A Thermodynamic Entropy Approach to Reliability Assessment with Applications to Corrosion Fatigue
Abstract
:1. Introduction
2. Entropy Generation and Damage

Fundamentals of Irreversible Thermodynamics
3. Entropic-Based Damage in Corrosion Fatigue

3.1. Activation Overpotential
3.2. Ohmic Overpotential
3.3. Diffusion Losses
3.4. Mechanical Losses
3.5. Total Entropy Generation during Corrosion Fatigue
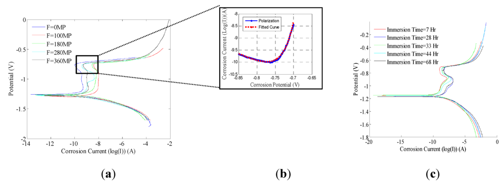
4. Materials and Experimental Procedures




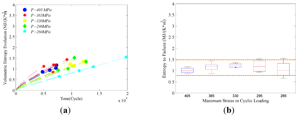
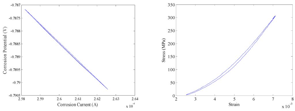
5. Quantification of Entropy in Corrosion Fatigue




6. Entropic-Based Reliability Assessment


7. Conclusions
Acknowledgments
Author Contributions
Conflicts of Interest
Nomenclature
| Parameter | Unit | Description |
| J | Chemical affinity (i = 1, 2, ...) | |
| v | Electrochemical affinity of oxidation reaction | |
| v | Electrochemical affinity of reduction reaction | |
| Unitless | Damage | |
| d | Unitless | Superscript for dissipative part of the entropy |
| Unitless | Damage threshold | |
| (J K−1) | Variation of exchange entropy | |
| (J K−1) | Variation of dissipative entropy | |
| v | Applied overpotential | |
| v | Electrode open circuit potential | |
| v | Anodic overpotential for oxidation reaction | |
| v | Cathodic overpotential for oxidation reaction | |
| v | Anodic overpotential for reduction reaction | |
| v | Cathodic overpotential for reduction reaction | |
| v | Concentration overpotential for cathodic oxidation | |
| v | Concentration overpotential for cathodic reduction | |
| e | Unitless | Superscript for exchange part of the entropy |
| C mol−1 | Faraday’s constant | |
| A | Electrical current | |
| J K−1 m−2 s−1 | Total entropy flow per unit area per unit time | |
| W m−2 | Heat flux | |
| mol m−2 s−1 | Diffusion flux | |
| A | Irreversible flux of anodic half-reaction of oxidation | |
| A | Irreversible flux of cathodic half-reaction of oxidation | |
| A | Irreversible flux of anodic half-reaction of reduction | |
| A | Irreversible flux of cathodic half-reaction of reduction | |
| Cycle | Number of fatigue load cycles | |
| mol m−3 | Molar number per unit volume | |
| P | Pa | Maximum stress in cyclic load-unload |
| Unitless | Probability | |
| J K−1 | Entropy | |
| J kg−1 K−1 | Specific entropy | |
| K | Temperature | |
| Cycle | Endurance level | |
| s | Time random variable | |
| u | Jm−3 | Specific energy |
| m3 | Volume element | |
| m3 mol−1 | Molar volume | |
| v | Unitless | Specific volume |
| mol s−1 | Chemical reaction rate | |
| Unitless | Number of moles of electrons exchanged in the oxidation process | |
| Unitless | Number of moles of electrons exchanged in the reduction process | |
| Unitless | Charge transport coefficient for the oxidation process | |
| Unitless | Charge transport coefficient for the reduction process | |
| J m−3 K−1 | Volumetric entropy | |
| J m−3 K−1 | Volumetric entropy generation | |
| J m−3 K−1 | Entropic-endurance | |
| Unitless | Plastic strain | |
| Cycle | Distribution parameter | |
| J mol−1 | Chemical potential | |
| J mol−1 | Electrochemical potential | |
| kg m−3 | Density | |
| σ | J m−3 K−1 | Entropy generation per unit volume per unit time |
| J m−3 K−1 | Entropy generation due to activation losses per unit volume per unit time | |
| J m−3 K−1 | Entropy generation due to concentration losses per unit volume per unit time | |
| J m−3 K−1 | Entropy generation due to Ohmic losses per unit volume per unit time | |
| Pa | Stress tensor | |
| Pa | Hydrostatic part of the stress | |
| Unitless | Stoichiometric coefficient | |
| v | Potential of the external field |
References
- Lebon, G.; Jou, D.; Casas-Vázquez, J. Understanding Non-Equilibrium; Springer: Berlin, Germany, 2008. [Google Scholar]
- Amiri, M.; Modarres, M. An Entropy-Based Damage Characterization. Entropy 2014, 16, 6434–6463. [Google Scholar] [CrossRef]
- Lemaitre, J. A Course on Damage Mechanics; Springer: Berlin, Germany, 1996. [Google Scholar]
- Arson, C. Poromechanics of Damage and Healing: A Philosophy of the Mesoscale; Newsletter of ASCE Engineering Mechanics Institute: Reston, VA, USA, 2012. [Google Scholar]
- Birnbaum, H.K. Mechanisms of Hydrogen Related Fracture of Metals. In Environment Induced Cracking of Metals, Proceedings of the First International Conference on Environment-Induced Cracking of Metals; Gangloff, R.P., Ives, M.B., Eds.; NACE: Houston, TX, USA, 1990; pp. 21–29. [Google Scholar]
- Duquette, D. Corrosion Fatigue Crack Initiation Processes: A State of the Art Review. In Environment Induced Cracking of Metals, Proceedings of the First International Conference on Environment-Induced Cracking of Metals; Gangloff, R.P., Ives, M.B., Eds.; NACE: Houston, TX, USA, 1990; pp. 45–53. [Google Scholar]
- Sieradzki, K. Atomistic & Microchemical Aspects of Environment Induced Cracking of Metals. In Environment Induced Cracking of Metals, Proceedings of the First International Conference on Environment-Induced Cracking of Metals; Gangloff, R.P., Ives, M.B., Eds.; NACE: Houston, TX, USA, 1990; pp. 125–137. [Google Scholar]
- Tang, H.; Basaran, C.A. Damage Mechanics Based Fatigue Life Prediction Model for Solder Joints. Trans. ASME J. Electron. Packag. 2003, 125, 120–125. [Google Scholar] [CrossRef]
- Prigogine, I. Introduction to Thermodynamics of Irreversible Processes; Interscience: New York, NY, USA, 1961. [Google Scholar]
- Onsager, L. Reciprocal Relations in Irreversible Processes. J. Phys. 1931, 37, 2265–2279. [Google Scholar] [CrossRef]
- de Groot, S.R.; Mazur, P. Non-Equilibrium Thermodynamics; Wiley: New York, NY, USA, 1962. [Google Scholar]
- Martyushev, L.M.; Seleznev, V.D. Maximum Entropy Production Principle in Physics. J. Chem. Biol. 2006, 426, 1–45. [Google Scholar]
- Weertman, J. Elementary Dislocation Theory; Oxford University Press: New York, NY, USA, 1992. [Google Scholar]
- Gutman, E. Mechanochemistry of Materials; Cambridge International Science Publishing: Cambridge, UK, 1998. [Google Scholar]
- Lu, B.; Luo, J. Synergism of Electrochemical and Mechanical Factors in Erosion-Corrosion. J. Phys. Chem. 2006, 110, 4217–4231. [Google Scholar] [CrossRef] [PubMed]
- Amiri, M.; Khonsari, M. On the Thermodynamics of Friction and Wear—A Review. Entropy 2010, 12, 1021–1049. [Google Scholar] [CrossRef]
- Abdel-Aal, H. On the Interdependence between Kinetics of Friction-Released Thermal Energy and the Transition in Wear Mechanisms During Sliding of Metallic Pairs. J. Wear 2003, 254, 884–900. [Google Scholar] [CrossRef]
- Klamecki, B.E. An Entropy Based Model of Plastic Deformation Energy Dissipation in Sliding. J. Wear 1984, 96, 319–329. [Google Scholar] [CrossRef]
- Doelling, K.L.; Ling, F.F.; Bryant, M.D.; Heilman, B.P. An Experimental Study of the Correlation between Wear and Entropy Flow in Machinery Components. J. Appl. Phys. 2000, 88, 2999–3003. [Google Scholar] [CrossRef]
- Maugis, D. Contact, Adhesion, and Rupture of Elastic Solids; Springer: Berlin, Germany, 2000. [Google Scholar]
- Naderi, M.; Amiri, M.; Khonsari, M. On the Thermodynamic Entropy of Fatigue Fracture. Process. R. Soc. 2010, 466, 423–438. [Google Scholar] [CrossRef]
- Leff, H.S. Removing the Mystery of Entropy and Thermodynamics—Part V. J. The Physics Teacher 2012, 50, 274–276. [Google Scholar] [CrossRef]
- Basaran, C.; Yan, C.A. Thermodynamic Framework for Damage Mechanics of Solder Joints. J. Electron. Packag. Trans. ASME 1998, 120, 379–384. [Google Scholar] [CrossRef]
- Ontiveros, V.L. Strain Energy and Thermodynamic Entropy as Prognastic Measure of Crack Initiation in Aluminum. Ph.D. Dissertation, Uiversity of Maryland, Maryland, USA, 2013. [Google Scholar]
- Amiri, M.; Khonsari, M. On the Role of Entropy Generation in Processes Involving Fatigue. Entropy 2012, 14, 24–31. [Google Scholar] [CrossRef]
- Whaley, P.W.; Chen, P.; Smith, G.M. Continuous Measurement of Material Damping During Fatigue Tests. J. Exp. Mech. 1984, 24, 342–348. [Google Scholar] [CrossRef]
- Uhlig, H.; Revie, R. Corrosion and Corrosion Control, 3rd ed.; Wiley: New York, NY, USA, 1985. [Google Scholar]
- Li, S.; Basaran, C.A. Computational Damage Mechanics Model for Thermomigration. J. Mech. Mater. 2009, 41, 271–278. [Google Scholar] [CrossRef]
- Nosonovsky, M.; Bhushan, B. Thermodynamics of Surface Degradation, Self-Organization, and Self-Healing for Biomimetic Surfaces. Philos. Trans. 2009, 367, 1607–1627. [Google Scholar] [CrossRef] [PubMed]
- Abdel-Aal, H. On the Role of Intrinsic Material Response in Failure of Tribo Systems. J. Wear 2005, 259, 1372–1381. [Google Scholar] [CrossRef]
- DuQuesnay, D.L.; Underhill, P.R.; Britt, H.J. Fatigue Crack Growth from Corrosion Fatigue in 7075-T6511 Aluminum Alloy under Aircraft Loading. Int. J. Fatigue 2003, 25, 371–377. [Google Scholar] [CrossRef]
- Hoeppner, D.W. Parameters that Input to Application of Damage Tolerance Concepts to Critical Engine Components. In Proceedings of the AGARD Conference, San Antonio, TX, USA, April 1985.
- Arriscorreta, C.A. Statistical Modeling for the Corrosion Fatigue of Aluminum Alloys 7075-T6 and 2024-T3. Ph.D. Dissertation, University of Utah, Utah, USA, 2012. [Google Scholar]
- Kondo, Y. Prediction of Fatigue Crack Initiation Life Based on Pit Growth. J. Corros. Sci. 1989, 45, 7–11. [Google Scholar] [CrossRef]
- Lindley, T.C.; McIntyre, P.; Trant, P.J. Fatigue Crack Initiation at Corrosion Pits. J. Metals Technol. 1982, 9, 135–142. [Google Scholar] [CrossRef]
- Hoeppner, D.W. Model for Prediction of Fatigue Lives Based Upon a Pitting Corrosion Fatigue Process. In Fatigue Mechanisms, Proceeding of an ASTM NBS-NSF Symposium, Kansas City, MO, USA, 22–24 May 1978; Fong, J.T., Ed.; American Society for Testing and Materials: Philadelphia, USA, 1979; pp. 841–870. [Google Scholar]
- Harlow, D.G.; Wei, R.P. Probability Approach for Prediction of Corrosion and Corrosion Fatigue Life. AIAA J. 1994, 32, 2073–2082. [Google Scholar]
- Atkinson, J.D.; Yu, J.; Chen, Z.Y.; Zhao, Z.J. Modeling of Corrosion Fatigue Crack Growth Plateux for RPV Steels in High Temperature Water. J. Nucl. Eng. Des. 1998, 184, 13–25. [Google Scholar] [CrossRef]
- Hoeppner, D.W.; Chandrasekaran, V.; Taylor, A. Review of Pitting Corrosion Fatigue Model. In Proceedings of the 20th ICAF Symposium, Structural Integrity for the Next Millenium, Dayton, OH, USA, July, 2000.
- Rong, W. A Fracture Model of Corrosion Fatigue Crack Propagation of Aluminum Alloys Based on the Material Elements Fracture Ahead of a Crack Tip. Int. J. Fatigue 2008, 30, 1376–1386. [Google Scholar]
- Chen, G.S.; Wan, K.-C.; Gao, M.; Wei, R.P.; Flournoy, T.H. Transition from Pitting to Fatigue Crack Growth—Modeling of Corrosion Fatigue Crack Nucleation in a 2024-T3 Aluminum Alloy. J. Mater. Sci. Eng. 1996, 219, 126–132. [Google Scholar] [CrossRef]
- Shi, P.; Mahadevan, S. Damage Tolerance Approach for Probabilistic Pitting Corrosion Fatigue Life Prediction. J. Eng. Fract. Mech. 2001, 68, 1493–1507. [Google Scholar] [CrossRef]
- Sankaran, K.; Perez, R.; Jata, K.V. Effects of Pitting Corrosion on the Fatigue Behavior of Aluminum Alloy 7075-T6: Modeling and Experimental Studies. J. Mater. Sci. Eng. 2001, 297, 223–229. [Google Scholar] [CrossRef]
- Gibbs, J.W. The Scientific Papers of J. Williard Gibbs; Ox Bow Press: Woodbridge, ON, Canada, 1993; Volume 1. [Google Scholar]
- Ziegler, H. An Introduction to Thermomechanics; North-Holland: Amesterdam, The Netherlands, 1983. [Google Scholar]
- Lemaitre, J.; Chaboche, J.L. Mechanics of Solid Materials; Cambridge University Press: Cambridge, United Kingdom, 2002. [Google Scholar]
- Bridgman, P.W. The Nature of Thermodynamics; Harvard University Press: Cambridge, UK, 1941. [Google Scholar]
- Kondepudi, D.; Prigogine, I. Modern Thermodynamics: From Heat Engines to Dissipative Structures; Wiley: New York, NY, USA, 1998. [Google Scholar]
- Basaran, C. Implementation of a ThermodynamicFramework for Damage Mechanics of Solder Interconnects in Microelectronics Packaging. Int. J. Damage Mech. 2002, 11, 87–108. [Google Scholar] [CrossRef]
- Basaran, C.; Nie, S.A. Thermodynamics Based Damage Mechanics Model for Particulate Composites. Int. J. Solids Struct. 2007, 44, 1099–1114. [Google Scholar] [CrossRef]
- Basaran, C.; Nie, S. An Irreversible Thermodynamic Theory for Damage Mechanics of Solids. Int. J. Damage Mech. 2004, 13, 205–224. [Google Scholar] [CrossRef]
- Temfack, T.; Basaran, C. Experimental Verification of Thermodynamic Fatigue Life Prediction Model Using Entropy as Damage Metric. J. Mater. Sci. Technol. 2015, 31, 1627–1632. [Google Scholar] [CrossRef]
- Yan, C.Y. A Damage Mechanics Based General Purpose Interface Contact Element. Ph.D. Dissertation, State University of New York at Buffalo, Buffalo, New York, USA, 1997. [Google Scholar]
- Tucker, J.P.; Chan, D.D.K.; Subbarayan, G.G.; Handwerker, C.A. Maximum Entropy Fracture Model and Fatigue Fracture of Mixed SnPb/Sn3.0Ag0.5Cu Solder Alloys. In Proceedings of the 13th IEEE Intersociety Conference on Thermal and Thermomechanical Phenomena in Electronic Systems, San Diego, CA, USA, 30 May–1 June 2012; pp. 870–879.
- Chan, D.; Subbarrayan, G.; Nguyen, L. Maximum-Entropy Principle for Modeling Damage and Fracture in Solder Joints. J. Electron. Mater. 2012, 41, 398–411. [Google Scholar] [CrossRef]
- Shannon, C.E. A Mathematical Theory of Communication. J. Bell Syst. Technol. 1948, 27, 379–423. [Google Scholar] [CrossRef]
- Bowley, R.; Sanchez, M. Introductory Statistical Mechanics, 2nd ed.; Oxford University Press: Oxford, UK, 1999. [Google Scholar]
- Gangloff, R.P. Environmental Cracking Corrosion Fatigue. In Corrosion Tests and Standards: Application and Interpretation, 2nd ed.; Baboian, R., Ed.; ASTM International: West Conshohocken, PA, USA, 2005; pp. 302–321. [Google Scholar]
- Jones, D.A. Principles and Prevention of Corrosion, 2nd ed.; Upper Saddle River: Upper Hall, NJ, USA, 1996. [Google Scholar]
- Seller, M.S.; Schultz, A.J.; Basaran, C.; Kofke, D.A. bSn Grain Boundary Structure and Self-diffusivity via Molecular Dynamics Simulation. J. Phys. Rev. B 2010, 81, 134111. [Google Scholar] [CrossRef]
- Kamoutsi, H.; Haidemenopoulos, G.; Bontozoglou, V.; Pantelakis, S. Corrosion-induced Hydrogen Embrittlement in Aluminum Alloy 2024. Corros. Sci. 2006, 48, 1209–1224. [Google Scholar] [CrossRef]
- Takano, N. Hydrogen Diffusion and Embrittlement in 7075 Aluminum Alloy. Mater. Sci. Eng. A 2008, 483–484, 36–339. [Google Scholar] [CrossRef]
- El-Amoush, A.S. An Investigation of Hydrogen-induced Hardening in 7075-T6 Aluminum Alloy. J. Alloys Compd. 2008, 465, 497–501. [Google Scholar] [CrossRef]
- Qiao, L.J.; Mao, S.X. Thermodynamic Analysis on the Role of Hydrogen in Anodic Stress Corrosion Cracking. J. Acta Metal Mater. 1995, 43, 3989–4001. [Google Scholar] [CrossRef]
- Mao, S.X.; Li, M. Mechanics and Thermodynamics on the Stress and Hydrogen Interaction in Crack Tip Stress Corrosion: Experiment and Theory. J. Mech. Phys. Solids 1998, 46, 1125–1137. [Google Scholar] [CrossRef]
- Gu, B.; Luo, J.; Mao, X. Hydrogen-Facilitated Anodic Dissolution-Type Stress Corrosion Cracking of Pipeline Steels in Near-Neutral pH Solution. Corrosion 1999, 55, 96–106. [Google Scholar] [CrossRef]
- Lu, B.T.; Luo, J.; Norton, P.; Ma, H. Effects of Dissolved Hydrogen and Elastic and Plastic Deformation on Active Dissolution of Pipeline Steel in Anaerobic Groundwater of Near-Neutral pH. Acta Mater. 2009, 57, 41–49. [Google Scholar] [CrossRef]
- Qiao, L.J.; Luo, J.L.; Mao, X. The Role of Hydrogen in the Process of Stress Corrosion Cracking of Pipeline Steels in Dilute Carbonate-Bicarbonate Solution. J. Mater. Sci. Lett. 1997, 16, 516–520. [Google Scholar] [CrossRef]
- Hu, X.; Huang, Z.; Qiao, L.; Chu, W. Effect of Hydrogen and Stress on Anodic Dissolution. J. Chin. Soc. Corros. Prot. 1996, 16, 187. [Google Scholar]
- Sudarshan, T.S.; Louthan, M.R. Gaseous Environment Effect on Fatigue Behaviour of Metals. Int. Mater. Rev. 1987, 32, 121–151. [Google Scholar] [CrossRef]
- Grinberg, N. The Effect of Vacuum on Fatigue Crack Growth. Int. J. Fatigue 1982, 4, 83–95. [Google Scholar] [CrossRef]
- Liu, J.J.; Sun, J.J.; Hu, H.Y.; Xing, X.S. The Life Prediction for Materials under the Corrosion of Seawater. Acta Phys. Sin. 2005, 54, 2414–2417. [Google Scholar]
- Gao, M.; Pao, P.S.; Wei, R.P. Chemical and Metallurgical Aspects of Environmentally Assisted Fatigue Crack Growth in 7075-T651 Aluminum Alloy. J. Metall. Mater. Trans. A 1988, 19, 1739–1750. [Google Scholar] [CrossRef]
- Griffith, A.A. The Phenomena of Rupture and Flow in Solids. Trans. R. Soc. 1921, 221, 163–198. [Google Scholar] [CrossRef]
- Huang, X.G.; Xu, J.Q.; Feng, M.L. Energy Principle of Corrosion Environment Accelerating Crack Propagation During Anodic Dissolution Corrosion Fatigue. J. Shanghai Jiaotong Univ. (Sci.) 2013, 18, 190–196. [Google Scholar] [CrossRef]
- Chun, Y.G.; Pyun, S.I. Crack Closure in the Fatigue Crack Propagation of a Cu-2wt.%Be Alloy in Dry Air and Ammoniacal Solution. Mater. Sci. Eng. 1996, 206, 49–54. [Google Scholar] [CrossRef]
- Romaniv, O.R.; Nikiforchin, G.N.; Andrusiv, N.N. The Effect of Cracks Closure and the Estimation of Cyclic Crack Resistance of Structural Alloys. J. Phys. Chem. Mech. Mater. 1983, 3, 47–61. [Google Scholar]
- Fontea, M.D.; Romeirob, F.; Freitasc, M.D. The Effect of Microstructure and Environment on Fatigue Crack Propagation in 7049 Aluminium Alloy at Negative Stress Ratios. Int. J. Fatigue 2003, 25, 1209–1216. [Google Scholar]
- Gangloff, R.P. Crack Size Effects on the Chemical Driving Force for Aqueous Corrosion Fatigue. Metall. Mater. Trans. 1985, 16, 953–969. [Google Scholar] [CrossRef]
- Bruck, H.A.; McNeill, S.R.; Sutton, M.A.; Iii, W.H.P. Digital Image Correlation Using Newton-Raphson Method of Partial Differential Correction. Exp. Mech. 1989, 29, 261–267. [Google Scholar] [CrossRef]
- Alexopoulos, N.D.; Papanikos, P. Experimental and Theoretical Studies of Corrosion-Induced Mechanical Properties Degradation of Aircraft 2024 Aluminum Alloy. J. Mater. Sci. Eng. 2008, 498, 248–257. [Google Scholar] [CrossRef]
- Smetanin, M.; Denga, Q.; Weissmu, J.R. Dynamic Electro-Chemo-Mechanical Analysis During Cyclic Voltammetry. J. Phys. Chem. 2011, 13, 17313–17322. [Google Scholar] [CrossRef] [PubMed][Green Version]
- Valincius, G. Electrocapillary Equations of Solid Electrodes. J. Electroanal. Chem. 1999, 478, 40–49. [Google Scholar] [CrossRef]
- Sahal, M.; Creus, J.; Sabot, R.; Feaugas, X. The Effects of Dislocation Patterns on the Dissolution Process of Polycrystalline Nickel. J. Acta Mater. 2006, 54, 2157–2167. [Google Scholar] [CrossRef]
- Ieong, M.; Doris, B.; Kedzierski, J.; Rim, K.; Yang, M. Silicon Device Scaling to the Sub-10-nm Regime. J. Sci. 2004, 306, 2057–2060. [Google Scholar] [CrossRef] [PubMed]
- Choi, Y.S.; Numata, T.; Nishida, T.; Harris, R.; Thompson, S.E. Impact of Mechanical Stress on Gate Tunneling Currents of Germanium Silicon P-Type Metal-Oxide-Semiconductor Field-Effect Transistors and Metal Gate Work Function. J. Appl. Phys. 2008, 103, 064510. [Google Scholar] [CrossRef]
- Larché, F.; Cahn, J.W. The Effect of Self-Stress on Diffusion in Solids. J. Acta Met. 1982, 30, 1835–1845. [Google Scholar] [CrossRef]
- Larché, F.C.; Cahn, J.W. The Interactions of Composition and Stress in Crystalline Solids. J. Acta Met. 1985, 33, 331–357. [Google Scholar] [CrossRef]
- Stashchuk, M.H. Stress-Induced Cathodic and Anodic Regions on the Boundary between an Elliptic Hole and a Medium. J. Mater. Sci. 2011, 46, 36–54. [Google Scholar] [CrossRef]
- Xiao, J.; Chaudhuri, S. Predictive Modeling of Localized Corrosion: An Application to Aluminum Alloys. J. Electrochimica Acta 2011, 56, 5630–5641. [Google Scholar] [CrossRef]
- Birbilis, N.; Buchheit, R.G. Electrochemical Characteristics of Intermetallic Phases in Aluminum Alloys An Experimental Survey and Discussion. J. Electrochem. Soc. 2005, 152, 140–151. [Google Scholar] [CrossRef]
- Pao, P.; Feng, C.; Gill, S. Corrosion Fatigue Crack Initiation in Aluminum Alloys 7075 and 7050. J. Corros. 2000, 10, 1022–1032. [Google Scholar] [CrossRef]
- Costa-Matto, H.D.; Pacheco, P. Non-Isothermal Low-Cycle Fatigue Analysis of Elasto-Viscoplastic Materials. Mech. Res. Commun. 2009, 36, 428–436. [Google Scholar] [CrossRef]
- Manson, S.S. Thermal Stress and Low Cycle Fatigue; McGraw-Hill: New York, NY, USA, 1996. [Google Scholar]
- Whaley, P.W. A Thermodynamic Approach to Metal Fatigue. In Proceedings of the ASME International Conference in Advances in Life Prediction Methods, Albany, NY, USA, April, 1983.
- Norris, K.; Landzberg, A. Reliability of Controlled Collapse Interconnections. IBM J. Res. Dev. 1969, 13, 266–277. [Google Scholar] [CrossRef]
- Bayerer, R.; Tobias, H.; Thomas, L.; Lutz, J.; Feller, M. Model for Power Cycling Lifetime of IGBT Modules—Various Factors Influencing Lifetime. In Proceedings of the 2008 5th International Conference on Integerated Power Electronics Systems, Nuremberg, Germany, 11–13 March 2008; pp. 1–6.
- Harlow, D.G.; Wei, R.P. A Probability Model for the Growth of Corrosion Pits in Aluminum Alloys Induced by Constituent Particles. J. Eng. Fract. Mech. 1998, 59, 305–325. [Google Scholar] [CrossRef]
- Byington, C.; Watson, M.; Edwards, D. Data-Driven Neural Network Methodology to Remaining Life Predictions for Aircraft Actuator Components. In Proceedings of the IEEE Aerospace Conference, New York, NY, USA, 6–13 March 2004; pp. 3581–3589.
- Schwabacher, M.; Goebel, K. A Survey of Artificial Intelligence for Prognostics. In AAAI Fall Symposium, Arlington, VA, USA, 8‒11 November 2007.
- Bhangu, B.S.; Bentley, P.; Stone, D.A.; Bingham, C.M. Nonlinear Observers for Predicting State-of-Charge and State-of-Health of Lead-Acid Batteries for Hybrid-Electric Vehicles. IEEE Trans. Veh. Technol. 2005, 54, 783–798. [Google Scholar] [CrossRef]
- Imanian, A.; Modarres, M. A Thermodynamic Entropy Based Approach for Prognosis and Health Management. In Prognostics and Health Management Society Conference, Fort Worth, TX, USA, 29 September−2 October 2014.
- Nystad, B.H. Technical Condition Indexes and Remaining Useful Life of Aggregated Systems. Ph.D. Dissertation, Norwegian University of Science and Technology, Trondheim, Norway, 2008. [Google Scholar]
- Noortwijk, J.M.V. A Survey of the Application of Gamma Processes in Maintenance. Reliab. Eng. Syst. Saf. 2009, 94, 2–21. [Google Scholar] [CrossRef]
© 2015 by the authors; licensee MDPI, Basel, Switzerland. This article is an open access article distributed under the terms and conditions of the Creative Commons Attribution license (http://creativecommons.org/licenses/by/4.0/).
Share and Cite
Imanian, A.; Modarres, M. A Thermodynamic Entropy Approach to Reliability Assessment with Applications to Corrosion Fatigue. Entropy 2015, 17, 6995-7020. https://doi.org/10.3390/e17106995
Imanian A, Modarres M. A Thermodynamic Entropy Approach to Reliability Assessment with Applications to Corrosion Fatigue. Entropy. 2015; 17(10):6995-7020. https://doi.org/10.3390/e17106995
Chicago/Turabian StyleImanian, Anahita, and Mohammad Modarres. 2015. "A Thermodynamic Entropy Approach to Reliability Assessment with Applications to Corrosion Fatigue" Entropy 17, no. 10: 6995-7020. https://doi.org/10.3390/e17106995
APA StyleImanian, A., & Modarres, M. (2015). A Thermodynamic Entropy Approach to Reliability Assessment with Applications to Corrosion Fatigue. Entropy, 17(10), 6995-7020. https://doi.org/10.3390/e17106995
