sierra, M.A.; Sánchez, D. Nonlinear heat conduction in Coulomb-blockaded quantum dots. Mater. Today Proc. 2015, 2, 483–490. [Google Scholar] [CrossRef]
- Peletminskii, S.V.; Prikhod’ko, V.I. Method of asymptotic operators in Statistical Mechanics. I. Stationary Homogeneous States. Theor. Math. Phys. 1972, 12, 680. [Google Scholar] [CrossRef]
- Similar results for the entropy production rate or for the Gibbs–von Neumann entropy have been also derived or used in Refs. [10,11,12,13,14]. A critical analysis of the results in [10,13] has been given in [71,72]. In [11], no expression for the entropy production rate was given while its expression for the Gibbs–von Neumann entropy differs significantly from Equation (23) due to the different time-dependent conditions. In the present paper, we do not consider that the central system is driven by an external time-dependent driving force. In [12] only the assumed standard definition for heat flux is used and hence Equation (15) follows automatically. Finally, only weak coupling regime was considered in [14].
- Han, J.E. Quantum simulation of many-body effects in steady-state nonequilibrium: Electron-phonon coupling in quantum dots. Phys. Rev. B 2006, 73, 125319. [Google Scholar] [CrossRef]
- Han, J.E. Mapping of strongly correlated steady-state nonequilibrium system to an effective equilibrium. Phys. Rev. B 2007, 75, 125122. [Google Scholar] [CrossRef]
- Han, J.E.; Heary, R.J. Imaginary-Time Formulation of Steady-State Nonequilibrium: Application to Strongly Correlated Transport. Phys. Rev. Lett. 2007, 99, 236808. [Google Scholar] [CrossRef] [PubMed]
- Han, J.E. Nonequilibrium electron transport in strongly correlated molecular junctions. Phys. Rev. B 2010, 81, 113106. [Google Scholar] [CrossRef]
- Han, J.E. Imaginary-time formulation of steady-state nonequilibrium in quantum dot models. Phys. Rev. B 2010, 81, 245107. [Google Scholar] [CrossRef]
- Han, J.E.; Dirks, A.; Pruschke, T. Imaginary-time quantum many-body theory out of equilibrium: Formal equivalence to Keldysh real-time theory and calculation of static properties. Phys. Rev. B 2012, 86, 155130. [Google Scholar] [CrossRef]
- Schiller, A.; Hershfield, S. Exactly solvable nonequilibrium Kondo problem. Phys. Rev. B 1995, 51, 12896. [Google Scholar] [CrossRef]
- Schiller, A.; Hershfield, S. Toulouse limit for the nonequilibrium Kondo impurity: Currents, noise spectra, and magnetic properties. Phys. Rev. B 1998, 58, 14978. [Google Scholar] [CrossRef]
- Dash, L.K.; Ness, H.; Godby, R.W. Non-equilibrium electronic structure of interacting single-molecule nanojunctions: vertex corrections and polarization effects for the electron-vibron coupling. J. Chem. Phys. 2010, 132, 104113. [Google Scholar] [CrossRef] [PubMed]
- Ness, H.; Dash, L.K.; Godby, R.W. Generalization and applicability of the Landauer formula for non-equilibrium current in the presence of interactions. Phys. Rev. B 2010, 82, 085426. [Google Scholar] [CrossRef]
- Dash, L.K.; Ness, H.; Godby, R.W. Non-equilibrium inelastic electronic transport: Polarization effects and vertex corrections to the self-consistent Born approximation. Phys. Rev. B 2011, 84, 085433. [Google Scholar] [CrossRef]
- Ness, H.; Dash, L.K. Nonequilibrium quantum transport in fully interacting single-molecule junctions. Phys. Rev. B 2011, 84, 235428. [Google Scholar] [CrossRef]
- Dash, L.K.; Ness, H.; Verstraete, M.; Godby, R.W. Functionality in single-molecule devices: Model calculations and applications of the inelastic electron tunneling signal in molecular junctions. J. Chem. Phys. 2012, 136, 064708. [Google Scholar] [CrossRef] [PubMed]
- Ness, H. Nonequilibrium distribution functions for quantum transport: Universality and approximation for the steady state regime. Phys. Rev. B 2014, 89, 045409. [Google Scholar] [CrossRef]
- Ness, H.; Dash, L.K. Nonequilibrium fluctuation-dissipation relations for one- and two-particle correlation functions in steady-state quantum transport. J. Chem. Phys. 2014, 140, 144106. [Google Scholar] [CrossRef] [PubMed]
- Penrose, O. Foundations of statistical mechanics. Rep. Prog. Phys. 1979, 42, 1937–2006. [Google Scholar] [CrossRef]
- Maroney, O.J.E. The Physical Basis of the Gibbs-von Neumann Entropy. arXiv, 2007; arXiv:quant-ph/0701127v2. [Google Scholar]
- Haug, W.; Jauho, A.-P. Quantum Kinetics in Transport and Optics of Semi-Conductors; Springer: Berlin, Germany, 1996; Chapter 12.4. [Google Scholar]
- Esposito, M.; Ochoa, M.A.; Galperin, M. Nature of Heat in Strongly Coupled Open Quantum Systems. Phys. Rev. B 2015, 92, 235440. [Google Scholar] [CrossRef]
- Ochoa, M.A.; Bruch, A.; Nitzan, A. Energy Distribution and Local Fluctuations in Strongly Coupled Open Quantum Systems: The Extended Resonant Level Model. Phys. Rev. B 2016, 94, 035420. [Google Scholar] [CrossRef]




© 2017 by the author. Licensee MDPI, Basel, Switzerland. This article is an open access article distributed under the terms and conditions of the Creative Commons Attribution (CC BY) license (http://creativecommons.org/licenses/by/4.0/).
Share and Cite
Ness, H. Nonequilibrium Thermodynamics and Steady State Density Matrix for Quantum Open Systems. Entropy 2017, 19, 158. https://doi.org/10.3390/e19040158
Ness H. Nonequilibrium Thermodynamics and Steady State Density Matrix for Quantum Open Systems. Entropy. 2017; 19(4):158. https://doi.org/10.3390/e19040158
Chicago/Turabian StyleNess, Hervé. 2017. "Nonequilibrium Thermodynamics and Steady State Density Matrix for Quantum Open Systems" Entropy 19, no. 4: 158. https://doi.org/10.3390/e19040158
APA StyleNess, H. (2017). Nonequilibrium Thermodynamics and Steady State Density Matrix for Quantum Open Systems. Entropy, 19(4), 158. https://doi.org/10.3390/e19040158
