Sign in to use this feature.

Years

Between: -

Subjects

remove_circle_outline
remove_circle_outline
remove_circle_outline
remove_circle_outline
remove_circle_outline
remove_circle_outline

Journals

Article Types

Countries / Regions

Search Results (14)

Search Parameters:
Keywords = yoghurt acid whey

Order results
Result details
Results per page
Select all
Export citation of selected articles as:
17 pages, 1324 KB  
Article
Influence of Coriander Seed Powder on Texture, Rheological Properties, and Sensory Quality of Spoonable Yoghurt
by Wan-Ying Zhang, Yang Sun, Hai-Bo Lu, Yue-Yuan Lu, Guo-Jun Du, Chun-Li Song, Jian Ren, Li-Ying Bo, Jing-Jing An and Meng Wang
Foods 2025, 14(24), 4315; https://doi.org/10.3390/foods14244315 - 15 Dec 2025
Viewed by 295
Abstract
This study investigated the effects of various concentrations of coriander seed powder (CSP) (0.1%, 0.3%, and 0.5%) on the fermentation performance, whey precipitation rate, texture, rheological properties, microstructure, and sensory characteristics of spoonable yoghurt stored at 4 °C for 21 days. The aim [...] Read more.
This study investigated the effects of various concentrations of coriander seed powder (CSP) (0.1%, 0.3%, and 0.5%) on the fermentation performance, whey precipitation rate, texture, rheological properties, microstructure, and sensory characteristics of spoonable yoghurt stored at 4 °C for 21 days. The aim was to evaluate the impact of CSP on spoonable yoghurt quality and its health-promoting properties. The results revealed that the addition of CSP led to a significant decrease in pH and an increase in titratable acidity. Furthermore, the whey precipitation rate in the CSP-enriched yogurt sample was clearly lower than that of the control group (p < 0.05). The syneresis of the yogurt sample with 0.3% CSP decreased by 21.14 on the 21st day, compared to the control group (49.64%) (p < 0.05). This was accompanied by a reduction in apparent viscosity and an increase in the viscoelastic modulus. Meanwhile, the texture of the yogurt sample remains more stable, with the best sensory acceptance in the yogurt sample containing 0.3% CSP. As the concentration of coriander seed powder level increased, antioxidant activity, digestibility, and small molecule phenolic level of the yogurt samples obviously improved (p < 0.05). Yogurt with 0.3% CSP still showed significantly enhanced antioxidant capacity during the 21-day storage period. The DPPH-radical scavenging rate increased by 5.22% compared to the control group (p < 0.05). Similarly, the ABTS+ clearance activity increased by 12.52% (47.06% compared to 34.54% in the control group, p < 0.05). In the 0.3% CSP yogurt group, the total phenolic content reached 5.33 mg GAE/100 g, an increase of 1.85 compared to the control sample (3.48 mg GAE/100 g) (p < 0.05). The in vitro protein digestibility of the yogurt samples containing 0.3% CSP clearly increased by 12.65% (p < 0.05). In summary, the yogurt sample supplemented with 0.3% CSP demonstrated optimal sensory quality characteristics. Coriander seed powder may be used as a beneficial ingredient containing rich active substances to enhance the quality of spoonable yoghurt products. Full article
Show Figures

Figure 1

11 pages, 564 KB  
Article
Acid Whey from Industrial Greek Strained Yoghurt: Effect of the Kind of Milk and the Way of Straining on Its Composition and Processing by Nanofiltration
by Marianna Karela, Lambros Sakkas, Evangelia Zoidou, Golfo Moatsou, Konstantina Milosi and Ekaterini Moschopoulou
Dairy 2025, 6(3), 21; https://doi.org/10.3390/dairy6030021 - 28 Apr 2025
Viewed by 3978
Abstract
The acid whey derived during the production of Greek yoghurt, i.e., yoghurt acid whey (YAW), is considered as environmental pollutant due to its low pH and high lactose content. YAW may be obtained by centrifugation or ultrafiltration or filtration through cloth bags (traditional [...] Read more.
The acid whey derived during the production of Greek yoghurt, i.e., yoghurt acid whey (YAW), is considered as environmental pollutant due to its low pH and high lactose content. YAW may be obtained by centrifugation or ultrafiltration or filtration through cloth bags (traditional method) of the initial yoghurt, methods that could affect its composition. In the last years, efforts have been made to improve its composition using membrane technology. In the present work, the composition of 35 different YAW samples from Greek Yoghurt dairies was studied. The YAW samples were grouped according to the way of production and the kind of milk in the case of the traditional method. The results showed that both the kind of milk and the way of yoghurt staining affected its composition. Ovine YAW derived from traditional straining was richer in lactic acid and calcium than bovine YAW. Moreover, the composition of bovine YAW varied among the different ways of straining, and this affected its behaviour during membrane processing. Nanofiltration of three representative bovine YAW samples and one ovine YAW sample at their natural pH, i.e., pH 4.5, and at 25 °C removed the lactic acid at a range from 40 to 55%, and the monovalent cations > 60% and retained lactose and galactose at percentages > 95% and 80% respectively. Full article
(This article belongs to the Section Milk Processing)
Show Figures

Figure 1

17 pages, 1592 KB  
Article
Antioxidant Maillard Reaction Products from Milk Whey: A Food By-Product Valorisation
by Sara Bolchini, Tiziana Nardin, Ksenia Morozova, Matteo Scampicchio and Roberto Larcher
Foods 2025, 14(3), 450; https://doi.org/10.3390/foods14030450 - 30 Jan 2025
Cited by 8 | Viewed by 4324
Abstract
The Maillard reaction (MR) is a key process in food science, producing bioactive compounds with antioxidant properties. This study evaluates the antioxidant potential of MR products (MRPs) from different dairy byproducts—cow cheese whey, goat cheese whey, and cow yoghurt whey—highlighting their applicability in [...] Read more.
The Maillard reaction (MR) is a key process in food science, producing bioactive compounds with antioxidant properties. This study evaluates the antioxidant potential of MR products (MRPs) from different dairy byproducts—cow cheese whey, goat cheese whey, and cow yoghurt whey—highlighting their applicability in food preservation and waste valorisation. Whey samples were subjected to the MR at 140 °C for 90 min, showing significant amino acid and sugar consumption, particularly arginine, histidine, and lactose. Using a library of potential antioxidant MRPs (molecular weight < 250 Da), 28 key compounds, including 2-pyrrolecarboxaldehyde and maltol isomer, were identified, primarily in cow cheese whey. A complementary high-molecular-weight MRP library (≥250 Da) identified 72 additional antioxidant compounds, with distinct production patterns linked to whey type. Multivariate analyses confirmed that whey type strongly influences MRP profiles. These results highlight the potential of MR to transform whey by-products into valuable sources of natural antioxidants. This approach offers sustainable strategies for enhancing food preservation, reducing food waste, and supporting the targeted use of MRPs in the food industry. Full article
Show Figures

Figure 1

13 pages, 2063 KB  
Article
Development of a Fast Method Using Inductively Coupled Plasma Mass Spectrometry Coupled with High-Performance Liquid Chromatography and Exploration of the Reduction Mechanism of Cr(VI) in Foods
by Ge Song, Honglian Tan, Chuhan Cheng, Peng Li, Xinyang Sun, Yuling Zhou and Yong Fang
Toxics 2024, 12(5), 325; https://doi.org/10.3390/toxics12050325 - 29 Apr 2024
Cited by 8 | Viewed by 2702
Abstract
Hexavalent chromium (Cr(VI)) is known as the most hazardous species of chromium. Speciation analysis of Cr in foods is of a great significance for assessing its influences on human health. In this study, a fast HPLC-ICP-MS method for the determination of Cr(VI) was [...] Read more.
Hexavalent chromium (Cr(VI)) is known as the most hazardous species of chromium. Speciation analysis of Cr in foods is of a great significance for assessing its influences on human health. In this study, a fast HPLC-ICP-MS method for the determination of Cr(VI) was developed for determining the content of Cr(VI) and also investigating its transformation in foods. The developed method employs an alkali extraction and weak anion-exchange column separation for distinguishing the Cr species, facilitating accurate Cr(VI) quantification within 1.5 min. This technique was applied to determine the Cr(VI) levels in a range of food products, including yoghurt, milk powder, rice flour, orange juice, green tea, white vinegar, and whole wheat bread. The results showed that no Cr(VI) was detected in these food products. Spiking experiments revealed that the recovery rate of Cr(VI) decreased with the increase in its contact time with food products. A further exploration of Cr(VI) in various food components such as vitamin C, tea polyphenols, whey proteins, gelatin, fructose, and cellulose indicated the conversion of Cr(VI) to organic Cr(III) over a period from 20 min to 60 h. It was found that high temperatures and acidic conditions accelerated the rate of Cr(VI) conversion to organic Cr(III) in the six food components mentioned above. This evidence suggests that natural reducing substances in foods probably prevent the occurrence of Cr(VI). Full article
Show Figures

Graphical abstract

19 pages, 2357 KB  
Article
Production of Prebiotic Galacto-Oligosaccharides from Acid Whey Catalyzed by a Novel β-Galactosidase from Thermothielavioides terrestris and Commercial Lactases: A Comparative Study
by Athanasios Limnaios, Maria Tsevdou, Elena Tsika, Nausika Korialou, Anastasia Zerva, Evangelos Topakas and Petros Taoukis
Catalysts 2023, 13(10), 1360; https://doi.org/10.3390/catal13101360 - 11 Oct 2023
Cited by 9 | Viewed by 3243
Abstract
The steadily increasing global popularity of Greek strained yoghurt has necessitated alternative valorization approaches for acid whey, the major straining process effluent. In this context, prebiotic galacto-oligosaccharides can be enzymatically synthesized from acid whey lactose, via either commercial or novel β-galactosidases. A comparative [...] Read more.
The steadily increasing global popularity of Greek strained yoghurt has necessitated alternative valorization approaches for acid whey, the major straining process effluent. In this context, prebiotic galacto-oligosaccharides can be enzymatically synthesized from acid whey lactose, via either commercial or novel β-galactosidases. A comparative study of galacto-oligosaccharide production from acid whey was carried out, employing two commercial β-galactosidases (from Kluyveromyces lactis and Aspergillus oryzae) and one novel, in-house produced (from Thermothielavioides terrestris), as a function of the initial lactose content and enzyme load. Selected reaction conditions for β-galactosidases from K. lactis, A. oryzae, and T. terrestris were 35 °C at pH 7.2, 45 °C at pH 4.5, and 50 °C at pH 4.0, respectively. Maximum galacto-oligosaccharide yields equal to 23.7, 23.4, and 25.7% were achieved with, respectively, 0.13 U/mL of K. lactis β-galactosidase in non-concentrated acid whey, 4 U/mL of A. oryzae β-galactosidase, and 8 U/mL of T. terrestris β-galactosidase in acid whey concentrated to 20% w/v initial lactose content. The increased galacto-oligosaccharide productivity of the thermophilic β-galactosidase from T. terrestris can be a determining asset in a combined concentration and oligomerization industrial process. This will allow for high galacto-oligosaccharide yields for efficient, cost-effective production of valuable prebiotics from acid whey. Full article
(This article belongs to the Special Issue New Trends in Industrial Biocatalysis)
Show Figures

Figure 1

11 pages, 261 KB  
Article
Dietary Inclusion Level Effects of Yoghurt Acid Whey Powder on Performance, Digestibility of Nutrients and Meat Quality of Broilers
by Vasileios V. Paraskeuas, Georgios Papadomichelakis, Ioannis P. Brouklogiannis, Evangelos C. Anagnostopoulos, Athanasios C. Pappas, Panagiotis Simitzis, Georgios Theodorou, Ioannis Politis and Konstantinos C. Mountzouris
Animals 2023, 13(19), 3096; https://doi.org/10.3390/ani13193096 - 4 Oct 2023
Cited by 6 | Viewed by 2157
Abstract
In recent years, the increasing demand for Greek strained yoghurt produced massive amounts of acid whey, which constitutes a major environmental pollutant. Whether yoghurt acid whey can be included in poultry diets is not known. The purpose of this study was to evaluate [...] Read more.
In recent years, the increasing demand for Greek strained yoghurt produced massive amounts of acid whey, which constitutes a major environmental pollutant. Whether yoghurt acid whey can be included in poultry diets is not known. The purpose of this study was to evaluate the effects of four dietary levels of yoghurt acid whey powder (YAWP) on the growth performance, nutrient digestibility, meat quality traits and oxidative stability. A total of 300 male 1-day-old Ross 308 broilers were assigned into four groups with five replicates of 15 broilers each: control-fed basal diet with no YAWP addition (WO) or basal diet supplemented with YAWP at 25 g/kg of diet (WA), 50 g/kg of diet (WB), or 100 g/kg of diet (WC). At the starter period, body weight and body weight gain were reduced after WB and WC treatments compared to the WO treatment. Breast meat oxidative stability was improved during refrigerated storage for 1 and 3 d in all YAWP treatments compared to control, while the WA treatment showed an improved oxidative stability after 6 and 9 d. The results suggest that YAWP inclusion at 25 g/kg of diet did not impair performance and extended the meat shelf life by reducing lipid oxidation rates. Full article
(This article belongs to the Special Issue Feed Additives in Broiler Nutrition)
11 pages, 2315 KB  
Article
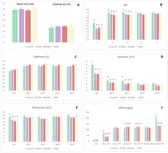
The Effects of Yoghurt Acid Whey Marination on Quality Parameters of Pork and Chicken Meat
by Agori Karageorgou, Anastasia Paveli, Michael Goliomytis, Georgios Theodorou, Ioannis Politis and Panagiotis Simitzis
Foods 2023, 12(12), 2360; https://doi.org/10.3390/foods12122360 - 13 Jun 2023
Cited by 14 | Viewed by 2992
Abstract
Large amounts of yoghurt acid whey (YAW) are annually generated as a result of Greek-style yoghurt production, which poses a great hazard to the environment. In terms of sustainability, YAW application in the meat industry appears as a great alternative since meat marination [...] Read more.
Large amounts of yoghurt acid whey (YAW) are annually generated as a result of Greek-style yoghurt production, which poses a great hazard to the environment. In terms of sustainability, YAW application in the meat industry appears as a great alternative since meat marination with natural solutions is a practice that continuously gains ground due to its positive effects on meat sensory attributes. The aim of the present study was to determine the quality characteristics and oxidative status of pork and chicken meat after their marination in yoghurt acid whey. Forty samples per meat type were randomly assigned into five groups: CON, without YAW marination; YAW1 and YAW3, in which meat was marinated at 4 °C and a pH of 4.5 for 15 and 10 h, respectively; or YAW2 and YAW4, in which meat was handled as in the YAW1 and YAW3 group, respectively, while hesperidin at 2 g/L was also incorporated into the marinade. As shown, meat shear force values were decreased in pork but not in chicken meat samples. Meat pH values were also generally decreased, while lightness was increased in raw but not in cooked meat samples as an effect of marination. Moreover, meat oxidative stability was improved to a greater extent in chicken than in pork meat. In order to find the ideal marination period for pork meat, we further immersed it into YAW for 5 h. However, this treatment affected neither meat tenderness and the other quality properties nor meat oxidation rates. In general, hesperidin addition did not have an additional or side effect on the quality traits of pork and chicken meat. As it can be concluded, pork meat marination in YAW for 10–15 h improves tenderness, but 5 h of marination does not. On the other hand, the tenderness of chicken meat was not affected, but its oxidative stability was greatly improved after remaining in the YAW marinade for 10–15 h. Full article
(This article belongs to the Section Meat)
Show Figures

Figure 1

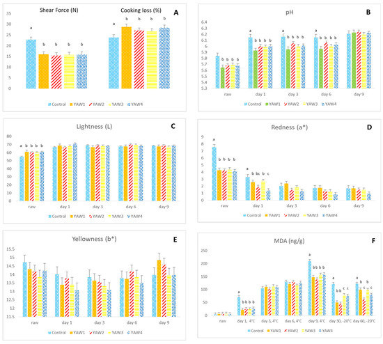
7 pages, 528 KB  
Communication
A Note on the Effects of Yoghurt Acid Whey Marination on the Tenderness and Oxidative Stability of Different Meat Types
by Panagiotis Simitzis, Fotini Zikou, Dionisis Progoulakis, Georgios Theodorou and Ioannis Politis
Foods 2021, 10(11), 2557; https://doi.org/10.3390/foods10112557 - 23 Oct 2021
Cited by 16 | Viewed by 2511
Abstract
The aim of this preliminary study was to examine the effects of yoghurt acid whey (YAW) marination on quality parameters and the oxidative stability of pork, lamb, rabbit and chicken meat. Twenty-four samples per meat type were randomly allocated to one of four [...] Read more.
The aim of this preliminary study was to examine the effects of yoghurt acid whey (YAW) marination on quality parameters and the oxidative stability of pork, lamb, rabbit and chicken meat. Twenty-four samples per meat type were randomly allocated to one of four groups: CON, without any treatment; YAW1 and YAW2, where samples were marinated for 20 h at 4 °C at a pH of 5 or 4.5, respectively; and YAW3, where samples were treated as in the YAW2 group except hesperidin was also added at the level of 2 g/L. As indicated, meat tenderness was improved as a result of YAW marination, apart from the chicken samples. In general, values of pH, redness and yellowness were decreased after immersion in YAW both in raw and cooked samples. However, lightness was increased in the raw meat samples as a result of YAW marination, though this effect was not observed in the cooked meat samples with the exception of chicken meat. Chroma values were higher in controls compared to YAW-treated groups in raw pork and lamb meat, while no significant differences regarding chroma were found among groups in cooked lamb and rabbit meat. Hue angle values were greater in YAW-treated groups compared to controls in raw samples, whereas no significant differences among groups were indicated in cooked meat. Meat oxidation rates were not affected by treatment with YAW and the hesperidin addition, which improved the oxidative stability of lamb and chicken meat. Thus, YAW marination could be recommended as a novel strategy that improves meat tenderness without negative effects on the other quality characteristics. Full article
(This article belongs to the Special Issue Future Challenges in Meat and Meat Products Technology)
31 pages, 5211 KB  
Review
Organic versus Conventional Raw Cow Milk as Material for Processing
by Aneta Brodziak, Joanna Wajs, Maria Zuba-Ciszewska, Jolanta Król, Magdalena Stobiecka and Anna Jańczuk
Animals 2021, 11(10), 2760; https://doi.org/10.3390/ani11102760 - 22 Sep 2021
Cited by 32 | Viewed by 7832
Abstract
Milk, as one of the basic raw materials of animal origin, must be of adequate hygienic and physicochemical quality for processing. The aim of the article was to compare the quality of raw milk from three production systems, intensive, traditional (together referred to [...] Read more.
Milk, as one of the basic raw materials of animal origin, must be of adequate hygienic and physicochemical quality for processing. The aim of the article was to compare the quality of raw milk from three production systems, intensive, traditional (together referred to as conventional), and organic, as material for processing, as well as the quality of products made from it. Particular attention was focused on hygienic quality (somatic cell count and total bacterial count), physical characteristics (acidity), basic nutritional value (content of dry matter, total protein, casein, fat, and lactose), content of health-promoting substances (whey proteins, fatty acids, vitamins, and minerals), and technological parameters (rennet clotting time, heat stability, and protein-to-fat ratio). Research assessing the quality of organic milk and dairy products is significantly less extensive (if available at all) than for milk from conventional production (intensive and traditional). The available reports indicate that raw milk from organic farms is more valuable, especially in terms of the content of health-promoting compounds, including vitamins, fatty acids, whey proteins, and minerals. This applies to organic dairy products as well, mainly cheese and yoghurt. This is explained by the fact that organic farming requires that animals are kept in the pasture. However, the hygienic quality of the raw milk, and often the products as well, raises some concerns; for this reason, organic milk producers should be supported in this regard, e.g., through consultancy and training in Good Hygienic Practices. Importantly, milk production in the traditional and organic systems is in line with the concept of the European Green Deal. Full article
(This article belongs to the Special Issue Dairy Management on Milk Quality Characteristics)
Show Figures

Figure 1

20 pages, 9008 KB  
Article
Sheep’s and Goat’s Frozen Yoghurts Produced with Ultrafiltrated Whey Concentrates
by Natalí Garcia Marnotes, Arona Figueroa Pires, Olga Díaz, Angel Cobos and Carlos Dias Pereira
Appl. Sci. 2021, 11(14), 6568; https://doi.org/10.3390/app11146568 - 16 Jul 2021
Cited by 8 | Viewed by 3041
Abstract
The objective of this work was the use of goat and sheep liquid whey concentrates (LWCs) produced by ultrafiltration (UF) for the manufacturing of frozen yoghurts. In a first step, natural yoghurts using only goat’s and sheep’s LWCs as raw material were obtained. [...] Read more.
The objective of this work was the use of goat and sheep liquid whey concentrates (LWCs) produced by ultrafiltration (UF) for the manufacturing of frozen yoghurts. In a first step, natural yoghurts using only goat’s and sheep’s LWCs as raw material were obtained. One day after production, these yoghurts were used to produce frozen yoghurts with different concentrations of added inulin. The physicochemical characteristics of ewe’s and goat’s yoghurts were significantly different regarding dry matter, protein, fat and minerals. Ewe’s yoghurts were solid, while goat’s yoghurts behaved as a viscous liquid. Frozen yoghurts with different levels of inulin addition also presented significant differences concerning physicochemical and microbiological characteristics. Overrun was similar for all formulations except for that produced with ewe’s LWC containing 5.0% inulin, which presented a significantly higher value. Higher meltdown rates in goat’s frozen yoghurts were observed. The survival rates of lactic acid bacteria were lower than the data reported for similar products. Concerning sensory acceptance, both products showed encouraging results. It can be considered that the production of frozen yoghurts by using LWCs as the main ingredient can be an interesting option to broaden the product portfolio of small/medium scale dairy producers. Full article
(This article belongs to the Special Issue Functional Dairy Products)
Show Figures

Figure 1

15 pages, 3685 KB  
Article
Lactic Acid and Salt Separation Using Membrane Technology
by Sahar Talebi, Michael Garthe, Florian Roghmans, George Q. Chen and Sandra E. Kentish
Membranes 2021, 11(2), 107; https://doi.org/10.3390/membranes11020107 - 3 Feb 2021
Cited by 15 | Viewed by 4881
Abstract
Acid whey is a by-product of cheese and yoghurt manufacture. The protein and lactose within acid whey can be recovered using nanofiltration and electrodialysis, but this leaves a waste stream that is a mixture of salts and lactic acid. To further add value [...] Read more.
Acid whey is a by-product of cheese and yoghurt manufacture. The protein and lactose within acid whey can be recovered using nanofiltration and electrodialysis, but this leaves a waste stream that is a mixture of salts and lactic acid. To further add value to the acid whey treatment process, the possibility of recovering this lactic acid was investigated using either low energy reverse osmosis membranes or an electrodialysis process. Partial separation between lactic acid and potassium chloride was achieved at low applied pressures and feed pH in the reverse osmosis process, as a greater permeation of potassium chloride was observed under these conditions. Furthermore, lactic acid retention was enhanced by operating at lower temperature. Partial separation between lactic acid and potassium chloride was also achieved in the electrodialysis process. However, the observed losses in lactic acid increased with the addition of sodium chloride to the feed solution. This indicates that the separation becomes more challenging as the complexity of the feed solution increases. Neither process was able to achieve sufficient separation to avoid the use of further purification processes. Full article
(This article belongs to the Special Issue Membrane Technologies for Sustainable Biofood Production Lines)
Show Figures

Figure 1

21 pages, 1167 KB  
Article
Changes in the Physicochemical Parameters of Yoghurts with Added Whey Protein in Relation to the Starter Bacteria Strains and Storage Time
by Aneta Brodziak, Jolanta Król, Joanna Barłowska, Anna Teter and Mariusz Florek
Animals 2020, 10(8), 1350; https://doi.org/10.3390/ani10081350 - 4 Aug 2020
Cited by 51 | Viewed by 5948
Abstract
The stability of the physicochemical characteristics of yoghurts during refrigerated storage is important for industry and the consumer. In this study we produced plain yoghurts with the addition of health-promoting whey protein concentrate (WPC), using two different starter cultures based on Streptococcus thermophilus [...] Read more.
The stability of the physicochemical characteristics of yoghurts during refrigerated storage is important for industry and the consumer. In this study we produced plain yoghurts with the addition of health-promoting whey protein concentrate (WPC), using two different starter cultures based on Streptococcus thermophilus and Lactobacillus delbrueckii subsp. bulgaricus. Physicochemical changes (acidity, nutritional value, water activity, water-holding capacity, texture, and colour, including whitening and yellowing indices) as well as sensory changes occurring during 28-day refrigerated storage were determined. Starter cultures were found to significantly (p ≤ 0.05 and p ≤ 0.01) influence the water-holding capacity, firmness, consistency, cohesive strength and colour parameters of the curd. Use of whey protein concentrate affected both the physicochemical and sensory quality of the yoghurts. The additive had a significant effect on potential acidity, inhibiting the increase in lactic acid in the yoghurts during storage, and also reduced syneresis. However, it decreased the lightness of curd and negatively affected its sensory characteristics, primarily flavour. Moreover, nearly all parameters changed significantly with the passage of storage time (in most cases negatively). The exceptions were total protein and fat content. The changes, however, were not severe and remained at a level acceptable to tasters. Addition of 1% or 2% whey protein to yoghurt may be a good solution that can be routinely applied in the dairy industry to offer consumers a new functional product. A comprehensive assessment of the physicochemical and sensory changes occurring during refrigerated storage of yoghurts manufactured with the addition of WPC and using different cultures is crucial for modelling such a product. Full article
(This article belongs to the Special Issue Animal Products Quality and Characterization)
Show Figures

Figure 1

16 pages, 1395 KB  
Article
Impact of Type and Enzymatic/High Pressure Treatment of Milk on the Quality and Bio-Functional Profile of Yoghurt
by Maria Tsevdou, Georgios Theodorou, Sofia Pantelaiou, Artemis Chatzigeorgiou, Ioannis Politis and Petros Taoukis
Foods 2020, 9(1), 49; https://doi.org/10.3390/foods9010049 - 4 Jan 2020
Cited by 4 | Viewed by 3636
Abstract
The objective of the present study was to investigate the effect of the high pressure (HP) processing and transglutaminase (TGase) treatment of bovine (cow) or ovine (sheep) milk, when applied individually or sequentially, on the quality parameters and anti-hypertensive and immunomodulatory properties of [...] Read more.
The objective of the present study was to investigate the effect of the high pressure (HP) processing and transglutaminase (TGase) treatment of bovine (cow) or ovine (sheep) milk, when applied individually or sequentially, on the quality parameters and anti-hypertensive and immunomodulatory properties of yoghurt. Low-fat (2% w/w) bovine or ovine milk samples were used. Results showed that HP treatment of milk led to acid gels with equivalent quality attributes to thermal treatment, with the more representative attributes being whey separation and firmness, which ranged from 47.5% to 49.8% and 23.8% to 32.2% for bovine and ovine yoghurt, respectively, and 74.3–89.0 g and 219–220 g for bovine and ovine yoghurt, respectively. On the other hand, TGase treatment of milk, solely or more effectively following HP processing, resulted in the improvement of the textural attributes of yoghurt and reduced whey separation, regardless of milk type, exhibiting values of 32.9% and 8.7% for the whey separation of bovine and ovine yoghurt, respectively, and 333 g and 548 g for the firmness of bovine and ovine yoghurt, respectively. The HP processing and TGase treatment of milk led to the preservation or improvement of the anti-hypertensive activity of the samples, especially in the case in which ovine milk was used, with Inhibitory activity of Angiotensin Converting Enzyme (IACE) values of 76.9% and 88.5% for bovine and ovine yoghurt, respectively. The expression of pro-inflammatory genes decreased and that of anti-inflammatory genes increased in the case of samples from HP-processed and/or TGase-treated milk as compared to the corresponding expressions for samples from thermally treated milk. Thus, it can be stated that, apart from the quality improvement, HP processing and TGase treatment of milk may lead to the enhancement of the bio-functional properties of low-fat yoghurt made from either bovine or ovine milk. Full article
(This article belongs to the Special Issue Foods Quality Assessed by Chemometrics)
Show Figures

Figure 1

18 pages, 835 KB  
Article
Effect of Radio Frequency Heating on Yoghurt, I: Technological Applicability, Shelf-Life and Sensorial Quality
by Caroline Siefarth, Thi Bich Thao Tran, Peter Mittermaier, Thomas Pfeiffer and Andrea Buettner
Foods 2014, 3(2), 318-335; https://doi.org/10.3390/foods3020318 - 15 May 2014
Cited by 30 | Viewed by 10030
Abstract
This first part of a two-part study focuses on the technical feasibility of applying radio frequency (RF) heating at different temperatures (58, 65 and 72 °C) to a stirred yoghurt gel after culturing. For comparison, a convectional (CV) heating process was also applied. [...] Read more.
This first part of a two-part study focuses on the technical feasibility of applying radio frequency (RF) heating at different temperatures (58, 65 and 72 °C) to a stirred yoghurt gel after culturing. For comparison, a convectional (CV) heating process was also applied. The aim was to increase the yoghurt shelf-life, by preventing post-acidification and the growth of yeasts and molds. At the same time, the viability of lactic acid bacteria (LAB) was investigated in view of existing legal regulations for yoghurts. Additionally, the yoghurt color, aroma and taste profiles were evaluated. It was found that the application of RF heating was effective for the rapid attainment of homogenous temperatures of 58 and 65 °C, respectively. For RF heating at 72 °C, it was not possible to establish a stable heating regime, since in some cases, there was significant overheating followed by strong contraction of the yoghurt curd and whey separation. Hence, it was decided not to continue with the RF heating series at 72 °C. In the case of CV heating, heat transfer limitations were observed, and prolonged heating was required. Nevertheless, we showed that yeasts and molds survived neither the RF nor CV heat treatment. LAB were found not to survive the CV treatment, but these beneficial microorganisms were still present in reduced numbers after RF heating to 58 and 65 °C. This important observation is most likely related to the mildness of RF treatment. While post-acidification was not observed on yoghurt storage, slight color changes occurred after heat treatment. The flavor and taste profiles were shown to be similar to the reference product. Furthermore, a trained sensory panel was not able to distinguish between, for example, the reference yoghurt and the RF 65 °C sample by triangular testing (α = 5%), showing the potential of novel strategies for further improvements of heat-treated yoghurt. Full article
(This article belongs to the Special Issue Thermal Processing of Foods)
Show Figures

Figure 1

Back to TopTop