Entropy Generation through Deterministic Spiral Structures in a Corner Boundary-Layer Flow
Abstract
:1. Introduction
2. Combustion Chamber Environment

3. Boundary-Layer Development

4. Equations of Lorenz Form for the Spectral Velocity Wave Components
4.1. Development of the Time Dependent Spectral Equations
4.2. Computational Results for the Transmitter Station




4.3. Extracting Ordered Signals from Nonlinear Instability Time Series
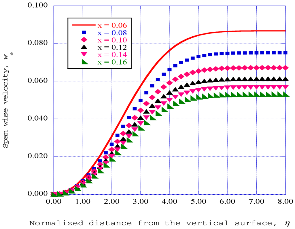
4.4. Computational Results for the Receiver Stations




5. Power Spectral Density within the Deterministic Spiral Structure


6. Singular Value Decomposition and Empirical Entropy

7. Empirical Entropic Index for Deterministic Spiral Structures

8. Intermittency Exponents for Deterministic Structures

9. Entropy Generation Rates through the Deterministic Spiral Structures


10. Discussion
11. Conclusions
Conflicts of Interest
Nomenclature
| ai | Fluctuating i-th component of velocity wave vector |
| b | Fluctuating Fourier component of the static pressure |
| bn | Coefficient in modified Townsend equations defined by Equation (40) |
| E | Power spectral density for a particular frequency, f |
| Eavail | Available kinetic energy dissipation rate for a given mode |
| f | Frequency for power spectral density distribution |
| f1 | Initial frequency in the power spectral density, Equation (46) |
| f2 | Final frequency in the power spectral density, Equation (46) |
| F | Time-dependent feedback factor |
| j | Mode number empirical eigenvalue |
| j | Spectral entropy segment number |
| J | Net source of kinetic energy dissipation rate, Equation (51) |
| k | Time-dependent wave number magnitude |
| k | Dimensional constant, Equation (48) |
| ki | Fluctuating i-th wave number of Fourier expansion |
| K | Adjustable weighting factor |
| m | Pressure gradient parameter, Equation (12) |
| n | Time step number, stream wise station number |
| p | Local static pressure |
| p1 | Static pressure in the combustion process |
| pi | Probability of being in a state i, Equation (48) |
| q | Tsallis non-extensive entropic index |
| qj | Empirical entropic index for the empirical mode, j |
| rn | Coefficient in modified Townsend equations defined by Equation (38) |
| s | Entropy per unit mass |
| sn | Coefficient in modified Townsend equations defined by Equation (39) |
| Sempj | Empirical entropy for empirical mode, j |
| Sq | Tsallis entropy, Equation (48) |
Entropy generation rate through kinetic energy dissipation | |
Entropy generation rate in a turbulent boundary layer | |
| t | Time |
| ti | Inlet temperature for the combustion process |
| Taft | Adiabatic flame temperature |
| u | Mean stream wise velocity in the stream wise direction in Equation (5) |
| u’ | Fluctuating stream wise velocity in Equation (5) |
| ue | Stream wise velocity at the outer edge of the x-y plane boundary layer |
| ui | The i-th component of the fluctuating velocity |
| Ui | Mean velocity in the i-th direction in the modified Townsend equations |
| v | Mean normal velocity in Equation (5) |
| v’ | Fluctuating normal velocity in Equation (5) |
| we | Span wise velocity at the outer edge of the z-y plane boundary layer |
| W | Total number of microscopic states in a system, Equation (49) |
| x | Stream wise distance |
| xi | i-th direction |
| xj | j-th direction |
| y | Normal distance |
| z | Span wise distance |
Greek Letters
| δ | Boundary layer thickness |
| δlm | Kronecker delta |
| εm | Eddy viscosity |
Normalized eddy viscosity | |
| ζj | Intermittency exponent for the j-th mode in Equation (50) |
| η | Transformed normal distance parameter |
| κ | Fraction of kinetic energy defined by Equation (52) |
| λj | Eigenvalue for the empirical mode, j |
| μ | Mechanical potential in Equation (51) |
| ν1 | Kinematic viscosity of the gas mixture |
| ξj | Kinetic energy dissipation rate in the j-th empirical mode |
| ρ | Density |
| σyn | Coefficient in modified Townsend equations defined by Equation (36) |
| σxn | Coefficient in modified Townsend equations defined by Equation (37) |
Subscripts
| e | Outer edge of the x-y plane boundary layer |
| i, j, l, m | Tensor indices |
| x | Component in the x-direction |
| y | Component in the y-direction |
| z | Component in the z-direction |
References
- Cebeci, T.; Cousteix, J. Modeling and Computation of Boundary-Layer Flows; Springer: Berlin, Germany, 2005. [Google Scholar]
- Townsend, A.A. The Structure of Turbulent Shear Flow, 2nd ed.; Cambridge University Press: Cambridge, UK, 1980. [Google Scholar]
- Dorrance, W.H. Viscous Hypersonic Flow: Theory of Reacting and Hypersonic Boundary Layers; McGraw-Hill: New York, NY, USA, 1962. [Google Scholar]
- Chow, C.-Y. An Introduction to Computational Fluid Mechanics; Seminole Publishing Company: Boulder, CO, USA, 1983; pp. 228–238. [Google Scholar]
- Hansen, A.G. Similarity Analyses of Boundary Value Problems in Engineering; Prentice-Hall: Englewood Cliffs, NJ, USA, 1964; pp. 86–92. [Google Scholar]
- Cebeci, T.; Bradshaw, P. Momentum Transfer in Boundary Layers; McGraw-Hill: New York, NY, USA, 1977; pp. 319–321. [Google Scholar]
- Isaacson, L.K. Spectral Entropy in a Boundary Layer Flow. Entropy 2011, 13, 1555–1583. [Google Scholar] [CrossRef]
- Mathieu, J.; Scott, J. An Introduction to Turbulent Flow; Cambridge University Press: Cambridge, UK, 2000; pp. 251–261. [Google Scholar]
- Manneville, P. Dissipative Structures and Weak Turbulence; Academic Press: Waltham, MA, USA, 1990. [Google Scholar]
- Pyragas, K. Continuous Control of Chaos by Self-controlling Feedback. In Controlling Chaos: Theoretical and Practical Methods in Non-linear Dynamics; Kapitaniak, T., Ed.; Academic Press: Waltham, MA, USA, 1996; pp. 118–123. [Google Scholar]
- Press, W.H.; Teukolsky, S.A.; Vetterling, W.T.; Flannery, B.P. Numerical Recipes in C: The Art of Scientific Computing, 2nd ed.; Cambridge University Press: Cambridge, UK, 1992. [Google Scholar]
- Pecora, L.M.; Carroll, T.L. Synchronization in Chaotic Systems. In Controlling Chaos: Theoretical and Practical Methods in Non-linear Dynamics; Kapitaniak, T., Ed.; Academic Press: Waltham, MA, USA, 1996; pp. 142–145. [Google Scholar]
- Pérez, G.; Cerdeiral, H.A. Extracting Messages Masked by Chaos. In Controlling Chaos: Theoretical and Practical Methods in Non-linear Dynamics; Kapitaniak, T., Ed.; Academic Press: Waltham, MA, USA, 1996; pp. 157–160. [Google Scholar]
- Cuomo, K.M.; Oppenheim, A.V. Circuit Implementation of Synchronized Chaos with Applications to Communications. In Controlling Chaos: Theoretical and Practical Methods in Non-linear Dynamics; Kapitaniak, T., Ed.; Academic Press: Waltham, MA, USA, 1996; pp. 153–156. [Google Scholar]
- Isaacson, L.K. Ordered Regions within a Nonlinear Time Series Solution of a Lorenz Form of the Townsend Equations for a Boundary-Layer Flow. Entropy 2013, 15, 53–79. [Google Scholar] [CrossRef]
- Chen, C.H. Digital Waveform Processing and Recognition; CRC Press: Boca Raton, FL, USA, 1982; pp. 131–158. [Google Scholar]
- Isaacson, L.K. Spectral Entropy, Empirical Entropy and Empirical Exergy for Deterministic Boundary-Layer Structures. Entropy 2013, 15, 4134–4158. [Google Scholar] [CrossRef]
- Rissanen, J. Information and Complexity in Statistical Modeling; Springer: Berlin, Germany, 2007. [Google Scholar]
- Isaacson, L.K. Transitional Intermittency Exponents through Deterministic Boundary-Layer Structures and Empirical Entropic Indices. Entropy 2014, 16, 2729–2755. [Google Scholar] [CrossRef]
- Holmes, P.; Lumley, J.L.; Berkooz, G.; Rowley, C.W. Turbulence, Coherent Structures, Dynamical Stations and Symmetry, 2nd ed.; Cambridge University Press: Cambridge, UK, 2012. [Google Scholar]
- Tsallis, C. Introduction to Nonextensive. Statistical Mechanics; Springer: Berlin, Germany, 2009; pp. 37–43. [Google Scholar]
- Mariz, A.M. On the Irreversible Nature of the Tsallis and Renyi Entropies. Phys. Lett. A 1992, 165, 409–411. [Google Scholar] [CrossRef]
- Glansdorff, P.; Prigogine, I. Thermodynamic Theory of Structure, Stability and Fluctuations; Wiley: Hoboken, NJ, USA, 1971. [Google Scholar]
- Arimitsu, T.; Arimitsu, N. Analysis of Fully Developed Turbulence in Terms of Tsallis Statistics. Phys. Rev. E 2000, 61, 3237–3240. [Google Scholar] [CrossRef]
- Isaacson, L.K. Entropy Generation through a Deterministic Boundary-Layer Structure in Warm Dense Plasma. Entropy 2014, 16, 6006–6032. [Google Scholar] [CrossRef]
- De Groot, P.; Mazur, S.R. Non-Equilibrium Thermodynamics; Elsevier: Amsterdam, The Netherlands, 1962. [Google Scholar]
- Truitt, R.W. Fundamentals of Aerodynamic Heating; Wiley: Hoboken, NJ, USA, 1960. [Google Scholar]
- Bejan, A. Entropy Generation Minimization; CRC Press: Boca Raton, FL, USA, 1996. [Google Scholar]
- Ghasemisahebi, E. Entropy Generation in Transitional Boundary Layers; LAP LAMBERT Academic Publishing: Saarbrücken, Germany, 2013. [Google Scholar]
© 2015 by the authors; licensee MDPI, Basel, Switzerland. This article is an open access article distributed under the terms and conditions of the Creative Commons Attribution license (http://creativecommons.org/licenses/by/4.0/).
Share and Cite
Isaacson, L.K. Entropy Generation through Deterministic Spiral Structures in a Corner Boundary-Layer Flow. Entropy 2015, 17, 5304-5332. https://doi.org/10.3390/e17085304
Isaacson LK. Entropy Generation through Deterministic Spiral Structures in a Corner Boundary-Layer Flow. Entropy. 2015; 17(8):5304-5332. https://doi.org/10.3390/e17085304
Chicago/Turabian StyleIsaacson, LaVar King. 2015. "Entropy Generation through Deterministic Spiral Structures in a Corner Boundary-Layer Flow" Entropy 17, no. 8: 5304-5332. https://doi.org/10.3390/e17085304
APA StyleIsaacson, L. K. (2015). Entropy Generation through Deterministic Spiral Structures in a Corner Boundary-Layer Flow. Entropy, 17(8), 5304-5332. https://doi.org/10.3390/e17085304
