The Effects of Yoghurt Acid Whey Marination on Quality Parameters of Pork and Chicken Meat
Abstract
1. Introduction
2. Materials and Methods
2.1. Samples and Marination Procedure
2.2. Meat Quality Assessment
2.2.1. Marinade Absorption, Tenderness, and Cooking Loss
2.2.2. pH and Color Parameters
2.2.3. Oxidative Stability
2.3. Statistical Analysis
3. Results
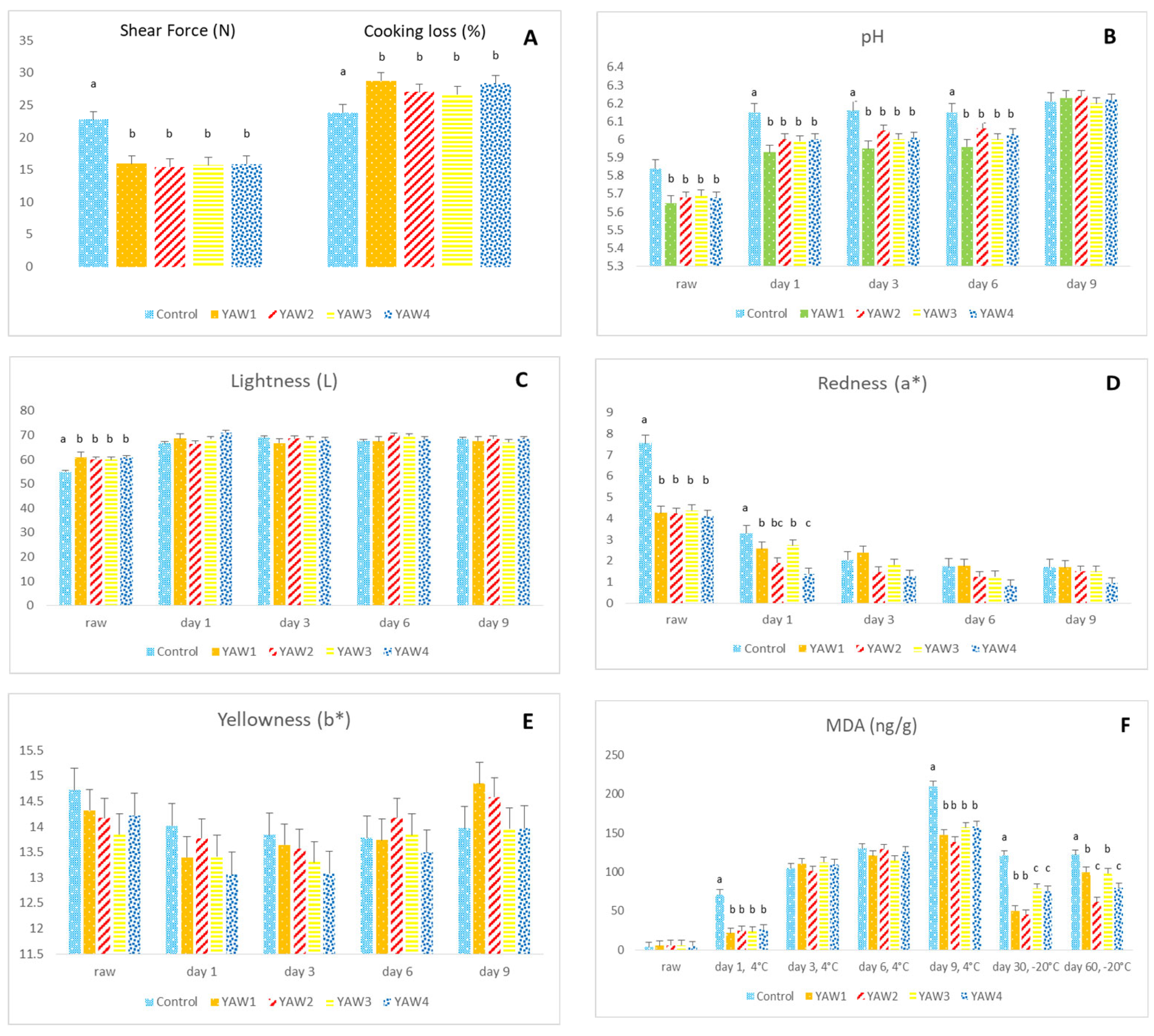
3.1. Pork Meat
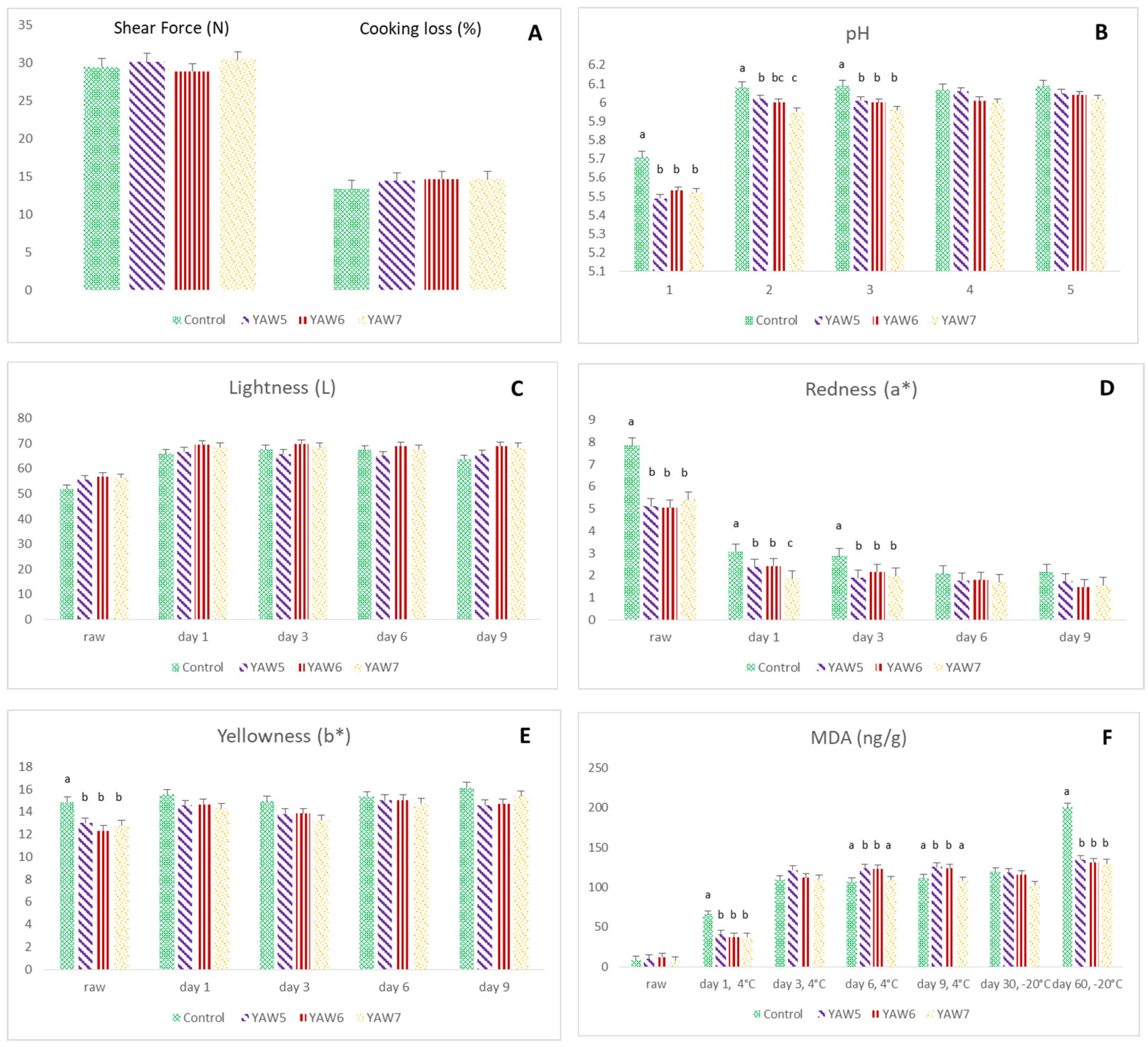
3.2. Chicken Meat
4. Discussion
5. Conclusions
Author Contributions
Funding
Data Availability Statement
Conflicts of Interest
References
- FAOSTAT. Available online: http://www.fao.org/faostat/en/#data/QP (accessed on 23 March 2023).
- Rocha-Mendoza, D.; Kosmerl, E.; Krentz, A.; Zhang, L.; Badiger, S.; Miyagusuku-Cruzado, G.; Mayta-Apaza, A.; Giusti, M.; Jimenez-Flores, R.; García-Cano, I. Invited review: Acid whey trends and health benefits. J. Dairy Sci. 2020, 104, 1262–1275. [Google Scholar] [CrossRef] [PubMed]
- Ryan, M.P.; Walsh, G. The biotechnological potential of whey. Rev. Environ. Sci. Biotechnol. 2016, 15, 479–498. [Google Scholar] [CrossRef]
- Zotta, T.; Solieri, L.; Iacumin, L.; Picozzi, C.; Gullo, M. Valorization of cheese whey using microbial fermentations. Appl. Microbiol. Biotechnol. 2020, 104, 2749–2764. [Google Scholar] [CrossRef]
- Ketterings, Q.; Czymmek, K.; Cmi, S.; Godwin, G.; Ganoe, K. Guidelines for Land Application of Acid Whey. Available online: http://nmsp.cals.cornell.edu/publications/files/AcidWheyGuidelines2017.pdf (accessed on 23 March 2023).
- Erickson, B. Acid Whey: Is the Waste Product an Untapped Goldmine? Available online: https://cen.acs.org/articles/95/i6/Acid-whey-waste-product-untapped.html (accessed on 23 March 2023).
- Menchik, P.; Zuber, T.; Zuber, A.; Moraru, C.I. Composition of coproduct streams from dairy processing: Acid whey and milk permeate. J. Dairy Sci. 2019, 102, 3978–3984. [Google Scholar] [CrossRef] [PubMed]
- Guimarães, P.M.R.; Teixeira, J.A.; Domingues, L. Fermentation of lactose to bio-ethanol by yeasts as part of integrated solutions for the valorisation of cheese whey. Biotechnol. Adv. 2010, 28, 375–384. [Google Scholar] [CrossRef] [PubMed]
- Chandrajith, V.G.G.; Karunasena, G.A.D.V. Applications of whey as a valuable ingredient in food industry. Dairy Vet. Sci. 2018, 6, 555698. [Google Scholar] [CrossRef]
- Walzem, R.L.; Dillard, C.J.; German, J.B. Whey Components: Millennia of Evolution Create Funcionalities for Mammalian Nutrition: What we know and what we may be overlooking. Crit. Rev. Food Sci. 2002, 42, 353–375. [Google Scholar] [CrossRef]
- Wójciak, K.M.; Karwowska, M.; Dolatowski, Z.J. Use of acid whey and mustard seed to replace nitrites during cooked sausage production. Meat Sci. 2014, 96, 750–756. [Google Scholar] [CrossRef]
- Stadnik, J.; Stasiak, D.M. Effect of acid whey on physicochemical characteristics of dry-cured organic pork loins without nitrite. Int. J. Food Sci. Technol. 2016, 51, 970–977. [Google Scholar] [CrossRef]
- Burke, R.M.; Monahan, F.J. The tenderisation of shin beef using a citrus juice marinade. Meat Sci. 2003, 63, 161–168. [Google Scholar] [CrossRef]
- Marin, F.R.; Soler-Rivas, C.; Benavente-Garcia, O.; Castillo, J.; Perez-Alvarez, J.A. By-products from different citrus processes as a source of customized functional fibres. Food Chem. 2007, 100, 736–741. [Google Scholar] [CrossRef]
- Gómez, I.; Janardhanan, R.; Ibañez, F.C.; Beriain, M.J. The effects of processing and preservation technologies on meat quality: Sensory and nutritional aspects. Foods 2020, 9, 1416. [Google Scholar] [CrossRef]
- Gök, V.; Bor, Y. Effect of marination with fruit and vegetable juice on the some quality characteristics of turkey breast meat. Braz. J. Poult. Sci. 2016, 18, 481–488. [Google Scholar] [CrossRef]
- Wenham, L.M.; Locker, R.H. The Effect of Marinading on Beef. J. Sci. Food Agric. 1976, 27, 1079–1084. [Google Scholar] [CrossRef]
- Simitzis, P.; Zikou, F.; Progoulakis, D.; Theodorou, G.; Politis, I. A Note on the Effects of Yoghurt Acid Whey Marination on the Tenderness and Oxidative Stability of Different Meat Types. Foods 2021, 10, 2557. [Google Scholar] [CrossRef]
- Augustyńska-Prejsnar, A.; Sokołowicz, Z.; Hanus, P.; Ormian, M.; Kačániová, M. Quality and safety of mari-nating breast muscles of hens from organic farming after the laying period with buttermilk and whey. Animals 2020, 10, 2393. [Google Scholar] [CrossRef]
- Sokołowicz, Z.; Augustyńska-Prejsnar, A.; Krawczyk, J.; Kačániová, M.; Kluz, M.; Hanus, P.; Topczewska, J. Technological and sensory quality and microbiological safety of RIR chicken breast meat marinated with fermented milk products. Animals 2021, 11, 3282. [Google Scholar] [CrossRef]
- Erlund, I. Review of the flavonoids quercetin, hesperetin, and naringenin. Dietary sources, bioactivities, bioavailability, and epidemiology. Nutr. Res. 2004, 24, 851–874. [Google Scholar] [CrossRef]
- Van Oeckel, M.J.; Warnants, N.; Boucqué, C.V. Pork tenderness estimation by taste panel, Warner–Bratzler shear force and on-line methods. Meat Sci. 1999, 53, 259–267. [Google Scholar] [CrossRef]
- Cason, J.A.; Lyon, C.E.; Papa, C.M. Effect of muscle opposition during rigor on development of broiler breast meat tenderness. Poult. Sci. 1997, 76, 785–787. [Google Scholar] [CrossRef]
- Honikel, K.O. How to Measure the Water-Holding Capacity of Meat? Recommendation of Standardized Methods. In Evaluation and Control of Meat Quality in Pigs; Current Topics in Veterinary Medicine and Animal Science; Tarrant, P.V., Eikelenboom, G., Monin, G., Eds.; Springer: Dordrecht, The Netherlands, 1987; Volume 38, pp. 129–142. [Google Scholar] [CrossRef]
- Novaković, S.; Tomašević, I. A comparison between Warner-Bratzler shear force measurement and texture profile analysis of meat and meat products: A review. In IOP Conference Series: Earth and Environmental Science, Proceedings of the 59th International Meat Industry Conference MEATCON2017, 1–4 October 2017, Zlatibor, Serbia; IOP Publishing Ltd.: Bristol, UK, 2017; Volume 85, p. 012063. [Google Scholar] [CrossRef]
- Botsoglou, N.A.; Fletouris, D.J.; Papageorgiou, G.E.; Vassilopoulos, V.N.; Mantis, A.J.; Trakatellis, A.G. A rapid, sensitive and specific thiobarbituric acid method for measuring lipid peroxidation in animal tissues, food and feedstuff samples. J. Agric. Food Chem. 1994, 42, 1931–1937. [Google Scholar] [CrossRef]
- Sas/Stat. Statistical Analysis Systems, Version 9.3; SAS Institute Inc.: Cary, NC, USA, 2011.
- Rao, M.V.; Gault, N.F.S.; Kennedy, S. Variations in water-holding capacity due to changes in the fibre diameter, sarcomere length and connective tissue morphology of some beef muscles under acidic conditions below the ultimate pH. Meat Sci. 1989, 26, 19–37. [Google Scholar] [CrossRef] [PubMed]
- Grajales-Lagunes, A.; Rivera-Bautista, C.; Ruiz-Cabrera, M.; Gonzalez-Garcia, R.; Ramirez-Telles, J.; Abud-Archila, M. Effect of lactic acid on the meat quality properties and the taste of pork Serratus ventralis muscle. Agric. Food Sci. 2012, 21, 171–181. [Google Scholar] [CrossRef]
- Augustyńska-Prejsnar, A.; Hanus, P.; Sokołowicz, Z.; Kačániová, M. Assessment of technological characteristics and microbiological quality of marinated turkey meat with the use of dairy products and lemon juice. Anim. Biosci. 2021, 34, 2003–2011. [Google Scholar] [CrossRef] [PubMed]
- Ergezer, H.; Gokce, R. Comparison of marinating with two different types of marinade on some quality and sensory characteristics of turkey breast meat. J. Anim. Vet. Adv. 2011, 10, 60–67. [Google Scholar] [CrossRef]
- Vlahova-Vangelova, D.B.; Balev, D.K.; Dragoev, S.G.; Kirisheva, G.D. Improvement of technological and sensory properties of meat by whey marinating. Sci. Work. Univ. Food Technol. 2016, 63, 7–13. [Google Scholar]
- Augustyńska-Prejsnar, A.; Ormian, M.; Kluz, M.; Sokołowicz, Z. Effect of using acid whey for marinating chicken breast muscles in organic production. Emir. J. Food Agric. 2019, 31, 281–287. [Google Scholar] [CrossRef]
- Wójciak, K.M.; Kęska, P.; Okoń, A.; Solska, E.; Libera, J.; Dolatowski, Z.J. The influence of acid whey on the antioxidant peptides generated to reduce oxidation and improve colour stability in uncured roast beef. J. Sci. Food Agric. 2018, 98, 3728–3734. [Google Scholar] [CrossRef]
- Aktaş, N.; Aksu, M.I.; Kaya, M. The effect of organic acid marination on tenderness, cooking loss and bound water content of beef. J. Muscle Foods 2003, 14, 181–194. [Google Scholar] [CrossRef]
- Aktaş, N.; Kaya, M. The influence of marinating with weak organic acids and salts on the intramuscular connective tissue and sensory properties of beef. Eur. Food Res. Technol. 2001, 21, 88–94. [Google Scholar] [CrossRef]
- Ostoja, H.; Cierach, M. Effect of calcium ions on the solubility of muscular collagen and tenderness of beef meat. Nahrung 2003, 47, 388–390. [Google Scholar] [CrossRef]
- Zavistanaviciute, P.; Klementaviciute, J.; Klupsaite, D.; Zokaityte, E.; Ruzauskas, M.; Buckiuniene, V.; Viskelis, P.; Bartkiene, E. Effects of Marinades Prepared from Food Industry By-Products on Quality and Biosafety Parameters of Lamb Meat. Foods 2023, 12, 1391. [Google Scholar] [CrossRef]
- Kumar, Y.; Singh, P.; Pandey, A.; Tanwar, V.K.; Kumar, R.R. Augmentation of meat quality attributes of spent hen breast muscle (Pectoralis Major) by marination with lemon juice vis-a-vis ginger extract. J. Anim. Res. 2017, 7, 523–529. [Google Scholar] [CrossRef]
- Augustyńska-Prejsnar, A.; Ormian, M.; Hanus, P.; Kluz, M.; Sokołowicz, Z.; Rudy, M. Effects of marinating breast muscles of slaughter pheasants with acid whey, buttermilk, and lemon juice on quality parameters and product safety. J. Food Qual. 2019, 2019, 5313496. [Google Scholar] [CrossRef]
- Wójciak, K.M.; Krajmas, P.; Solska, E.; Dolatowski, Z.J. Application of acid whey and set milk to marinate beef with reference to quality parameters and product safety. Acta Sci. Pol. Technol. Aliment. 2015, 14, 293–302. [Google Scholar] [CrossRef]
- Berge, P.; Ertbjerg, P.; Larsen, L.M.; Astruc, T.; Vignon, X.; Møller, A.J. Tenderization of beef by lactic acid injected at different times post mortem. Meat Sci. 2001, 57, 347–357. [Google Scholar] [CrossRef]
- Latoch, A.; Libera, J.; Stasiak, D.M. Physicochemical properties of pork loin marinated in kefir, yoghurt or buttermilk and cooked sous vide. Acta Sci. Pol. Technol. Aliment. 2019, 18, 163–171. [Google Scholar] [CrossRef]
- Goli, T.; Bohuon, P.; Ricci, J.; Trystram, G.; Collignan, A. Mass transfer dynamics during the acidic margination of turkey meat. J. Food Eng. 2011, 104, 161–168. [Google Scholar] [CrossRef]
- Jimenez-Villarreal, J.R.; Pohlman, F.W.; Johnson, Z.B.; Brown, A.H., Jr. Lipid, instrumental color and sensory characteristics of ground beef produced using trisodium phosphate, cetylpypiridinium chloride, chlorine dioxide or lactic acid as multiple antimicrobial interventions. Meat Sci. 2003, 65, 885–891. [Google Scholar] [CrossRef]



Disclaimer/Publisher’s Note: The statements, opinions and data contained in all publications are solely those of the individual author(s) and contributor(s) and not of MDPI and/or the editor(s). MDPI and/or the editor(s) disclaim responsibility for any injury to people or property resulting from any ideas, methods, instructions or products referred to in the content. |
© 2023 by the authors. Licensee MDPI, Basel, Switzerland. This article is an open access article distributed under the terms and conditions of the Creative Commons Attribution (CC BY) license (https://creativecommons.org/licenses/by/4.0/).
Share and Cite
Karageorgou, A.; Paveli, A.; Goliomytis, M.; Theodorou, G.; Politis, I.; Simitzis, P. The Effects of Yoghurt Acid Whey Marination on Quality Parameters of Pork and Chicken Meat. Foods 2023, 12, 2360. https://doi.org/10.3390/foods12122360
Karageorgou A, Paveli A, Goliomytis M, Theodorou G, Politis I, Simitzis P. The Effects of Yoghurt Acid Whey Marination on Quality Parameters of Pork and Chicken Meat. Foods. 2023; 12(12):2360. https://doi.org/10.3390/foods12122360
Chicago/Turabian StyleKarageorgou, Agori, Anastasia Paveli, Michael Goliomytis, Georgios Theodorou, Ioannis Politis, and Panagiotis Simitzis. 2023. "The Effects of Yoghurt Acid Whey Marination on Quality Parameters of Pork and Chicken Meat" Foods 12, no. 12: 2360. https://doi.org/10.3390/foods12122360
APA StyleKarageorgou, A., Paveli, A., Goliomytis, M., Theodorou, G., Politis, I., & Simitzis, P. (2023). The Effects of Yoghurt Acid Whey Marination on Quality Parameters of Pork and Chicken Meat. Foods, 12(12), 2360. https://doi.org/10.3390/foods12122360

